UREDBA O PREVENTIVNIM MERAMA ZA BEZBEDAN I ZDRAV RAD PRI IZLAGANJU AZBESTU("Sl. glasnik RS", br. 108/2015) |
Ovom uredbom propisuju se zahtevi koje je poslodavac dužan da ispuni u obezbeđivanju primene preventivnih mera sa ciljem otklanjanja ili svođenja na najmanju moguću meru rizika od oštećenja zdravlja zaposlenih koji nastaju ili mogu da nastanu pri izlaganju azbestu na radu.
Ovom uredbom utvrđuju se granična vrednost izloženosti azbestu i drugi posebni zahtevi.
Azbest, u smislu ove uredbe, jesu sledeći vlaknasti silikati:
1) azbestni aktinolit, CAS broj 77536-66-4;
2) azbestni grunerit (amozit), CAS broj 12172-73-5;
3) azbestni antofilit, CAS broj 77536-67-5;
4) krizotil, CAS broj 12001-29-5;
5) krokidolit, CAS broj 12001-28-4;
6) azbestni tremolit, CAS broj 77536-68-6.
Ova uredba se primenjuje na radnim mestima na kojima se obavljaju poslovi pri kojima zaposleni jesu ili mogu biti izloženi prašini koja potiče od azbesta ili materijala koji sadrže azbest.
Poslodavac je dužan da, za sva radna mesta u radnoj okolini na kojima postoji mogućnost izlaganja zaposlenih prašini koja potiče od azbesta ili materijala koji sadrže azbest, izvrši procenu rizika - sa ciljem da se utvrdi nivo rizika i to polazeći od specifične prirode i stepena izloženosti zaposlenih prašini koja potiče od azbesta ili materijala koji sadrže azbest.
Odredbe čl. 4, 17. i 18. ove uredbe ne moraju se primenjivati na radnim mestima na kojima se obavljaju poslovi pri kojima je izlaganje zaposlenih prašini koja potiče od azbesta ili materijala koji sadrže azbest povremeno i niskog intenziteta i za koje je na osnovu procene rizika očigledno da granična vrednost izloženosti azbestu neće biti prekoračena, a koja obuhvataju:
1) kratkotrajne povremene poslove na održavanju pri kojima se rukuje nedrobljivim materijalima;
2) poslove uklanjanja bez deformisanja nerazgrađenih materijala kod kojih je azbest čvrsto povezan;
3) poslove hermetičkog zatvaranja ili plombiranja materijala koji sadrže azbest, a koji su u dobrom stanju;
4) poslove pri kojima je obezbeđeno praćenje i kontrola kvaliteta vazduha i izvršeno uzimanje uzoraka sa ciljem da se utvrdi da li određeni materijal sadrži azbest.
Poslodavac je dužan da se u postupku procene rizika konsultuje sa zaposlenima i/ili njihovim predstavnicima za bezbednost i zdravlje na radu.
Poslodavac je dužan da izvrši delimičnu izmenu i dopunu akta o proceni rizika kada postoji razlog da se poveruje u netačnost procene rizika ili ukoliko je došlo do bitne promene u obavljanju poslova, odnosno pojave novih opasnosti i štetnosti.
Ministar nadležan za rad bliže određuje poslove iz stava 3. ovog člana, nakon što saglasno Zakonu o socijalno-ekonomskom savetu pribavi mišljenje socijalnih partnera.
Poslodavac je dužan da nadležnoj inspekciji rada prijavi obavljanje poslova pri kojima zaposleni jesu ili mogu biti izloženi prašini koja potiče od azbesta ili materijala koji sadrže azbest, najmanje osam dana pre početka obavljanja tih poslova.
Prijava iz stava 1. ovog člana mora da sadrži podatke o:
1) lokaciji na kojoj se obavljaju ti poslovi;
2) vrsti i količini azbesta koji se koristi ili kojim se rukuje;
3) poslovima i radnim procesima koji se obavljaju;
4) broju angažovanih zaposlenih;
5) datumu otpočinjanja i vremenu trajanja tih poslova;
6) preduzetim merama kako bi se ograničilo izlaganje zaposlenih azbestu.
Poslodavac je dužan da nadležnoj inspekciji rada dostavi novu prijavu iz stava 1. ovog člana, kada se uslovi rada promene tako da je značajno povećano izlaganje prašini od azbesta ili materijala koji sadrže azbest, najkasnije u roku od osam dana od dana nastanka tih promena.
Poslodavac je dužan da zaposlenima i/ili njihovim predstavnicima za bezbednost i zdravlje na radu omogući uvid u prijavu iz st. 1. i 3. ovog člana.
Mere iz st. od 1. do 4. ovog člana primenjuju se u skladu sa članom 3. stav 3. ove uredbe.
Zabranjeno je obavljanje poslova pri kojima se prskanjem nanosi azbest i procesi rada u kojima se koriste izolacioni ili zvučno izolacioni materijali male gustine (manje od 1 g/cm3) koji sadrže azbest.
Zabranjeno je obavljanje poslova pri kojima su zaposleni izloženi azbestnim vlaknima tokom eksploatacije azbesta ili izrade i prerade proizvoda od azbesta ili izrade i prerade proizvoda kojima je namerno dodat azbest, osim poslova obrade i odlaganja proizvoda koji nastaju kao rezultat poslova rušenja i uklanjanja azbesta.
Poslodavac je dužan da izloženost zaposlenih prašini koja potiče od azbesta ili materijala koji sadrže azbest na radnom mestu svede na najmanju moguću meru, a u svakom slučaju ispod granične vrednosti izloženosti primenom preventivnih mera, a naročito da:
1) broj zaposlenih koji jesu ili mogu biti izloženi prašini koja potiče od azbesta ili materijala koji sadrže azbest svede na najmanji mogući broj;
2) radne procese planira i projektuje tako da se ne stvara prašina koja potiče od azbesta ili ukoliko to nije moguće da spreči oslobađanje te prašine u vazduh;
3) obezbedi sredstva za rad koja se mogu redovno i efikasno čistiti i održavati;
4) obezbedi da se azbest ili materijal koji sadrži azbest skladište i transportuju u odgovarajućoj hermetički zatvorenoj ambalaži;
5) obezbedi da se otpad sakuplja i uklanja sa radnog mesta u najkraćem mogućem roku u odgovarajućoj hermetički zatvorenoj i propisno označenoj ambalaži.
Odredba stava 1. tačka 5) ovog člana ne primenjuje se na površinsku i podzemnu eksploataciju mineralnih sirovina, a sa ovim otpadom postupa se u skladu sa propisima koji uređuju upravljanje otpadom.
Poslodavac je dužan da, na osnovu prepoznatih štetnosti koje nastaju ili mogu da nastanu na radnom mestu u radnoj okolini usled prisustva prašine koja potiče od azbesta ili materijala koji sadrže azbest, angažuje pravno lice sa licencom radi sprovođenja preventivnih i periodičnih ispitivanja uslova radne okoline sa ciljem da se primenom preventivnih mera obezbedi da se izloženost zaposlenih prašini koja potiče od azbesta ili materijala koji sadrže azbest svede na najmanju moguću u svakom slučaju na vrednost koja je manja od granične vrednosti izloženosti azbestu.
Pravno lice sa licencom za obavljanje poslova ispitivanja uslova radne okoline dužno je da u postupku preventivnih i periodičnih ispitivanja uslova radne okoline:
1) odredi merna mesta tako da su uzorci uzeti na tim mernim mestima reprezentativni za zaposlene koji su izloženi prašini od azbesta ili materijala koji sadrže azbest;
2) izvrši uzimanje reprezentativnog uzorka u vremenskom intervalu tolikom da može da se utvrdi izlaganje tokom osmočasovnog radnog vremena.
Pravno lice sa licencom za obavljanje poslova ispitivanja uslova radne okoline dužno je da se u postupku određivanja mernih mesta konsultuje sa zaposlenima i/ili njihovim predstavnicima za bezbednost i zdravlje na radu.
Pravno lice sa licencom za obavljanje poslova ispitivanja uslova radne okoline dužno je da u postupku preventivnih i periodičnih ispitivanja uslova radne okoline za brojanje azbestnih vlakana koristi metod faznokontrastne optičke mikroskopije u skladu sa preporukom Svetske zdravstvene organizacije ISBN 92 4 154496 1 ili da broj tih vlakana utvrdi drugom metodom koja daje ekvivalentne rezultate.
Za potrebe merenja azbesta u vazduhu iz stava 1. ovog člana uzimaju se u obzir samo vlakna dužine veće od 5 µm, širine manje od 3 µm i odnosom dužina/širina većim od 3:1.
Preporuka Svetske zdravstvene organizacije iz stava 4. ovog člana odštampana je u Prilogu 1. ove uredbe i čini njen sastavni deo.
Granična vrednost izloženosti azbestu je 0,1 azbestno vlakno po cm3 vazduha u toku osmočasovnog vremenski ponderisanog proseka.
Poslodavac je dužan da obezbedi da nijedan zaposleni ne bude izložen koncentraciji azbesta većoj od granične vrednosti izloženosti iz stava 1. ovog člana.
Poslodavac je dužan što je moguće pre, ukoliko je izloženost veća od granične vrednosti izloženosti azbestu, utvrdi razloge zbog kojih je došlo do prekoračenja granične vrednosti izloženosti azbestu i da preduzme odgovarajuće mere.
Poslodavac je dužan da obezbedi da se na radnim mestima gde je izloženost veća od granične vrednosti izloženosti azbestu zaustavi obavljanje poslova sve dok se ne preduzmu odgovarajuće mere.
Poslodavac je dužan da nakon sprovedenih preventivnih mera koje treba da smanje izloženost ispod granične vrednosti izloženosti azbestu angažuje pravno lice sa licencom radi sprovođenja preventivnih ispitivanja uslova radne okoline sa ciljem da se proveri efikasnost sprovedenih mera.
Poslodavac je dužan da zaposlenima, koji obavljaju poslove na radnim mestima na kojima se primenom drugih mera izloženost zaposlenih prašini koja potiče od azbesta ili materijala koji sadrže azbest ne može smanjiti ispod granične vrednosti izloženosti azbestu, obezbedi korišćenje sredstava i opreme za zaštitu disajnih organa i kontrolu njihove upotrebe u skladu sa namenom.
Poslodavac je dužan da obezbedi da korišćenje sredstava i opreme za zaštitu disajnih organa bude privremeno i svedeno na neophodan minimum za svakog zaposlenog.
Poslodavac je dužan da za vreme korišćenja sredstava i opreme za zaštitu disajnih organa, zaposlenima obezbedi potrebno vreme odmora u zavisnosti od ličnih i klimatskih uslova, kao i kada je to potrebno, u konsultaciji sa zaposlenima i/ili predstavnicima zaposlenih za bezbednost i zdravlje na radu.
Poslodavac je dužan da pre otpočinjanja radova na rušenju ili održavanju preduzme sve mere da bi se utvrdilo prisustvo materijala koji sadrže azbest i da pri tome pribavi sve neophodne informacije od vlasnika sredstava za rad.
Poslodavac je dužan da, kada postoji bilo kakva sumnja u prisustvo azbesta u određenom materijalu ili konstrukciji, postupi u skladu sa obavezama koje su propisane ovom uredbom i primenljive u konkretnoj situaciji.
Poslodavac je dužan da, pri obavljanju radova rušenja, uklanjanja azbesta, popravke i održavanja kada se može predvideti da će granična vrednost izloženosti azbestu utvrđena u članu 8. ove uredbe biti prekoračena i pored toga što su primenjene tehničke preventivne mere za smanjenje koncentracije azbesta u vazduhu, sprovede preventivne mere za bezbednost i zdravlje na radu zaposlenih dok su angažovani za obavljanje tih radova, a naročito da:
1) zaposlenima obezbedi korišćenje odgovarajućih sredstva i opreme za zaštitu disajnih organa i druga sredstva i opremu za ličnu zaštitu na radu i kontrolu njihove upotrebe u skladu sa namenom;
2) obezbedi i istakne oznake upozorenja da granična vrednost izloženosti azbestu može da bude prekoračena;
3) spreči širenje prašine od azbesta ili materijala koji sadrže azbest van radnog mesta.
Poslodavac je dužan da se o preventivnim merama koje se preduzimaju u skladu sa stavom 1. ovog člana konsultuje sa zaposlenima i/ili predstavnicima zaposlenih za bezbednost i zdravlje na radu, pre početka obavljanja ovih radova.
Poslodavac je dužan da izradi Plan rada pre početka otpočinjanja radova na rušenju ili uklanjanju azbesta i/ili proizvoda koji sadrže azbest iz objekata, konstrukcija, instalacija, postrojenja ili plovila.
Planom rada moraju se utvrditi sve mere radi obezbeđivanja bezbednosti i zdravlja zaposlenih na radu.
Plan rada, iz stava 1. ovog člana, pored preventivnih mera sadrži podatke o:
1) vrsti radova i planiranom vremenu njihovog trajanja;
2) lokaciji na kojoj se izvode radovi;
3) načinu i postupku rada za radove koji obuhvataju korišćenje azbesta ili materijala koji sadrže azbest;
4) karakteristikama opreme koja će se koristiti za:
(1) zaštitu i dekontaminaciju zaposlenih koji obavljaju te radove;
(2) zaštitu drugih lica koja su prisutna na lokaciji na kojoj se izvode radovi ili u neposrednoj blizini.
U Planu rada iz stava 1. ovog člana, mora se posebno navesti da:
1) se azbest i/ili proizvodi koji sadrže azbest uklone pre nego što se otpočne sa rušenjem, osim ukoliko bi takav redosled izvođenja radova povećao rizik po bezbednost i zdravlje zaposlenih;
2) se kada je potrebno, obezbede sredstava i oprema za ličnu zaštitu na radu u skladu sa članom 11. stav 1. tačka 1) ove uredbe;
3) kada su radovi na rušenju ili uklanjanju azbesta završeni, poslodavac je dužan angažuje pravno lice sa licencom radi sprovođenja preventivnih ispitivanja uslova radne okoline sa ciljem da se proveri nepostojanje rizika od izlaganja azbesta na radnom mestu.
Poslodavac je dužan da Plan rada, iz stava 1. ovog člana, dostavi nadležnoj inspekciji rada najkasnije osam dana pre početka otpočinjanja radova.
Poslodavac je dužan da osposobi za bezbedan i zdrav rad zaposlene koji jesu ili mogu biti izloženi prašini koja potiče od azbesta ili materijala koji sadrže azbest.
Periodične provere osposobljenosti za bezbedan i zdrav rad, vrše se najkasnije u roku od jedne godine od dana prethodne provere. Troškovi osposobljavanja za bezbedan i zdrav rad ne mogu biti na teret zaposlenog.
Poslodavac je dužan da donese program osposobljavanja za bezbedan i zdrav rad. Sadržaj osposobljavanja za bezbedan i zdrav rad mora da bude lako razumljiv za zaposlene.
Poslodavac je dužan da u toku osposobljavanja za bezbedan i zdrav rad zaposlene upozna sa svim vrstama rizika koji se mogu pojaviti na radnom mestu i u radnoj okolini i o konkretnim merama, a posebno o:
1) osobinama azbesta i njegovom uticaju na zdravlje uključujući sinergetski efekat pušenja;
2) vrstama proizvoda ili materijala koji sadrže ili se pretpostavlja da sadrže azbest;
3) vrsti poslova pri kojima može doći do izlaganja azbestu i značaju preventivnih kontrola da bi se izloženost svela na najmanju meru;
4) praktičnom obavljanju poslova na bezbedan i zdrav način, kontroli obavljanja poslova i sredstvima i opremi za ličnu zaštitu na radu;
5) odgovarajućoj nameni, izboru, određivanju, ograničenjima i pravilnom korišćenju sredstava i opreme za zaštitu disajnih organa;
6) postupcima u vanrednim situacijama;
7) postupcima dekontaminacije;
8) odlaganju otpada;
9) praćenju zdravstvenog stanja.
Radove na rušenju ili uklanjanju azbesta mora da obavlja operater (pravno lice ili preduzetnik), koji je u skladu sa propisom o upravljanju otpadom dobio odgovarajuću dozvolu za upravljanje otpadom koji sadrži azbest.
Poslodavac je dužan da obezbedi zaposlenom koji jeste ili može biti izložen prašini koja potiče od azbesta ili materijala koji sadrže azbest, rad pri kojem su sprovedene mere bezbednosti i zdravlja na radu, a naročito da obezbedi:
1) da radna mesta na kojima se obavljaju navedeni poslovi budu:
(1) jasno razgraničena i obeležena odgovarajućim oznakama u skladu sa propisima o bezbednosti i zdravlju na radu i natpisom "OPASNOST - AZBESTNA VLAKNA!",
(2) obezbeđena od pristupa zaposlenih koji ne rade na tim radnim mestima,
(3) prostori gde se sprovodi zabrana pušenja;
2) odgovarajuće pomoćne prostorije, kao i da u tim prostorijama zaposleni ne budu izloženi prašini koja potiče od azbesta ili materijala koji sadrže azbest;
3) odgovarajuće radno odelo ili sredstvo i opremu za ličnu zaštitu na radu koji se ne iznose van lokacije poslodavca, a ukoliko se njihovo čišćenje i održavanje vrši u za to opremljenim servisima, radno odelo i sredstvo i oprema za ličnu zaštitu na radu se do tih servisa moraju transportovati u zatvorenim kontejnerima;
4) da se radno odelo i sredstvo i oprema za ličnu zaštitu na radu čuvaju odvojeno od lične odeće i stvari zaposlenih;
5) prostorije sa odgovarajućim brojem toaleta i umivaonika kako bi zaposleni mogli da se operu i odgovarajući broj tuševa za zaposlene koji obavljaju poslove pri kojima dolazi do pojave prašine;
6) da se sredstva i oprema za ličnu zaštitu na radu odlažu u za to određeno mesto, redovnim čišćenjem održavaju u zadovoljavajućem higijenskom stanju nakon svakog korišćenja, popravljaju i zamenjuju pre korišćenja ukoliko su oštećena.
Mere iz stava 1. ovog člana primenjuju se u skladu sa članom 3. stav 3. ove uredbe.
Poslodavac je dužan da obezbedi da sprovođenje mera bezbednosti i zdravlja na radu iz ovog člana, ne prouzrokuje finansijske troškove za zaposlene.
Poslodavac je dužan da kada se obavljaju poslovi pri kojima zaposleni jesu ili mogu biti izloženi prašini koja potiče od azbesta ili materijala koji sadrže azbest, preduzme odgovarajuće mere kako bi obezbedio da zaposleni i njihovi predstavnici za bezbednost i zdravlje na radu budu informisani o:
1) rizicima po zdravlje usled izlaganja prašini koja potiče od azbesta ili materijala koji sadrže azbest;
2) postojanju utvrđene granične vrednosti izloženosti azbestu i obavezi vršenja preventivnih i periodičnih ispitivanja uslova radne okoline;
3) higijenskim zahtevima i sprovođenju zabrane pušenja;
4) značaju pravilnog korišćenja i održavanja sredstava i opreme za ličnu zaštitu na radu i radnog odela;
5) značaju primene preventivnih mera za smanjenje izloženosti prašini koja potiče od azbesta ili materijala koji sadrže azbest.
Pored mera iz stava 1. ovog člana, poslodavac je dužan da u skladu sa članom 3. stav 3. ove uredbe preduzme odgovarajuće mere da:
1) zaposleni i/ili njihovi predstavnici za bezbednost i zdravlje na radu imaju uvid u rezultate merenja koncentracije azbesta u vazduhu uz objašnjenje značenja tih rezultata;
2) ako dođe do prekoračenja granične vrednosti izloženosti azbestu iz člana 8. ove uredbe, zaposleni i/ili njihovi predstavnici za bezbednost i zdravlje na radu budu u najkraćem mogućem roku informisani da je došlo do prekoračenja granične vrednosti izloženosti azbestu, o razlozima zbog kojih je došlo do prekoračenja, da se sa njima konsultuje o merama koje treba preduzeti, a u vanrednim situacijama da ih obavesti o merama koje su već preduzete.
Poslodavac je dužan da obezbedi praćenje zdravstvenog stanja zaposlenih koji jesu ili mogu biti izloženi prašini koja potiče od azbesta ili materijala koji sadrže azbest, kroz prethodne i periodične lekarske preglede zaposlenih na radnim mestima sa povećanim rizikom i ciljane lekarske preglede, u skladu sa propisima u oblasti bezbednosti i zdravlja na radu i zdravstvene zaštite.
Poslodavac je dužan da zaposlenog koji radi na radnom mestu iz člana 3. stav 1. ove uredbe, a koje nije aktom o proceni rizika utvrđeno kao radno mesto sa povećanim rizikom, upućuje na ciljane lekarske preglede pre početka rada i sve dok zaposleni jeste ili može da bude izložen prašini koja potiče od azbesta ili materijala koji sadrže azbest.
Ciljani lekarski pregledi, iz stava 2. ovog člana, vrše se na način, po postupku i u rokovima kao i prethodni i periodični lekarski pregledi zaposlenih na radnim mestima sa povećanim rizikom.
Lekarski pregled zaposlenog mora da obuhvati pregled grudnog koša i uzima u obzir Preporuke za praćenje zdravstvenog stanja zaposlenih (Prilog 2.).
Pojedinačni zdravstveni karton za svakog zaposlenog vodi se u skladu sa propisima o zdravstvenoj dokumentaciji i evidencijama u oblasti zdravstva.
Služba medicine rada koja prati zdravstveno stanje zaposlenih, na osnovu rezultata lekarskih pregleda, može odrediti mere za ličnu zaštitu, kao što su ograničeno korišćenje sredstava i opreme za ličnu zaštitu na radu, potrebno vreme odmora, zabrana izlaganja azbestu i druge mere.
Praćenje zdravstvenog stanja zaposlenih vrši se na osnovu predloga službe medicine rada, na teret poslodavca, i posle završetka obavljanja poslova iz člana 3. stav 1. ove uredbe, odnosno prestanka radnog odnosa.
Kada zaposleni ili poslodavac nije zadovoljan ocenom službe medicine rada može tražiti mišljenje druge službe medicine rada, koje je za poslodavca obavezujuće.
Mere iz st. od 1. do 8. ovog člana primenjuju se u skladu sa članom 3. stav 3. ove uredbe.
Preporuke za praćenje zdravstvenog stanja zaposlenih (Prilog 2.) odštampane su uz ovu uredbu i čine njen sastavni deo.
Poslodavac je dužan da vodi i čuva evidenciju zaposlenih koji obavljaju poslove pri kojima jesu ili mogu biti izloženi prašini koja potiče od azbesta ili materijala koji sadrže azbest, u koju se unose lični podaci: ime i prezime zaposlenog, naziv radnog mesta, vrsta i trajanje poslova i stepen izloženosti.
Služba medicine rada koja vrši preglede ima pristup ovoj evidenciji. Zaposleni ima pravo pristupa svojim ličnim podacima o zdravstvenom stanju. Zaposleni i/ili predstavnici zaposlenih za bezbednost i zdravlje na radu imaju pristup anonimnim i kolektivnim informacijama iz evidencije zaposlenih koji obavljaju poslove pri kojima jesu ili mogu biti izloženi prašini koja potiče od azbesta ili materijala koji sadrže azbest, koje ne sadrže lične podatke.
Evidencija iz stava 1. ovog člana i zdravstveni karton iz člana 17. stav 5. ove uredbe, čuvaju se 40 godina po prestanku izloženosti u skladu sa propisima o zdravstvenoj dokumentaciji i evidencijama u oblasti zdravstva.
Dokumentacija iz stava 3. ovog člana mora da bude dostupna nadležnom organu u skladu sa propisima o zdravstvenoj dokumentaciji i evidencijama u oblasti zdravstva i posle prestanka obavljanja delatnosti.
Mere iz st. od 1. do 4. ovog člana primenjuju se u skladu sa članom 3. stav 3. ove uredbe.
Evidencija zaposlenih koji obavljaju poslove pri kojima jesu ili mogu biti izloženi prašini koja potiče od azbesta ili materijala koji sadrže azbest vodi se na propisanom obrascu (Prilog 3.) koji je odštampan uz ovu uredbu i čini njen sastavni deo.
Registar o priznatim slučajevima azbestoze i mezotelioma vodi se u skladu sa propisima o zdravstvenoj dokumentaciji i evidencijama u oblasti zdravstva.
Novčanom kaznom od 500.000 do 1.000.000 dinara kazniće se za prekršaj poslodavac sa svojstvom pravnog lica ako:
1) obavlja poslove pri kojima se prskanjem nanosi azbest i procese rada u kojima se koriste izolacioni ili zvučno izolacioni materijali male gustine (manje od 1 g/cm3) koji sadrže azbest (član 5. stav 1);
2) obavlja poslove pri kojima su zaposleni izloženi azbestnim vlaknima tokom eksploatacije azbesta, ili izrade i prerade proizvoda od azbesta, ili izrade i prerade proizvoda kojima je namerno dodat azbest, osim poslova obrade i odlaganja proizvoda koji nastaju kao rezultat poslova rušenja i uklanjanja azbesta (član 5. stav 2);
3) ne primenjuje preventivne mere propisane ovom uredbom (čl. 6, 11. i 15);
4) ne zaustavi obavljanje poslova na radnim mestima gde je izloženost veća od granične vrednosti izloženosti azbestu (član 9. stav 2);
5) zaposlenima, koji obavljaju poslove na radnim mestima na kojima se primenom drugih mera izloženost zaposlenih prašini koja potiče od azbesta ili materijala koji sadrže azbest ne može smanjiti ispod granične vrednosti izloženosti azbestu, ne obezbedi korišćenje sredstava i opreme za zaštitu disajnih organa i kontrolu njihove upotrebe u skladu sa namenom (član 9. stav 4);
6) ne izradi Plan rada pre početka otpočinjanja radova na rušenju ili uklanjanju azbesta i/ili proizvoda koji sadrže azbest iz objekata, konstrukcija, instalacija, postrojenja ili plovila i ne dostavi nadležnoj inspekciji rada najkasnije osam dana pre početka otpočinjanja radova (član 12);
7) ne obezbedi praćenje zdravstvenog stanja zaposlenih koji jesu ili mogu biti izloženi prašini koja potiče od azbesta ili materijala koji sadrže azbest, kroz prethodne i periodične lekarske preglede zaposlenih na radnim mestima sa povećanim rizikom i ciljane lekarske preglede, u skladu sa propisima u oblasti bezbednosti i zdravlja na radu i zdravstvene zaštite (član 17. stav 1).
Novčanom kaznom od 100.000 do 500.000 dinara za prekršaj iz stava 1. ovog člana kazniće se preduzetnik.
Novčanom kaznom od 20.000 do 60.000 dinara kazniće se za prekršaj iz stava 1. ovog člana odgovorno lice u pravnom licu, odnosno zastupnik pravnog lica.
Novčanom kaznom od 100.000 do 600.000 dinara kazniće se za prekršaj poslodavac sa svojstvom pravnog lica ako:
1) nadležnoj inspekciji rada ne prijavi obavljanje poslova pri kojima zaposleni jesu ili mogu biti izloženi prašini koja potiče od abesta ili materijala koji sadrže azbest, najmanje osam dana pre početka obavljanja tih poslova (član 4. stav 1);
2) ne dostavi novu prijavu, kada se uslovi rada promene tako da je značajno povećano izlaganje prašini od azbesta ili materijala koji sadrže azbest, najkasnije u roku od osam dana od dana nastanka tih promena (član 4. stav 3);
3) radove na rušenju ili uklanjanju azbesta ne obavlja operater (pravno lice ili preduzetnik), koji je u skladu sa propisom o upravljanju otpadom dobio odgovarajuću dozvolu za upravljanje otpadom koji sadrži azbest (član 14);
4) zaposlene i njihove predstavnike za bezbednost i zdravlje na radu ne informiše o merama koje je preduzeo (član 16);
5) ne vodi i ne čuva evidenciju zaposlenih koji obavljaju poslove pri kojima jesu ili mogu biti izloženi prašini koja potiče od azbesta ili materijala koji sadrže azbest (član 18. stav 1).
Novčanom kaznom od 80.000 do 300.000 dinara za prekršaj iz stava 1. ovog člana kazniće se preduzetnik.
Novčanom kaznom od 20.000 do 60.000 dinara kazniće se za prekršaj iz stava 1. ovog člana odgovorno lice u pravnom licu, odnosno zastupnik pravnog lica.
Novčanom kaznom od 100.000 do 600.000 dinara kazniće se za prekršaj pravno lice ako u postupku preventivnih i periodičnih ispitivanja uslova radne okoline za brojanje azbestnih vlakana ne koristi metod faznokontrastne optičke mikroskopije u skladu sa preporukom Svetske zdravstvene organizacije ISBN 92 4 154496 1 ili broj tih vlakana ne utvrdi drugom metodom koja daje ekvivalentne rezultate (član 7. stav 4).
Novčanom kaznom od 20.000 do 60.000 dinara kazniće se za prekršaj iz stava 1. ovog člana odgovorno lice za ispitivanje uslova radne okoline u pravnom licu.
Danom stupanja na snagu ove uredbe prestaje da važi Pravilnik o preventivnim merama za bezbedan i zdrav rad pri izlaganju azbestu ("Službeni glasnik RS", br. 106/09, 6/10 - ispravka i 15/10 - ispravka).
Ova uredba stupa na snagu osmog dana od dana objavljivanja u "Službenom glasniku Republike Srbije".
ODREĐIVANJE BROJČANE KONCENTRACIJE VLAKANA U VAZDUHU PREPORUČENI METOD FAZNOKONTRASTNE OPTIČKE MIKROSKOPIJE (METOD MEMBRANSKOG FILTERA)
WHO katalogizacija biblioteke o podacima publikacije
Određivanje brojčane koncentracije vlakana u vazduhu: preporučeni metod fazno-kontrastne optičke mikroskopije (metod membranskog filtera).
1. Zagađivači vazduha, profesionalna analiza,
2. Metode monitoringa životne sredine,
3. Faznokontrastna mikroskopija
ISBN 92 4 154496 1 |
(NLM klasifikacija: WA 450) |
Svetska zdravstvena organizacija pozdravlja zahteve za dozvolu delimične ili potpune reprodukcije ili prevoda svojih publikacija. Zahtev sa opisom namene bi trebalo poslati Kancelariji za publikacije, Svetska zdravstvena organizacija, Ženeva, Švajcarska, koja će rado pružiti najnovije informacije o bilo kakvim promenama koje su napravljene u tekstu, planovima za nova izdanja, reprintima i već dostupnim prevodima.
© Svetska zdravstvena organizacija 1997.
Publikacije Svetske zdravstvene organizacije uživaju zaštitu autorskih prava u skladu sa odredbama Protokola 2 Univerzalne konvencije o autorskim pravima. Sva prava rezervisana.
Korišćene oznake i prezentacija materijala u ovoj publikaciji ne uključuju izraze bilo kakvih mišljenja o delu Sekretarijata Svetske zdravstvene organizacije koja se tiču zakonskog statusa bilo koje zemlje, teritorije, grada ili oblasti ili o njenim ovlašćenjima ili koja se tiču razgraničenja njenih granica ili administrativnih linija.
Pominjanje određenih kompanija ili proizvoda proizvođača ne uključuje da su oni potvrđeni ili preporučeni od strane Svetske zdravstvene organizacije i da imaju prednost u odnosu na druge slične prirode, koji nisu pomenuti. Greške i propusti izuzeti, imena vlasničkih proizvoda su određena početnim velikim slovima.
Grafička priprema u Hong Kongu
Štampano u Engleskoj
95/10760-Best set/Clays-7000
Ministarstvo nadležno za poslove rada garantuje za tačnost prevoda originalnog teksta "Determination of airborne fibre number concentrations, A recommended method, by phase-contrast optical microscopy (membrane filter method)", na srpski jezik i Svetska zdravstvena organizacija, Ženeva, Švajcarska je saglasna za publikaciju navedenog teksta.
Predgovor
Inhalacija vlakana koja se prenose vazduhom na radnom mestu može prouzrokovati brojna profesionalna oboljenja disajnih puteva, koja znatno doprinose oboljevanju i smrtnosti među zaposlenima u zemljama u razvoju kao i u razvijenim zemljama. Praćenje koncentracije vlakana u vazduhu je važan instrument stručnjacima medicine rada za procenu izloženosti i potrebe da se ona redovno kontroliše, kao i za evaluaciju efikasnosti primenjenih mera i karakterizaciju izloženosti u epidemiološkim studijama. Ipak, brojnost različitih metoda je do sada ometala uporedivost rezultata, kao i mogućnost provere tačnosti kako bi se obezbedila pouzdanost dobijenih podataka.
Metodološki okvir koji dozvoljava smisaona poređenja između rezultata dobijenih od različitih istraživača i laboratorija je od izuzetne koristi za sve aspekte higijene rada, a naročito za procenu izloženosti i monitoring životne sredine. Osim provere tačnosti, sheme za osiguranje kvaliteta, poređenje i razmena podataka kao i međunarodne zajedničke studije zavise od upotrebe kompatibilnih metodologija. Pouzdanost i komparabilnost rezultata monitoringa i izloženosti su takođe od suštinskog značaja za osiguranje da su preventivni sistemi kontrole radnih mesta adekvatni i efektivni. Nadzor medicine rada i mogućnost da se uspostave korelacije između epidemioloških indikatora i onih iz životne sredine, takođe zavisi od mogućnosti da se uporede podaci iz različitih izvora.
Zbog toga je Svetska zdravstvena organizacija (WHO) sprovela projekat koji za cilj ima da uspostavi jedinstvenu metodologiju za brojčanu procenu koncentracije vlakana u vazduhu radne sredine. Nacrt teksta o specifikaciji ovog metoda je inicijalno pripremio dr N.P. Crawford, Institut medicine rada, Edinburg, Škotska. Tokom četiri sastanka međunarodne radne grupe eksperata (pogledajte Aneks 3 spisak učesnika sa poslednjeg sastanka), trenutne metode evaluacije su upoređene, a njihove razlike identifikovane i analizirane, sa osvrtom na razumevanje efekta ovih razlika na rezultate brojanja vlakana u vazduhu. Radna grupa je postigla konsenzus o preporučenom metodu za brojčano određivanje koncentracije vlakana u vazduhu putem faznokontrastne optičke mikroskopije. Uloga dr Crawford kao izveštača na poslednjem sastanku i njegov rad u revidiranju nacrta rukopisa su zahvalno priznati.
Saradnja između Međunarodne organizacije rada (ILO), Evropske Komisije (EC), Međunarodne organizacije za standardizaciju (ISO), Evropskog komiteta za standardizaciju (CEN), Međunarodne grupe za bezbednost vlakana (IFSG), kao i nacionalnih agencija, naročito Zdravstvenih i bezbednosnih izvršnih tela Ujedinjenog kraljevstva (HSE) i Nacionalnog instituta za bezbednost i medicinu rada SAD-a (NIOSH), je bila osnova za ovaj projekat i takođe uz veliku zahvalnost prepoznata. Posebna zahvalnost zbog finansijske podrške koju su pružili duguje se EC i IFSG.
Posebno priznanje bi takođe trebalo odati izuzetnom ličnom doprinosu nekoliko članova radne grupe, naročito Dr N.G Vest (WHO), Dr P. Baron (NIOSH) i gospodinu S. Houston (IFSG) kao i gospođi B. Goecler, Medicina rada, WHO.
U svojoj prvoj fazi ovaj projekat se fokusirao na metodologiju, tako da autoritativno naučno znanje može biti upotrebljeno da se obezbede tačna i precizna merenja brojčane koncentracije broja vlakana u vazduhu. U svojoj drugoj fazi projekat će razmatrati svetske napore za proveru tačnosti, osiguranje kvaliteta i tehničku saradnju, uključujući osposobljavanje i edukaciju.
Dr. M.I. Mikhev
Šef, Medicina rada
Svetska zdravstvena organizacija
Kratki opis karakteristika metode
Princip metode
Uzorak se prikuplja povlačenjem poznate zapremine vazduha kroz membranski filter posredstvom pumpe za uzorkovanje. Filter bi trebalo da bude providan ("očišćen") i montiran na mikroskopsko predmetno staklo (pločicu). Vlakna na izmerenoj oblasti filtera se vizuelno broje korišćenjem faznokontrastne optičke mikroskopije (PCOM), i izračunava se brojčana koncentracija vlakana u zapremini vazduha.
Uzorkovanje
Filter: |
Membrana od smeše celuloznih ili nitroceluloznih estara, veličine pore od 0,8 µm do 1,2 µm, prečnika 25 mm. |
Držač filtera: |
Uklopljen sa električno provodljivim poklopcem. |
Transport: |
U zatvorenim držačima. |
Protok: |
0,5 l·min-1 do 16 l·min-1. Prilagođen da daje 100 vlakana·mm-2 do 650 vlakana·mm-2. |
Slepa proba: |
Medij za uzorkovanje, 4% filtera. |
Priprema uzorka
Aceton-triacetin za vlakna sa indeksom refrakcije > 1.51, stabilan ≥ 1 godine. |
Aceton/nagrizanje/voda za vlakna sa refraktivnim indeksom ≤ 1.51, nestabilan. |
Procena uzorka
Tehnika: |
Faznokontrastna optička mikroskopija. |
Mikroskop: |
Pozitivni fazni kontrast, objektiv x 40, uvećanje x 400-600. |
Walton-Beckett merna skala okulara, tip G-22 (prečnik 100 µm ± 2 µm). |
|
Test preparat sa HSE/NPL Oznakom II. |
|
Etalonirano mikroskopsko predmetno staklo (mikrometar) (dužina 1 mm, podela 2 µm). |
|
Podešavanje: |
Da se ispune zahtevi vidljivosti test mikroskopskog predmetnog stakla. |
Analizirana supstanca: |
Vlakna (vizuelni broj) |
Pravila brojanja: |
Odaberite nasumično polja za brojanje, u skladu sa definisanim kriterijumima. |
Donja granica merenja: |
10 vlakana po 100 polja okulara. |
Uticaji i reproduktibilnost: |
Pogledajte odeljke 4 i 5. |
Mnoge zemlje su uspostavile svoje granice izloženosti za vlakna koja se nalaze u vazduhu radnih mesta u smislu brojčane koncentracije vlakana, na primer, broj vlakana u jednom mililitru vazduha. Metod koji se tipično koristi za određivanje ovih koncentracija za poređenje sa granicama izloženosti je takozvani metod membranskog filtera. Ipak, iskustvo je pokazalo da ovaj metod ne daje uvek uporedive rezultate kada ga koriste različite laboratorije i različiti analitičari. Zapravo, njegova preciznost je među najslabijima u odnosu na bilo koji drugi metod procene u higijeni rada. Razlike u rezultatima mogu nastati usled varijacija u metodi uzorkovanja, pripremi uzorka, optičkoj mikroskopiji, izračunavanju rezultata i drugim faktorima, ali naročito kao rezultat subjektivnih efekata povezanih sa vizuelnim brojanjem vlakana. Takve razlike imaju i sistematične i nasumične komponente. Primena standardnih procedura i uspostavljenje reproduktibilnih rutina je jedini način za kontrolisanje većine izvora grešaka prisutnih u metodi membranskog filtera, koja je uprkos svojim ograničenjima jedini metod pogodan za široko rasprostranjenu upotrebu u razvijenim i zemljama u razvoju.
Međunarodne, regionalne i nacionalne organizacije objavile su brojne opise za metodu membranskog filtera. Razlike u detaljima između specifikacija su pronađene u oba slučaja i kada se one primenjuju na različite vrste vlakana ali i na istu vrstu vlakna (na primer: EEC, 1983; WHO, 1985; ISO, 1993; NIOSH, 1994). Sada postoji manje razlika u specifikacijama nego ranije, ali razlike još uvek postoje i mogu imati važan sistematski efekat na rezultate. Veličina ovih sistematskih varijacija zavisi od metode uzorkovanja, vrste filtera i korišćenog procesa. Dalje usklađivanje je potrebno da bi se eliminisala specifikacija metoda kao izvor varijacije i uz adekvatno osposobljavanje i kontrolu kvaliteta obezbedila komparabilnost između rezultata izmerenih od strane različitih mikroskopista i laboratorija.
Metod koji preporučuje WHO, kao što je navedeno u glavnom tekstu ove publikacije, u vezi je sa merenjima brojčane koncentracije vlakana u vazduhu svih vrsta u svrhu procene lične izloženosti u radnoj sredini. Potrebne modifikacije za primenu u statističkom monitoringu su opisane u Aneksu 1. Ove specifikacije su nastale na osnovu prethodno pripremljenog prikaza relevantne literature (Crawford, 1992. godine).
Strategije uzorkovanja nisu obuhvaćene ovom publikacijom, ali priručnik za osposobljavanje za ovaj metod, kao i strategije uzorkovanja specifične za vlakna, su predviđene. Strategije uzorkovanja su takođe dobro obuhvaćene u specijalističkoj literaturi (na primer: NIOSH, 1977; ACGIH, 1991; AIHA, 1991; BOHS, 1993; NIOSH, 1994; ACGIH, 1995; CEN, 1995).
Pouzdani rezultati zavise od učešća u adekvatnom programu osiguranja kvaliteta. U tom cilju trebalo bi pratiti opšte zahteve za tehničku kompetenciju mernih laboratorija objavljenih od Međunarodne organizacije za standardizaciju (ISO, 1990). Mikroskopisti bi trebalo da učestvuju u intralaboratorijskim proverama brojanja, a laboratorije bi trebalo da učestvuju u shemama provera osposobljenosti.
Nadamo se da će ova publikacija motivisati pregled brojnih specifikacija metoda koje su trenutno u upotrebi i da će ovde predstavljeni metod na kraju koristiti sve zemlje, bez obzira na vrstu vlakna koje se procenjuje.
Metod prikazan na narednim stranicama primenljiv je na procenu koncentracije vlakana u vazduhu na radnim mestima, najčešće se odnosi na ličnu izloženost, za sva prirodna i sintetička vlakna, uključujući azbestne vrste, druga prirodna i veštačka mineralna vlakna. Metod se može koristiti pri uzorkovanju i monitoringu obavljenom za svrhe:
- poređenja sa granicama izloženosti na radnom mestu,
- epidemiologije,
- procene efektivnosti primenjenih kontrolnih mera i monitoringa efekata modifikacija procesa.
Metod je adekvatan za gore pomenute primene kada je potrebna informacija o brojčanoj koncentraciji vlakana u vazduhu. Granice izloženosti na radnom mestu za neka vlakna mogu biti izražene i gravimetrijskim jedinicama (mg·m-3), u ovim slučajevima, koncentracije mase se mere drugim metodama opisanim u "Bezbednost pri korišćenju mineralnih i sintetičkih vlakana" (ILO, 1990). Za razliku od metoda membranskog filtera, ove gravimetrijske metode nisu karakteristične za vlakna, s obzirom da su čestice i nebrojiva vlakna uključena u masu.
Metod koji je ovde prikazan meri brojčanu koncentraciju vlakana u vazduhu, definisanih kao predmete dužine > 5 µm, širine < 3 µm i odnosa dužine/širine (aspekt razmere) > 3:1, koristeći faznokontrastnu optičku mikroskopiju.
Postavljajući gornju granicu širine znači da se, kod nekih tipova vlakana, neka široka vlakna neće brojati. Sva vlakna koja zadovoljavaju kriterijume dimenzije i pravila brojanja definisana u odeljku 3.2.3. ovog metoda bi trebalo da se računaju.
Mnoga vlakna su suviše mala da bi bila vidljiva optičkom mikroskopijom. Minimalna vidljiva širina zavisi od razdvojne moći optičkog sistema, razlike u indeksu refrakcije između vlakna i sredine koja ga okružuje i vizuelne oštrine mikroskopiste. Sa dobrim, tačno podešenim mikroskopom koji je usklađen sa specifikacijom ovog metoda, granica vidljivosti je u načelu oko 0,13 µm do 0,15 µm. Ipak u praksi, najmanja vidljiva vlakna će biti široka oko 0,2 µm do 0,25 µm. Pošto neka vlakna padaju ispod granice vidljivosti, broj PCOM vlakna predstavlja samo određen odnos ukupnog broja prisutnih vlakana (tačan odnos varira i zavisi od faktora kao što su tip uzorka i analitičar). Stoga broj predstavlja samo indeks brojčane koncentracije vlakana i nije apsolutna mera broja prisutnih vlakana.
Korišćenje ove metode ima druga ograničenja kada se primenjuje na uzorke koji sadrže "tanjiraste" (ravne) ili acikularne (igličaste) čestice i shodno tome ne bi trebalo da se primenjuje bez potpunog razumevanja atmosfere radnog mesta (ISO, 1993). Metod ne dozvoljava određivanje hemijskog sastava ili kristalografske strukture vlakana i stoga se ne može samostalno koristiti za određivanje razlike između različitih tipova vlakana. Ipak, dodatna informacija o vrsti ili veličini vlakna se može dobiti korišćenjem drugih metoda kada je to potrebno, kao što je mikroskopija sa polarizovanim svetlošću, skenirajuća elektronska mikroskopija i transmisiona elektronska mikroskopija. Aneks 2 daje smernice o obimu i primeni ovih metoda. Takve metode mogu biti posebno adekvatne kada su različite vrste vlakana prisutne na istom radnom mestu i kada je prašina koja se prenosi vazduhom smeša vlakana i drugih vrsta čestica. Dodatne metode su takođe korisne za epidemiološke studije, gde se obično traži detaljnija karakterizacija svojstava azbestnih zagađivača.
Za parametre metoda koji su dole prikazani, preporučena specifikacija je obično prikazana u kurzivu posle naslova odeljka. Dodatne informacije su prikazane običnim slovima. Ovaj dodatni materijal može uključiti jednu ili više drugih specifikacija koje se mogu koristiti, pod uslovom da je korisnik dokazao da daju ekvivalentne rezultate onima koji su dobijeni preporučenom specifikacijom.
3.1.1. Filter
Membrana filtera bi trebalo da bude sastavljena od mešavine celuloznih ili nitroceluloznih estara i trebalo bi da ima pore veličine od 0,8 µm do 1,2 µm i prečnik od 25 mm.
Korišćenjem filtera sa većim porama uočen je manji broj vlakana. Opseg veličine gore pomenutih pora ima pogodnu filtraciju i karakteristike opadanja pritiska. On takođe dozvoljava opseg za razumne varijacije u brzini protoka koji može biti potreban da bi se postigle optimalne gustine vlakana. Filteri sa porama veličine < 0,8 µm pružaju povećan otpor protoku koji može izazvati probleme za neke pumpe.
Utvrđeno je da su izmerene koncentracije vlakana sa filterima prečnika 13 mm, 25 mm i 37 mm komparabilne, kada su izložene istoj površinskoj brzini tokom uzorkovanja. Ipak, filteri od 25 mm imaju prednost nad filterima od 37 mm u tom smislu što je manja veličina uređaja za uzorkovanje pristupačnija ličnom uzorkovanju, jer se ukoliko je potrebno, ceo filter može namontirati, a imajući u vidu da su sada držači filtera od 25 mm široko rasprostranjeni i imaju međunarodnu upotrebu. Postoje izveštaji o nejednakosti naslaga kako na filterima od 25 mm tako i na onima od 37 mm. Uprkos ovom problemu, preostaje veliki broj opsega za varijacije u prečniku filtera koji se mogu koristiti da bi se dobile optimalne gustine vlakana. U budućnosti, naročito filteri od 13 mm mogu postati korisni usled progresivnog smanjenja koncentracije vlakana na većini radnih mesta.
Mogu se koristiti i mrežasti i nemrežasti filteri. Štampane mreže pomažu i pri fokusiranju mikroskopa na ravan deo vlakana i pri identifikovanju pozicije. Štaviše, bilo kakvo krivljenje linija mreže filtera ukazuje na poremećaj distribucije vlakana povezan sa greškama u procesu montiranja filtera.
Kvalitet svake partije filtera bi trebalo proveriti pre upotrebe (pogledajte odeljak 3.1.8).
Prečnik izložene oblasti filtera takođe mora biti poznat. Ukoliko su komponente držača filtera koje mogu uticati na ovo (na primer O-prsten) promenjene, efektivni prečnik bi trebalo ponovo izmeriti. Prihvatljiv metod uključuje sakupljanje uzorka iz gustog oblaka tamne prašine i montiranje filtera na predmetno staklo mikroskopa na normalan način. Prečnik tamnih naslaga se može izmeriti razmernikom, ali pri tome treba imati u vidu da je predmetno staklo uglavnom smešteno na stočić mikroskopa, a filter posmatran malim uvećanjem dok je prečnik tamne oblasti iskošen pomeranjem stočića. Razdaljina pomeranja se dobija iz skale razmernika stalka. Trebalo bi da se izmere dva prečnika na svakom filteru, a na ovaj način treba proveriti tri filtera u različitim držačima. Ukoliko se koriste različite vrste držača filtera, proces bi trebalo ponoviti za svaku vrstu. Pod uslovom da se tri izmerena prečnika filtera ne razlikuju za više od 1 mm, uzima se aritmetička sredina izmerenih vrednosti i ona se koristi kao efektivni prečnik filtera. Ukoliko se otkrije da su razlike u prečniku veće od 1 mm, trebalo bi ispitati tehnike uzorkovanja i montiranja filtera. Opšti izgled filtera bi mogao otkriti probleme sa držačima filtera ili procedurom montiranja (na primer, curenje ili nejednaka naslaga). Efektivni prečnik filtera ne bi trebalo da bude manji od 20 mm.
Zabeležena je pojava igličastih predmeta na uzorcima prikupljenim na membranskim filterima koji su pre montiranja pokvašeni (i koji su zadržali nešto vlage). Predmeti, koji se pojavljuju oko 4 dana posle čišćenja i montiranja sa aceton-triacetinom, zadovoljavaju definiciju brojivih vlakana u odeljku 3.2.3. Filteri bi trebalo stoga da se osuše pre nego što se očiste i namontiraju.
Elektrostatičko odbijanje vlakana od strane filtera se može javiti i verovatnije je da će se desiti u uslovima niže vlažnosti. U takvim slučajevima, filter se može prethodno tretirati odgovarajućom površinski aktivnom materijom da bi se eliminisao elektrostatički naboj. Površinski aktivna materija bi trebalo da bude sa sertifikatom da je bez čestica. Jedna od pogodnih procedura je uranjanje filtera u 0.1 % rastvor benzetonijumhlorida i sušenje preko noći na upijajućem papiru da bi se sprečilo da lokalizovane kuglice detergenta blokiraju deo filtera (Mark, 1974).

Slika 1. Prikaz razdvojenog ličnog uzorkivača
3.1.2. Držač filtera
Uglavnom bi trebalo koristiti držač filtera sa otvorenom čeonom stranom uklopljen sa provodničkim poklopcem.
Primer držača filtera pogodnog za lično uzorkovanje je prikazan na Slici 1.
Poklopac pomaže da se filter zaštiti od slučajnih kontaminacija i nenamerne fizičke štete, dok dopušta jednoobrazne naslage vlakana. Dužina poklopca je uobičajeno 1,5 do 3,0 puta veća od efektivne veličine filtera. Kraći poklopci se mogu koristiti ukoliko se pokaže da mogu davati iste rezultate kao i duži. Trebalo bi voditi računa da je poklopac dobro namešten tako da curenje bude minimalno.
Skupljajuća traka se može upotrebiti da bi se pomoglo pričvršćivanje poklopca za držač filtera, ona održava spojeve čistim i sprečava zagađivače da dospeju na filter kada je držač filtera rasklopljen.
Provodnički poklopac bi trebalo da se koristi za smanjenje rizika gubitka vlakana usled elektrostatičkih efekata. Do njih može doći u uslovima veoma niske vlažnosti i sa aerosolima sa vlaknima visokog naboja. Za brojanje bi trebalo odabrati polja posmatranja prema centru filtera (izbegavajući spoljašnji region 4 mm od oboda filtera), pošto zbog akumulacije statičkog elektriciteta u blizini ivice filtera može doći do gubitka vlakana u tom delu filtera (pogledajte odeljak 3.2.3). Važno je pobrinuti se da popunjenost filtera bude u okvirima optimalnog opsega gustine vlakana, navedenog u ovom metodu (pogledajte odeljak 3.1.5), da bi se slučajna greška brojanja svela na minimum.
U nekim situacijama, vlakna se mogu nataložiti na poklopcu zbog elektrostatičkih efekata ili slučajnog prepunjavanja filtera. Povremeno se poklopci ispiraju da bi se sakupila i izbrojala ova vlakna. Moguće je da ispiranje vlakana sa poklopca i njihovo taloženje na filter mogu uvesti slučajnu grešku brojanja. Štaviše, nekorišćeni plastični poklopci mogu u velikoj meri biti kontaminirani "pozadinskim" vlaknima (na primer opiljcima plastike) koja se mogu osloboditi pri ispiranju. Stoga bi, sva vlakna isprana sa poklopca trebalo zanemariti kada se određuje koncentracija vlakana u vazduhu. Kada je predviđeno da se naslage vlakana na poklopcu računaju, može se koristiti držač filtera sa otvorenom glavom bez poklopca.
Ukoliko se koriste O-prstenovi, oni bi trebalo da budu napravljeni od politetrafluoretilena. Za hermetičko povezivanje držača filtera sa pumpom neophodno je primeniti fleksibilno crevo.
Pri pravilnoj upotrebi, poklopac će pokazivati nadole. Za lično uzorkovanje, držač filtera bi trebalo da bude pričvršćen za gornji rever ili rameni deo odeće zaposlenog, što je moguće bliže ustima i nosu, ali u svakom slučaju ne dalje od 300 mm. Kada god je moguće, ista pozicija aparature za uzorkovanje bi trebalo da bude usvojena za svakog zaposlenog. U nekim okolnostima, veća koncentracija se može očekivati sa jedne strane zaposlenog nego sa druge, aparatura za uzorkovanje bi tada trebalo da bude pozicionirana na stranu na kojoj se očekuje viši rezultat.
U budućnosti će, aparatura za uzorkovanje sa selekcijom veličine čestica, zameniti aparaturu sa poklopcem. Ona se može usvojiti kao specifičniji i tačniji način za uzorkovanje vlakana što bi otklonilo potrebu da se određuje širina vlakana, a i smanjilo bi pozadinske smetnje izazvane prisustvom velikih čestica.
3.1.3. Čuvanje i transport
Ne bi trebalo koristiti fiksative. Filtere bi trebalo transportovati u zatvorenim držačima, koje bi trebalo otvarati samo neposredno pre upotrebe i zatvarati odmah potom.
Iskustvo je pokazalo da je pričvršćivanje vlakana za površinu filtera citološkim ili drugim fiksativima nepotrebno i da to ne treba raditi.
Poželjno je transportovati filtere u glavama filtera. Ukoliko je ovo nepraktično, mogu se koristiti čiste, odmašćene konzerve sa poklopcima koji se uklapaju pri zatvaranju ili slični kontejneri za transport filtera. Lepljiva traka se može koristiti da se za konzervu pričvrsti čista, neizložena ivica filtera (ukoliko je korišćena konzerva), a traka se potom može iseći sa filtera hirurškim skalpelom. Držači filtera ili konzerve bi trebalo da budu spakovani u čvrste kontejnere sa dovoljno mekanog materijala za pakovanje da bi se sprečilo lomljenje i vibriranje filtera. Kontejneri bi trebalo da budu jasno obeleženi, a neophodan je oprez kako bi se izbeglo slučajno ponovno korišćenje filtera. Sami filteri ne bi trebalo da budu obeleženi u ovu svrhu, zbog rizika da se ne oštete.
Trebalo bi voditi računa da se elektrostatički efekti pri rukovanju filterima svedu na minimum. Kutije obložene stiroporom ne bi trebalo da se koriste.
Da bi se minimizirala kontaminacija, držači filtera i poklopci se moraju očistiti pre upotrebe, a filtere bi trebalo pakovati, raspakivati i analizirati u oblasti koja je što je moguće više oslobođena kontaminacije. Pri rukovanju sa filterima, mora se stalno voditi računa, da se oni hvataju samo po ivici i to samo dobrim, kvalitetnim pincetama. Ulaz u poklopac bi trebalo da bude zatvoren zaštitnom kapom ili čepom pre i tokom transporta.
3.1.4. Pumpa za uzorkovanje
Prenosiva pumpa koja radi na baterije se uobičajeno koristi za (lično uzorkovanje. Kapacitet baterije bi trebalo da bude dovoljan za kontinuirani rad tokom odabranog vremena za uzorkovanje. Protok, sa filterom povezanim na pumpu, bi trebalo da bude bez pulsacija.
Pumpa bi trebalo da obezbeđuje ravnomeran protok, koji bi trebalo da bude u okviru ± 10 % od potrebnog protoka za predviđene brzine protoka ≤ 2 l·min-1 i u okviru ±5 % za brzine protoke > 2 l·min-1. Ona bi trebalo da bude u stanju da održava ovu brzinu protoka kroz filter tokom čitavog perioda uzorkovanja. Ova prihvatljiva varijacija uključuje svaku promenu brzine protoka izazvanu promenama u orijentaciji pumpe. Pumpa bi trebalo da bude laka i prenosiva, ukoliko je ona previše velika da bi stala u džep zaposlenog treba je pričvrstiti kaišem oko pojasa. Baterija bi trebalo da bude dovoljnog kapaciteta da pokreće pumpu u okvirima navedenih granica protoka tokom čitavog perioda merenja. Iako su pumpe uglavnom već opremljene prigušivačima pulsacija protoka, spoljašnji prigušivač bi možda trebalo instalirati između pumpe i filtera.
Možda će biti neophodno da se pumpa zagreje, u zavisnosti od vrste pumpe i uslova sredine. Da bi se ovo uradilo, pumpu treba povezati fleksibilnim crevom sa napunjenim držačem filtera i pustiti je da radi na izabranoj brzini protoka 15 min kako bi se brzina protoka stabilizovala (iskustva mogu pokazati da je zagrevanje nepotrebno kod nekih tipova pumpi sa stabilizovanim protokom). Filter bi tada trebalo odbaciti i staviti novi za prikupljanje uzorka (takođe, posebni držač filtera, sa postavljenim filterom, se može koristiti za zagrevanje nekoliko pumpi). Posle zagrevanja protok bi trebalo ponovo podesiti na odabranu brzinu protoka, koristeći etalonirani merač protoka vazduha. Jedna od zadovoljavajućih procedura je da se poveže etalonirani merač na ulaz poklopca putem čepa ili cevi. Po završenom podešavanju protoka, pumpu bi trebalo isključiti i staviti zaštitnu kapu na ulaz u poklopac. Pumpa ne bi trebalo da radi bez filtera, da bi se izbegla svaka šteta od čestica prašine.
Curenje u sistemu za uzorkovanje bi se moglo proveriti aktiviranjem pumpe sa zatvorenim držačem filtera i povezanim uređajem za merenje protoka. Svaki merljivi protok naznačava curenje koje se mora eliminisati pre nego što se započne uzorkovanje.
3.1.5. Optimalno punjenje filtera vlaknima
Kada je kontaminacija od nevlaknastih čestica niska, ciljani opseg za gustine vlakana za optimalnu tačnost i preciznost bi trebalo da bude oko 100 vlakana·mm-2 do 650 vlakana·mm-2. Gornja granica ciljanog opsega gustine vlakana se može povećati na 1000 vlakana·mm -2 ukoliko je prisutno relativno malo interferirajućih čestica ali se može i smanjiti u slučaju prisustva dosta nevlaknastih čestica ili aglomerata. U posebnim okolnostima donji nivo opsega gustine može biti takođe smanjen.
Greške pri proceni koncentracije vlakana mogu proisteći iz subjektivnih razlika u vizuelnom brojanju vlakana. Uopšteno, ali ne i redovno, brojevi vlakana su potcenjeni pri visokim gustinama i precenjeni pri nižim gustinama. Takođe, pri nižim gustinama varijabilnost brojanja vlakana se povećava. I subjektivna pristrasnost i varijabilnost koje zavise od gustine su minimizirane kada su opsezi gustine vlakana u okvirima gore navedenih granica za "čiste" uzorke. Brojanje vlakana u tom opsegu gustine uzorka se može postići adekvatnim izborom brzine protoka, dužinom uzorkovanja i prečnikom filtera.
U situacijama kada su prisutne nevlaknaste čestice ili aglomerati, može biti neophodno da se smanji maksimalna gustina vlakana sa ciljem da se minimizira zatamnjivanje vlakana drugim česticama. Kada su punjenja vlakana manja od oko 100 vlakana ·mm-2, rezultati su podložni većim greškama pri brojanju. Takvi rezultati se i dalje mogu koristiti u određenim okolnostima (na primer, kada indikacije za merenje koncentracije vlakana dozvoljavaju nisku preciznost), pod uslovom da su oni iznad najniže merljive gustine vlakana (pogledajte odeljak 4.3).
3.1.6. Brzina protoka
Brzina protoka pri uzorkovanju bi trebalo da bude u opsegu od 0.5 l·min-1 do 2.0 l·min-1 kada se poređenje rezultata merenja obavlja sa graničnim vrednostima koncentracije vlakana definisanim za referentni period od 4 h ili 8 h. Brzina protoka bi trebalo da se podesi, kada god je to moguće, kako bi se dobile gustine vlakna u optimalnom opsegu radi tačnosti i preciznosti.
Za poređenja sa graničnim vrednostima definisanim za kraće periode (na primer, 10 min) brzina protoka se može povećati na 16 l·min-1.
U širokom opsegu brzina protoka, efikasnost uzorkovanja je u velikoj meri nezavisna od brzine protoka. To znači da brzina protoka može varirati, pod uslovom da daju isto punjenje filtera ili punjenja u okviru optimalnog opsega za gustinu vlakana navedenu u ovoj metodi.
Najniža brzina protoka u okviru definisanog opsega bi trebalo da bude takva da minimizira gubitak preciznosti, a najviša brzina bi trebalo da bude unutar efikasnog radnog kapaciteta pumpe za uzorkovanje pri radu pumpe u normalnim uslovima. Gore navedeni opsezi brzine protoka uzimaju u obzir ove faktore u većini slučajeva.
Iz praktičnih razloga, bilo bi najpogodnije koristiti jedinstvenu brzinu protoka za većinu radnih mesta u fabrici, brzinu protoka bi trebalo menjati samo za ona radna mesta gde iskustvo ili podaci ukazuju da je potrebna druga brzina protoka (ili promena prečnika filtera) kako bi se dobila prihvatljiva punjenja filtera.
Podešeni radni merač protoka je neophodan pri prvoj upotrebi pumpe i kada se potom proverava protok. Ovo bi, uobičajeno, trebalo da bude prenosivi merač protoka promenljive oblasti merenja ili merač protoka zasnovan na plovku (na primer, "rotametar"), prethodno podešen prema glavnom meraču protoka. Glavni merač protoka bi po mogućstvu trebalo da bude merač protoka čija je tačnost u skladu sa nacionalnim etalonom i koji se koristi sa velikom pažnjom na uslove iz Uverenja o etaloniranju. Merač protoka tipa "mehurića" se takođe može koristiti (Slika 2). Ovo je uređaj u kome pumpa koja se testira provlači film sapuna kroz definisanu cev. Prolaz filma je podešen između dve oznake čije razdvajanje definiše poznatu zapreminu. Litarska bireta može poslužiti kao pogodna cev. Zapremina između oznaka se može proveriti punjenjem birete destilovanom vodom i omogućavajući temperaturama da se stabilizuju. Odlivanjem zapremine i merenjem vode omogućeno je izračunavanje zavisnosti zapremine od temperature. Adekvatan rastvor sapunice se može napraviti mešanjem jednog dela koncentrisane tečnosti za ispiranje (detergent), dva dela glicerola i četiri dela vode. Bireta mora biti temeljno nakvašena rastvorom, i možda može biti neophodno nekoliko pokušaja provlačenja filma kroz cev pre nego što cev bude dovoljno mokra da bi se ovo dosledno postiglo. (Da bi se ova podešavanja mogla pratiti potrebno je takođe uporediti časovnike sa vremenskim etalonom kao i upotrebu sertifikovanih težina).

Slika 2. Podešavanje brzine protoka putem merača brzine protoka sa "mehurićima"
Burette - Bireta
Soap - Sapunica
Beaker. Can be raised to capture a film of soap - Laboratorijska čaša. Može biti podignuta da bi se uhvatio sapunski film
Bubble trap - Hvatač mehurića
Pressure gauge - Merač pritiska
Sampling head or adjustable clamp - Uzorkivač ili podesiva štipaljka
Pump - Pumpa
Radni merač protoka mora biti dovoljno osetljiv da dozvoli očitavanje protoka unutar ± 10 % za stepene protoka ≤ 2 l·min-1 i unutar ± 5 % za stepene > 2 l·min-1. Ukoliko ispunjava ove zahteve, merač protoka ugrađen u pumpu se takođe može koristiti, ali mora biti etaloniran sa držačem filtera i postavljenim filterom. Ukoliko se radi o ugrađenom meraču protoka tipa rotametra očitavanje se mora vršiti pri vertikalnom položaju pumpe. Ukoliko ima bilo kakvih curenja između glave uzorkivača i merača protoka, očitavanje će biti netačno.
Brzinu protoka bi trebalo proveriti najmanje pre i posle uzorkovanja. Ukoliko je izmerena razlika u očitavanju veća od 10 %, uzorak bi trebalo odbaciti.
Glavni merač protoka bi trebalo koristiti samo za podešavanje radnog merača protoka, i ni u jednu drugu svrhu. Učestalost etaloniranja glavnog i podešavanje radnog merača protoka će zavisiti od iznosa i vrste upotrebe kojoj su izloženi merači protoka. Uopšteno, etaloniranje bi trebalo vršiti najmanje jednom godišnje za glavni merač protoka i podešavanje jednom mesečno za radni merač protoka, ukoliko nema dokumentovanih dokaza koji bi opravdali češće razloge za etaloniranje i podešavanje.
Sledeće dodatne tačke u vezi sa procedurom podešavanja bi trebalo naglasiti:
- Radni merač protoka bi uobičajeno trebalo da bude podešen u skladu sa glavnim meračem protoka,
- Da bi se svele na minimum greške usled pada pritiska između dva merača, cev koja povezuje merače protoka ne bi trebalo da bude prečnika manjeg od povezujućih portova merača protoka i njena dužina bi trebalo da se održava na minimumu. Sve veze bi trebalo da budu hermetičke,
- Nikakva ograničenja ili ventili ne bi trebalo da budu uklopljeni između dva merača protoka,
- Kada su odabrani merači protoka promenljive oblasti merenja i za glavni i za radni merač protoka, dužina skale glavnog merača protoka bi trebalo da bude jednaka ili veća od dužine skale radnog merača protoka,
- Etaloniranje bi trebalo da pokriva očekivani opseg brzina protoka za svaki korišćeni merač protoka,
Radni merači protoka se koriste u uslovima sredine koji u velikoj meri variraju. Sva merenja uzoraka vazduha su uzeta u obzir sa zapreminskom brzinom protoka (na primer, stepen protoka izmeren i izražen pri preovlađujućoj temperaturi i pritisku) a ne brzini protoka mase (na primer, brzina protoka korigovana na standardnoj temperaturi i pritisku). Podešavanje ili korekcija brzine protoka je stoga od suštinske važnosti ukoliko pumpa radi pod uslovima koji su znatno drugačiji od uslova podešavanja (na primer, razlike u visini). Ukoliko je moguće, podešavanje bi trebalo sprovesti na mestu uzorkovanja. Ukoliko ovo nije moguće, korekcija može biti potrebna ukoliko su na pumpu uticale promene temperature i pritiska. Realna brzina protoka se izračunava putem jednačine:

Pri čemu je
Qa = realna brzina protoka
Qc = podešena brzina protoka (vrednost rotametra)
Pc = pritisak vazduha na mestu podešavanja
Pa = pritisak vazduha na mestu uzorkovanja
Ta = temperatura vazduha na mestu uzorkovanja
Ts = temperatura vazduha na mestu podešavanja
Brzina protoka bi trebalo da bude korigovana ukoliko su razlike u temperaturi ili pritisku sredine između mesta podešavanja i uzorkovanja veće od 5 %.
Na početku perioda uzorkovanja, zaštitna kapa se mora otkloniti sa držača filtera, pumpa se mora pokrenuti i zabeležiti vreme. Brzinu protoka bi trebalo periodično proveravati (na primer, na svakih sat vremena) tokom uzorkovanja, koristeći etaloniran merač protoka, koji je ponovo podešen na odabranu brzinu protoka. Iskustvo bi moglo ukazati da je ovo nepotrebno kod nekih tipova pumpi, ali je ipak preporučljivo potvrditi da oprema funkcioniše zadovoljavajuće. Na kraju perioda uzorkovanja trebalo bi zabeležiti vreme, proveriti brzinu protoka, isključiti pumpu i zameniti zaštitnu kapu na držaču filtera.
3.1.7. Vremensko trajanje uzorkovanja
Vremensko trajanje uzorkovanja za svaki uzorak bi trebalo da uzme u obzir razmatranje punjenja filtera detaljno objašnjena u odeljku 3.1.5.
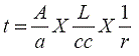
Sledeća formula se može koristiti za određivanje vremenskog trajanja uzorkovanja za svaki uzorak:
pri čemu je
t = trajanje uzorkovanja (min)
A = efektivna površina filtera (mm2)
a = površina merne skale okulara (mm2)
L = potrebno punjenje filtera (vlakana/površina merne skale okulara)
cc = prosečna koncentracija vlakana (vlakana·ml-1) koja se očekuje tokom trajanja uzorkovanja
r = brzina protoka (ml·min-1)
Kada je informacija o prethodnim merenjima dostupna, trebalo bi je koristiti u proceni trajanja uzorkovanja, inače granična vrednost je korisna polazna tačka. Kada je granica izloženosti u nacionalnom zakonodavstvu navedena za kratak vremenski period, taj period se može koristiti kao trajanje pojedinačnog uzorkovanja. Dobijanje optimalnih punjenja vlaknima zahteva uzimanje u obzir interakcije između vremena uzorkovanja, zapremine, brzine protoka i moguće koncentracije vlakana. Vreme uzorkovanja bi trebalo da se meri precizno (do u okviru ± 2.5 %) koristeći po mogućstvu časovnike čija se tačnost redovno upoređuje sa nacionalnim etalonom.
3.1.8. Slepa proba
Maksimalan prihvatljivi broj vlakana za prazne filtere je 5 vlakana na 100 oblasti merne skale okulara.
Prazni filteri se koriste da bi se proverila kontaminacija filtera po nabavljanju i tokom rukovanja, čuvanja i transporta na svim nivoima (na terenu i u laboratoriji).
Postoje tri vrste slepe probe:
(1) one koje su izvučene iz svake kutije od 25 filtera u laboratoriji i namontirane i prebrojane pre uzorkovanja da bi se proverilo da li je ta serija filtera zadovoljavajuća (slepe probe "medija koji se koristi za uzorkovanje filtera"),
(2) one koje su odnete u zonu uzorkovanja i podvrgnute istom tretmanu kao i normalni uzorci ali bez skidanja kapice sa držača filtera, bez provlačenja vazduha kroz njih i bez kačenja na zaposlenog. One se onda montiraju i broje ("terenske" slepe probe),
(3) one koje su izvučene iz zadovoljavajućih serija filtera (pogledajte pod (1)) i namontirane i prebrojane da bi se proverila laboratorijska kontaminacija ("laboratorijske" slepe probe).
Za uzorkovanje slepe probe medija koji se koristi za uzorkovanje, uobičajena procedura je da se odaberu četiri prazna filtera iz svake serije od 100 (tj. po jedan iz svake male kutije od 25). Proporcija terenskih slepih proba bi trebalo obično da bude oko 2 % od ukupnog broja uzoraka, ukoliko ne postoje razlozi da se veruje da je potrebno više terenskih slepih proba. Laboratorijska slepa proba se može proceniti zajedno sa svakom serijom rutinskih uzoraka ili posle ako je kontaminacija usled laboratorijskih izvora očekivana.
Srednja gustina vlakana za prazne filtere koji su uključeni u poređenje varira u opsegu od 0,3 vlakana·mm-2 do 6,7 vlakana·mm-2. Poslednja vrednost odgovara vrednosti od oko 5 vlakana na 100 oblasti okulara, maksimalnom prihvatljivom broju za prazne filtere u ovom metodu.
Kada god je moguće, identitet praznih filtera bi trebalo da bude nepoznat mikroskopisti dok se ne završi proces brojanja. Ukoliko se dobiju povišeni brojevi, prvo bi trebalo ispitati potencijalne interne razloge (na primer, grešku mikroskopiste, kontaminaciju pokrivke). Ukoliko se zaključi da je problem u filteru, cela serija od 100 komada bi trebalo da se odbaci. U slučaju kontaminacije, merenja bi trebalo smatrati samo grubom procenom koncentracije vlakana u vazduhu.
Broj vlakana na terenskim slepim probama bi uobičajeno trebalo da se oduzme od broja vlakana uzorka, ali ako je broj vlakana u terenskim slepim probama visok (tj. iznad maksimalno prihvatljive granice) trebalo bi ispitati razloge.
3.2.1. Priprema uzorka
Trebalo bi koristiti aceton-triacetin metod za čišćenje i montiranje filtera za vlakna sa refraktivnim indeksima većim od 1.51. Za neorganska vlakna sa nižim refraktivnim indeksima, trebalo bi koristiti metodu aceton/nagrizanje/voda.
Ceo filter ili njegov deo, se može montirati. Može biti neophodno da se deo filtera ostavi nemontiran, da bi se ispratilo da li evaluacija namontiranog dela ukazuje da je potrebna dodatna analiza (na primer, identifikacija vlakna). Ako je potrebno uraditi podpodelu filtera, sečenje bi trebalo obaviti skalpelom "kotrljanjem" sečiva od napred ka pozadi duž filtera. Ne treba koristiti makaze. Filter bi trebalo seći duž prečnika na klinaste segmente koji su veličine bar jedne četvrtine površine filtera. Za neka organska vlakna, sečenje filtera može rezultovati značajnim gubitkom vlakana.
Sistematske varijacije u nivoima brojanja od najviše 20 do 30 % prate različite metode montiranja filtera. Za dato vlakno, upotreba istovetne procedure eliminiše takve razlike. Metod čišćenja filtera zasnovan na upotrebi acetonskih para je u širokoj međunarodnoj upotrebi, ali se mora pažljivo primenjivati. Bilo kakvo ozbiljno krivljenje filtera prouzrokovaće nevalidni uzorak. Takođe, za neka organska vlakna, ovaj metod bi trebalo potvrditi adekvatnim kontrolama, jer se vlakna u nekoj meri mogu rastvoriti u acetonu.
Princip ovog metoda čišćenja filtera se sastoji u tome da je filter izložen parama acetona, koje kondenzuju na filteru, skupljajući njegove pore i čineći ga providnim. Filter se potom pričvršćuje za staklenu stranu gde izgleda kao providan, a idealno, kao jednoobrazni plastični film sa svim vlaknima na gornjoj površini. Tečnost se mora dodati da bi se obezbedio optimalni kontrast. Ukoliko indeks refrakcije (RI) vlakana prelazi 1,51, triacetin (glicerol triacetat) je zadovoljavajući, za neorganska vlakna sa RI ≤ 1,51, površina filtera mora biti nagrižena da bi vlakna bila izložena, a kao kontrastna tečnost se koristi voda. Montirani filteri za koje se koristi metod aceton triacetina kvare se veoma sporo, ukoliko do toga uopšte i dođe, metoda aceton/nagrizanje/voda nije ni izbliza tako stabilna. Važno je da se provere reagensi i materijali koji se koriste za montiranje zbog eventualne kontaminacije. Preporučuje se vežba za montiranje filtera da bi se steklo znanje pre korišćenja pravog uzorka. Filtere za uzorkovanje koji su izloženi visokoj vlažnosti bi trebalo pažljivo osušiti pre izlaganja acetonu, da bi se poboljšala njihova jasnoća.
Pažnja: Pare acetona su izuzetno zapaljive i blago toksične. Nikada ga ne treba koristiti u blizini otvorenog plamena.
Pare acetona se mogu proizvesti putem jedne od tri metode: metod "vruće kade" (preporučuje se), metod "bojlera" i metod "refluks kondenzatora". Dva poslednja metoda se moraju koristiti u digestorima.
Prilikom metode vruće kade, koji je prikazan na Slici 3, u kadu sa integralnim grejačem ubrizgano je tek toliko acetona koliko je dovoljno da se očisti jedan filter. Aceton isparava i javlja se kao mlaz pare iz otvora, ispod kog je smešten filter. Komercijalnu verziju vruće kade bi trebalo koristiti u skladu sa uputstvima proizvođača. Filter se postavlja centralno na čisto mikroskopsko predmetno staklo, sa stranom sa uzorkom okrenutom nagore, sa ivicama mreže paralelnim sa ivicama predmetnog stakla. Oko 0,25 ml acetona se ubrizgava u kadu, tako da se para pojavljuje kao tok iznad filtera. Filter se čisti. Mala količina acetona koja se koristi minimizira rizik od požara, iako bi zapaljive izvore trebalo držati podalje, a bocu sa acetonom čuvati zatvorenu kada nije u upotrebi.

Slika 3. Metod toplog kupatila
Pipetted acetone liquid - Pipetirani tečni aceton
Pipette - Pipeta
Acetone vapour - Pare acetona
Heated aluminium block - Zagrejani aluminijumski blok
Polytetrafluoroethylene plug - Politetrafluoretilenski (teflonski) umetak
Slide with filter - Mikroskopsko predmetno staklo sa filterom
Surface thermometer - Površinski termometar
U metodu bojlera, ilustrovanom na Slici 4, aceton isparava u visokom, uskom sudu sa ravnim dnom sa rashladnim namotajem pri vrhu. Poklopac bi trebalo da ima čvrstu žičanu podlogu koja je za njega zakačena, da bi čvrsto držala mikroskopsko predmetno staklo. Namotaj nosi hladnu vodu, koja zadržava većinu para acetona u najnižem delu suda. Linija vode bi trebalo da uključi indikator koji jasno pokazuje kuda voda teče. Potreban je izvor toplote koji ne može zapaliti pare acetona, kao što je recirkulišuća uljana kada. Mogući izvori paljenja, uključujući električne prekidače podložne varničenju, bi trebalo izbegavati. Vodena para proizvedena u toplom kupatilu, alternativni izvor toplote, može dovesti do slabije jasnoće očišćenih filtera. Upotreba digestora je neophodna kod bojlera, a savetuje se primena kolektora koji bi se nalazio oko bojlera i koji bi u slučaju prosipanja acetona zadržao prosuti aceton.
Acetonski bojler stvara oblast para ograničenih namotajem za hlađenje, koji umanjuje rizik od vatre. Količinu korišćenog acetona bi trebalo svesti na minimum, i ne bi ga trebalo ostavljati u aparaturi kada ona nije u upotrebi, takođe, ne bi ga trebalo ostaviti da vri kada čišćenje zapravo nije u toku.
Poklopac bi trebalo držati na mestu kada god je to moguće. Izvore plamena bi trebalo držati dalje od opreme, a pravilo "Zabranjeno pušenje" bi trebalo da bude na snazi.

Slika 4. Metod bojlera
Wire frame to hold slide - Žičani ram (podloga) koji nosi mikroskopsko predmetno staklo
In - Ulaz
Cooling water - Voda za hlađenje
Out - Izlaz
Lid - Poklopac
Cooling coil - Namotaj hladnjaka
Metal vessel - Metalni sud
Acetone - Aceton
Voda za hlađenje na namotaju je uključena, zapremina od oko 30 ml acetona je stavljena u sud, poklopac je zamenjen i sud zagrejan. Kada aceton provri, poklopac se sklanja, mikroskopsko predmetno staklo se stavlja na postolje sa membranskim filterom koji je centralno postavljen na mikroskopsko predmetno staklo, sa stranom sa uzorkom okrenutom nagore, a linijama mreže paralelnim sa ivicama mikroskopskog predmetnog stakla. Poklopac se menja, spuštajući preparat u isparenje u sudu, mikroskopsko predmetno staklo bi trebalo da se očisti za nekoliko sekundi i zatim se sklanja.
Pri metodi refluks kondenzatora, prikazanog na Slici 5, tečnost acetona je sadržana u boci sa tri grlića koja je uklopljena sa refluks kondenzatorom na otvoru jednog od grlića. Jedan od preostala dva otvora grlića se zapušava, a preostali otvor se uklapa sa dvosmernom česmom kojom se oslobađaju pare acetona. Aceton vri dok ujednačena para acetona ne počne da izlazi kroz otvor.
Filter se postavlja sa stranom sa uzorkom nagore na čisto mikroskopsko predmetno staklo, koje se potom drži čistom pincetom direktno u pari, oko 15 mm do 25 mm od otvora, u trajanju od 3 s do 5 s, filter se polako pomera duž otvora da bi se obezbedila jednaka pokrivenost dok filter ne postane providan. Previše isparenja (a naročito kapljica tečnog acetona) će uništiti filter razjedinjavanjem ili lepljenjem istog do te mere da se ne može upotrebiti. Mikroskopsko predmetno staklo ne bi trebalo da bude prethodno zagrejano, obzirom na to da se isparenja acetona moraju kondenzovati na pločici radi dobrog čišćenja filtera.

Slika 5. Metod refluks kondenzatora
Cooling water - Voda za hlađenje
Condesing colum - Kondenzaciona kolona
Slide to be cleared - Mikroskopsko predmetno staklo sa filterom koji se "čisti"
Acetone - Aceton
Water-bath - Vodeno kupatilo
U svakoj metodi, dozvoljeno je da aceton isparava iz filtera nekoliko minuta i tada se koristi mikropipeta da bi se kapljica triacetina (oko 10 µl) stavila na filter ili pokrivno staklo. To je dovoljno da se prekrije ceo filter, kada je pokrivno staklo na mestu, bez suvišnog prelivanja oko ivica. Pokrivno staklo se pažljivo spušta na filter pod uglom, tako da je sav vazduh izbačen, ali ga ne treba pritiskati na filter. Filter postaje manje granularnog izgleda u kratkom roku i brojanje može početi čim je preparat čist. U nekim slučajevima, ako je čišćenje sporo, može biti potrebno da se preparat ostavi 24 h ili da se zagreva 15 min na oko 50 ºC pre brojanja. Fiksirani uzorci će obično ostati godinu dana ili duže bez primetnih oštećenja, iako se neka mala kretanja vlakana mogu dogoditi. Preporučljivo je čuvati fiksirane preparate u ravnom položaju. Kvaliteti dugoročnog čuvanja se mogu poboljšati farbanjem oko ivica pokrivke sa agensima za mikroskopsku fiksaciju.
Ukoliko je RI vlakna ≤ 1,51 (što je i tačno za većinu neorganskih vlakana), trebalo bi koristiti sledeće metode. Procedura čišćenja acetonom skuplja filter do oko 15 % njegove prvobitne debljine, formirajući jasan plastični film koji ima minimalnu deformaciju i ne kvari se. Vlakna se utisnu u površinu, ali mogu biti nevidljiva pod faznokontrastnim osvetljenjem ukoliko je indeks refrakcije vlakna blizak indeksu refrakcije filtera. Vlakna stoga moraju biti izložena, nagrizanjem površine filtera i njihovim potapanjem u tečnost sa izrazito različitim RI.
Da bi se obavilo nagrizanje, mikroskopsko predmetno staklo i filter se stavljaju na plazma čistač da bi se otklonila površina filtera. Ovim su vlakna izložena, ali još uvek zakačena za filter. Primena kiseonika sa brzinom protoka od 8 cm3·min-1 tokom oko 7 min uz primenu direktne i reflektovane radiofrekventne energije snage od 100 W i 2 W se preporučuje od Le Guen-a i saradnika (1980). Informacija je dostupna i na drugim mestima o podešavanju drugih vrsta plazma čistača (Burdett, 1988).
Kap ili dve destilovane vode se stavlja na nagriženi filter, a pokrivno staklo se stavlja na vrh, opet bi trebalo voditi računa da se ne zarobe mehurići vazduha. Količina vode bi trebalo da bude dovoljna da popuni prostor između filtera i pokrivnog stakla bez suvišnog odlivanja. Voda ima RI 1,33 i pruža dobar kontrast, čak i sa vlaknima niskog RI. Neophodno je pripremiti slepe probe filtera da bi se utvrdilo da u vodi nema vlaknastih ili bakterijskih kontaminacija, u zavisnosti od nalaza, može biti potrebno da se voda filtrira.
Čistoću bi trebalo održavati sve vreme. Nečista priprema preparata će rezultirati u kontaminaciji i pogrešnim rezultatima. Mikroskopska predmetna stakla, pokrivna stakla, skalpel i pinceta bi trebalo da budu očišćeni maramicom za staklo ili industrijskom papirnom maramicom, a trebalo bi proveriti da su bez kontaminacije i položeni na čistu površinu, na primer na papirić maramice za staklo pre montiranja uzoraka.
3.2.2. Optički zahtevi
Mikroskop
Mikroskop bi trebalo postaviti tako da su brazde u bloku 5 HSE/NPL1 Oznaka II test preparata vidljive, one u bloku 6 mogu biti delimično vidljive, ali one u bloku 7 ne bi trebalo da budu vidljive.
_______
1Direktorat za bezbednost i zdravlje na radu, Laboratorija za fiziku, Ujedinjeno Kraljevstvo
Ostale karakteristike zadovoljavajućih mikroskopa su:
- Köhler-ovo svetlo ili Köhler-ov tip izvora svetlosti, da bi se obezbedilo ravnomerno osvetljenje uzorka,
- Sklop podstepena koji sadrži Abbe ili ahromatski faznokontrasni kondenzator u centralnom fokusnom postolju i faznokontrastni prsten sa centralnim podešavanjem nezavisnim od mehanizma centralnog kondenzatora,
- Ugrađeni mehanički stalak, sa držačima preparata i x-y pomeranje,
- Objektiv slabog uvećanja, na primer uvećanja x 10, koji je koristan za lociranje etaloniranog mikroskopskog predmetnog stakla i rešetke test preparata kao i za obavljanje preliminarnih provera jednakosti naslaga prašine na filteru,
- Pozitivni faznokontrastni objektiv velikog uvećanja, sa uobičajenim uvećanjem x 40, objektiv koji se koristi za brojanje. Numerička apertura objektiva, koji određuje rezoluciju mikroskopa, bi trebalo da bude između 0,65 i 0,75, a poželjno između 0,65 i 0,70. Apsorpcija faznog prstena bi trebalo da bude između 65% i 85%, a poželjno je između 65% i 75%,
- Binokularna sočiva, poželjan je tip širokog polja, koji proizvodi ukupno uvećanje od 400 do 600 puta, ali poželjno je 500 puta (koje odgovara objektivu sa uvećanjem od 40 puta i okularu od 12,5 puta). Barem jedno od sočiva mora biti fokusirajućeg tipa sa mogućnošću umetanja merne skale okulara,
- Walton-Beckett merna skala okulara, tipa G-22, uklopljen sa mikroskopom korisnika,
- Brojni dodaci, uključujući:
- Centrirajući teleskop ili Bertrand-ovo sočivo, da bi se obezbedio tačan poredak faznih prstenova u kondenzatoru i objektivu,
- Zeleni filter, koji olakšava posmatranje s obzirom na to da je optika mikroskopa projektovana za talasnu dužinu zelenog svetla,
- Etalonirano mikroskopsko predmetno staklo (mikrometar),
- HSE/NPL Oznaka II faznokontrastni test preparat,
- Pokrivna stakla debljine kompatibilne sa dizajnom objektiva (na primer, br. 1 ½, uobičajeno 0,16 mm do 0,19 mm debljine) i oko 25 mm prečnika ili širine,
- Mikroskopsko predmentno staklo od oko 76 x 25 mm i debljine 0,8 do 1,0 mm.
Razlike u najmanjim širinama vlakana koje se mogu otkriti pomoću različitih faznokontrasnih mikroskopa, mogu doprineti interlaboratorijskim razlikama pri brojanju, s obzirom na to da se tipične distribucije prečnika vlakna protežu daleko ispod granice detekcije faznokontrasnih mikroskopa. Stoga je od presudne važnosti da se održi jednoobrazni nivo detekcije na granici vidljivosti i zato je kvalitet mikroskopa, uključujući njegovo podešavanje i održavanje, od kritične važnosti.
Zadovoljavajući kvalitet brojanja mogu postići laboratorije koje koriste različite mikroskope sa specifikacijama koje su u skladu sa gore opisanim karakteristikama. Savetuje se da sve komponente mikroskopa budu od istog proizvođača. Mikroskop bi trebalo redovno etalonirati i održavati, obavljanje etaloniranja i održavanja bi trebalo dokumentovati.
Merna skala okulara
Skala G-22 Walton-Beckett je jedina skala koja je posebno osmišljena za brojanje vlakana čije su dimenzije naznačene u ovoj metodi. Ova skala (Slika 6) je kružnog oblika, sa prečnikom od 100 µm u ravni objektiva i podeljen je na kvadrante linijama razmere u 3 µm i 5 µm podelama, tu se oko periferije nalaze prikazani i oblici kritičnih vrednosti dužine, širine i aspektnih odnosa.
Svrha merne skale okulara je da odredi oblast u vidnom polju u okviru koje se vrši prebrojavanje vlakana i da pruži referentne slike i razmere poznatih dimenzija koje se koriste za odmeravanje veličine vlakana. Različiti oblici i veličine merne skale okulara mogu uticati na rezultate brojanja. Skala mora biti napravljena za mikroskop sa kojim se koristi, uzimajući u obzir pravo uvećanje.

Slika 6. Okular Walton-Backett, vrsta G-22
Kada se merna skala okulara naručuje, neophodno je da se naznači vrsta mikroskopa, spoljni prečnik staklenog diska skale okulara i takođe, udaljenost izražena u milimetrima za mernu skalu koja korespondira sa 100 µm u ravni objektiva mikroskopa. Ta udaljenost može biti izmerena i bilo kojom drugom mernom skalom okulara na sledeći način:
- mikroskop bi trebao da bude postavljen kao i kada se koristi za brojanje raspoloživom mernom skalom,
- etalonirano mikroskopsko predmetno staklo (mikrometar) bi trebalo koristiti za merenje očigledne dužine L, izražene u µm, merne skale,
- mrežu bi tada trebalo ukloniti sa okulara i meriti pravu dužinu Y, izraženu u mm, skale na mreži, pravu dužinu X, izraženu u mm, koja korespondira sa očiglednom dužinom od 100 µm bi trebalo izračunati na sledeći način:
X= 100 Y/L
Vrednost X je dužina na skali koja korespondira vrednosti 100 µm na ravni objektiva koji bi trebalo da bude dobijen prilikom naručivanja mikroskopa. Y bi trebalo meriti u okviru ± 2 %. Ukoliko mikroskop ima pomično merilo sa vijkom za merenje unutrašnjeg prečnika i gustine objekta na svom postolju i ukoliko nijedan bolji metod nije na raspolaganju, Y se može izmeriti postavljanjem raspoložive skale na postolje, posmatranjem iste na malom uvećanju i posmatranjem koliko daleko (u milimetrima) postolje mora biti pomereno da se obuhvati dužina Y na skali.
Nakon prijema, skalu Walton-Backett bi trebalo uneti u mikroskop za koji je naručena. Njen vidljivi prečnik u ravni objektiva bi trebalo proveriti etaloniranim mikroskopskim predmetnim staklom i on bi trebao da iznosi između 98 µm i 102 µm.
Ovaj prečnik bi trebalo proveriti posredstvom mikroskopa koji je postavljen za upotrebu i sa odgovarajućom korektivnom dužinom tubusa ukoliko se može podesiti. Kod nekih mikroskopa podešavanje interokularne udaljenosti menja uvećanje, pa bi taj efekat trebalo proveriti kod korišćenog mikroskopa. Ukoliko je taj efekat očigledan, prečnik skale bi trebalo meriti pri istoj interokularnoj udaljenosti koja je korišćena i tokom računanja. Izmereni prečnik bi trebalo koristiti u računanjima.
Etalonirano mikroskopsko predmentno staklo (mikrometar)
Etalonirano mikroskopsko predmentno staklo (mikrometar) se koristi da bi se izmerio prečnik Walton-Backett merne skale okulara. Kadgod je to moguće, mikrometar bi trebao da bude etaloniran prema nacionalnim ili međunarodnim etalonima.
Bilo bi poželjno da laboratorija raspolaže sa najmanje dva takva mikrometra:
- jedan koji je interni referentni etalon i kojim se može pratiti veza sa nacionalnim ili međunarodnim etalonima. Takav referentni etalon bi trebalo koristiti za interno etaloniranje drugih mikrometara i ni u jednu drugu svrhu. Veza sa nacionalnim etalonom se postiže korišćenjem usluga organizacije koja poseduje nacionalnu akreditaciju za etaloniranje ove vrste ili organizacije koja poseduje nacionalni etalon. Laboratorija za merenje vlakana bi od organizacije za etaloniranje trebala da pribavi dokaz o etaloniranju u obliku zvaničnog sertifikata. Mikrometar kojim se može pratiti veza sa nacionalnim etalonom treba ponovo etalonirati samo ukoliko se učini da je došlo do promene u njegovom stanju ili preciznosti,
- jedan (ili više) koji se koriste za merenje prečnika merne skale okulara. Ovaj radni mikrometar mora biti etaloniran kada je nov i najmanje jedanput godišnje nakon toga (ili češće ako je potrebno), korišćenjem mikrometra kojim se može pratiti veza sa nacionalnim etalonom. To se čini merenjem prečnika merne skale okulara koristeći svaki mikrometar i upoređivanjem rezultata.
Kao što je već navedeno, u zavisnosti od mikroskopa, dužina tubusa i interokularna udaljenost mogu da utiču na uvećanje, njih bi mikroskopista trebao da precizno podesi pre nego što se pristupi merenju merne skale okulara. Prečnik merne skale okulara u ravni objektiva bi trebalo proveravati svakog dana, pre svake sesije brojanja vlakana. Svaki analitičar, posle preciznog prilagođavanja mikroskopa svom vidu, zasebno treba da izmeri prečnik vidokruga. Za ovu svrhu bi bilo poželjno da mikrometar ima skalu dugu 1 mm sa podelom od 2 µm, pošto merna skala okulara treba da bude merena do 100 µm ± 2 µm. Rezultat bi trebao da bude zabeležen, a izmereni prečnik korišćen u računanju gustine ili koncentracija vlakana.
Test preparat
HSE/NPL Oznaka II test preparat (vidi sliku 7) je jedini komercijalno dostupni preparat za testiranje limita detekcije.
Ovaj test preparat proverava ili standardizuje vizuelni limit detekcije faznokontrasnog mikroskopa. Važan faktor koji doprinosi međulaboratorijskim razlikama u rezultatima su razlike u najmanjim širinama vlakana koje mogu biti detektovane. To je naročito slučaj kada mikroskopi nisu dobro podešeni pre početka ispitivanja uzoraka.
Test preparat HSE/NPL Oznaka II se sastoji od konvencionalnog mikroskopskog predmetnog stakla sa paralelnim naborima smole čija se širina smanjuje (nije prikazano na slici 7) u sedam blokova, na kojima se nalazi pokrivno staklo sa drugim slojem smole malo niže vrednosti RI. Prvi sloj smole je replika glavnog preparata, drugi sloj proizvodi promenu optičke faze koja oslikava onu koja se vidi kada se postave filteri sa vlaknima. Mikroskop (i posmatrač) se mogu oceniti na osnovu najfinijih nabora smole koje mogu videti. Da bi kombinacija mikroskop/posmatrač bila zadovoljavajuća, nabori u bloku 5 bi trebali da budu vidljivi, oni u bloku 6 mogu biti delimično vidljivi, ali oni u bloku 7 ne bi trebali da budu vidljivi.
Mikroskop bi trebao da bude podešen u skladu sa instrukcijama proizvođača i njegovu ispravnost bi trebalo proveravati test preparatom na početku svake sesije brojanja vlakana. Pre pristupanja prebrojavanju vlakana u uzorku, može biti potrebno fino podešavanje fokusa kao i fokusa kondenzatora.

Slika 7. Shematski prikaz HSE/NPL Oznaka II objektnog stakla mikroskopa
3.2.3 Brojanje i određivanje veličine vlakana
Skeniranje malim uvećanjem
Celokupna oblast filtera bi trebala da bude skenirana objektivom sa malim uvećanjem (na primer x 10) radi provere jednoobraznosti nakupljanja vlakana.
Predmetno staklo mikroskopa sa postavljenim filterom je postavljeno na stalak mikroskopa, a vlakna na najvišoj površini filtera su postavljena u fokus. Vlakna bi trebala da budu ravnomerno nataložena po površini filtera (izuzev na ivici koja je obično pokrivena obodom držača filtera, na njemu ne bi trebale da se nalaze čestice prašine i vlakana). Ukoliko oblasti posmatrane u okviru skeniranja malim uvećanjem pokažu uočljive razlike u distribuciji ili veliku agregaciju vlakana ili prašine, filter bi trebalo odbaciti.
Odabir oblasti brojanja
Oblasti brojanja bi trebale da budu nasumično odabrane u okviru izložene oblasti filtera koji je predmet analize. Oblasti koje leže u okviru 4 mm od ivice filtera (ili 2 mm od linije sečenja) bi trebala da budu odbačene. Oblasti bi takođe trebale da budu odbačene i ukoliko a) rešetka filtera ometa, u celosti ili delimično, vidik, b) je više od 1/8 merne oblasti pokriveno agregiranim vlaknima i/ili česticama, diskretnim delićima ili mehurićima ili v) lice koje koristi mikroskop oceni da su vlakna toliko nejasna da ne mogu biti pouzdano prebrojana.
Procedura nasumičnog odabira je mnogo reprezentativnija za ceo filter nego druge procedure, na primer za odabir polja duž prečnika filtera. Dobra ideja je da se filter (teoretski) podeli u jednake oblasti na primer kvadrante u okviru kojih se ispituje približno podjednak broj nasumičnih oblasti. Fini fokus mora biti prilagođen za svako novo polje i može biti potrebno da se vrši njegova zamena od vlakna do vlakna. Mikroskopista bi trebalo da kontinualno vrši fokus na svako vlakno koje se broji. Brojanje bi trebalo da se odvija ka centru filtera, gde su gubici zbog elektrostatičkih efekata zanemarljivi, izbegavajući spoljnu regiju periferije filtera od 4 mm. Ukoliko se dogodi neki od uslova navedenih pod a), b) ili v), mikroskopista bi trebalo da ignoriše to polje i da nastavi sa sledećim. Ukoliko broj odbačenih polja prevazilazi 10 % od broja prihvaćenih polja ili ukoliko mikroskopista oceni da je uzorak nebrojiv ili neprecizan, to bi trebalo prijaviti.
Uslovi rada u laboratoriji
Potrebno je da se obezbedi da način rada i radna sredina u laboratoriji ne vrše neželjen uticaj na tačnost brojanja.
Uslovi rada u laboratoriji mogu uticati na rezultate brojanja različitih mikroskopista. Različiti načini beleženja podataka mogu takođe izazvati neslaganje između mikroskopista zbog razlika u zamoru oka. Beleženje podataka polje-po-polje uključuje refokusiranje oka nakon brojanja svakog polja, dok kontinuirano registrovanje električnim ili mehaničkim brojačem drastično smanjuje potrebu za refokusiranjem i na taj način smanjuje zamor ispitivača. Kada je moguće, radna sredina bi trebala da bude bez vibracija i takva da ispitivač može da sedi udobno i opušteno. Da bi se minimizirao zamor oka, bilo bi poželjno, da svaki periferni vidik izvan mikroskopa bude nezaklonjen i uz nepromenljivo prigušeno svetlo. Alternativno, može se koristiti matirana pozadina. Nikada ne treba vršiti brojanje uz jaku dnevnu svetlost, pošto ona može umanjiti kontrast između vlakana i pozadine.
Broj vlakana koji su predmet prebrojavanja od strane analitičara u određenom vremenskom periodu bi trebao da bude ograničen pošto zamor oka može imati suprotan uticaj na kvalitet brojanja. Preporučuje se da maksimalni dnevni broj radnih sati iznosi 6 h i da lice koje koristi mikroskop koristi pauze u trajanju od 10 min do 20 min nakon 1 h rada, imajući u vidu da dužina trajanja pauze zavisi od osobe koja radi sa mikroskopom, uzoraka i uslova rada u laboratoriji. Za vreme tih perioda pauze trebalo bi upražnjavati vežbe za oči, gornji deo leđa i vrat. Broj uzoraka koji su predmet dnevne evaluacije se razlikuje od mikroskopiste do mikroskopiste, u tipičnim uslovima potrebno je 10 min do 25 min za evaluaciju uzorka.
Pravila brojanja
Trebalo bi primenjivati dole navedena pravila brojanja.
Vlakna iz vazduha prikupljena na membranskim filterima se pojavljuju u širokoj lepezi oblika, od pojedinačnih vlakana do složenih konfiguracija i aglomerata. U takvim slučajevima, mikroskopista može imati teškoće u definisanju i prebrojavanju vlakana. Pored toga, različita pravila brojanja mogu dovesti do razlika u rezultatima. S tim u vezi, od suštinske važnosti je da se pri brojanju vlakana (objektivom x 40) koristi jedan jedinstveni skup pravila. Dole navedena pravila su u stvari adaptacija pravila usaglašenih od Tehničkog Komiteta (WHO, 1985) za veštačka mineralna vlakna, primeri primene ovih pravila su prikazani na slikama 8-11.
- Brojivo vlakno je čestica duža od 5 µm, čija je širina manja od 3 µm, a odnos dužine i širine veći od 3:1. Brojivo vlakno čija se oba kraja nalaze u polju okulara se broji kao 1 vlakno, brojivo vlakno čiji se samo jedan kraj nalazi u polju okulara se računa kao polovina vlakna. Vlakno koje u potpunosti prelazi okular, tako da se nijedan kraj ne nalazi u polju okulara, ne računa se.

Slika 8. Primeri primene pravila za brojanje vlakana: pojedinačna vlakna
- Ukoliko širina vlakna varira u odnosu na svoju dužinu, reprezentativna prosečna širina bi trebala da bude uzeta u obzir. Izbočine u vlaknima, kao one koje ponekad stvara smola, bi trebale da budu ignorisane. U slučaju dileme, kao referentnu vrednost za širinu treba uzeti < 3 µm. Vlakna koja su prilepljena (ili naizgled prilepljena) nefibroznim vlaknima bi trebala da budu procenjivana kao da čestica ne postoji, u svakom slučaju, samo dužina vidljivog dela vlakna se uzima u obzir, a ne deo koji nije jasan (izuzev kada se vlakno koje prolazi kroz česticu može videti kao neprekidano).

Slika 9. Primeri primene pravila za brojanje vlakana, pravilo koje se odnosi na slučajeve kada se krajevi nalaze u polju posmatranja i primeri razdvojenih vlakana.
- Razdvojeno vlakno se definiše kao aglomerat vlakana koji na jednoj ili više tačaka svoje dužine izgledaju kao čvrste i nepodeljene celine ali se na drugim mestima stiče utisak da su podeljeni na snopove.

Slika 10. Primeri primene pravila za brojanje vlakana: grupisana vlakna
- Razdvojena vlakna bi trebalo tretirati kao pojedinačna vlakna. Širina razdvojenog vlakna se meri duž nepodeljenog dela, a ne u razdvojenom delu. Kada se nekoliko vlakana pojavi u nekoj grupi, vlakna bi trebala da budu procenjivana kao odvojena vlakna ukoliko se mogu lako razlikovati. Kada formiraju grupu u kojoj se ne mogu lako razlikovati, tu grupu bi trebalo ignorisati ukoliko ne zadovoljava dimenzije za brojivo vlakno i u tom slučaju se računa kao 1 vlakno.
- Pravila o odabiru polja i odbacivanju opisana u odeljku 3.2.3. bi trebala da se primenjuju.
- Najmanje se mora prebrojati 100 vlakana ili ispitati 100 polja okulara. Međutim, vlakna moraju biti prebrojana u najmanje 20 polja okulara, čak i ako ona sadrže više od 100 vlakana.

Slika 11. Primeri primene pravila brojanja vlakana: vlakna u kontaktu sa česticama
3.2.4. Izračunavanje koncentracije vlakana
(a) Za svaki pojedinačan uzorak, koncentracija vlakana u vazduhu se dobija na sledeći način:
![]()
gde je c = koncentracija (vlakana·ml-1)
A = efektivna površina filtera (mm2)
N = ukupan broj prebrojanih vlakana
a = površina merne skale okulara (mm²)
n = broj ispitanih polja okulara
r = protok vazduha kroz filter (ml·min-1)
t = vremensko trajanje uzorkovanja za pojedinačni uzorak (min)
Alternativno, može se koristiti i sledeća formula:
![]()
gde je c = koncentracija (vlakana·ml-1)
D = prečnik izloženog polja filtera (mm)
N = ukupan broj prebrojanih vlakana
d = prečnik merne skale okulara (µm)
n = broj ispitanih polja okulara
v = zapremina uzorkovanog vazduha (l)
(b) Kada je uzeto u obzir nekoliko uzoraka različitih trajanja, prosečne koncentracije merene u odnosu na vreme (Ctwa) su date kroz formulu:

gde je Ctwa = prosečna koncentracija merena u odnosu na vreme (vlakana·ml-1)
ci = koncentracija pojedinačnog uzorka (vlakana·ml-1)
ti = trajanje uzorkovanja pojedinačnog uzorka (min)
Σti = suma trajanja uzorkovanja (min)
ΣCi · ti = suma proizvoda ci i ti
n = ukupan broj uzoraka
Ukoliko su trajanja uzoraka jednaka, prosečna koncentracija (ca) može biti dobijena iz pojednostavljene jednačine:

gde je ca = prosečna koncentracija (vlakana·ml-1)
ci = vrednost koncentracije pojedinačnog uzorka (vlakana·ml-1)
Σci = suma koncentracija uzoraka (vlakana·ml-1)
n = ukupan broj uzoraka
(c) Prosečna koncentracija za realan period rada (smena) može biti dobijena na različite načine. Ukoliko vremensko trajanje uzorkovanja korespondira sa trajanjem smene, koncentracije vlakana izračunata iz gore navedenog (a) daje koncentraciju koja predstavlja prosečnu smensku koncentraciju (csa). Ukoliko je vremensko trajanje uzorkovanja kraće od trajanja smene, a uzorak se smatra reprezentativnim za čitavu smenu, prosečna smenska koncentracija jednaka je koncentraciji tog uzorka. Ukoliko je uzeto nekoliko uzastopnih, konsekutivnih, uzoraka, a pri tome je ukupno vremensko trajanje uzorkovanja jednako trajanju smene, prosečna koncentracija uzoraka po smeni se računa u skladu sa jednom od jednačina (b) navedenih gore, u zavisnosti od toga da li su vremenska trajanja uzorkovanja jednaka ili ne. Ukoliko je nekoliko uzoraka uzeto nasumice tokom trajanja smene i ako je ukupno vremensko trajanje uzorkovanja manje od trajanja smene, prosečna smenska koncentracija može biti izračunata kao i u slučaju navedenom gore (b), pod uslovom da se može pretpostaviti da su uzorci reprezentativni za celu smenu.
(d) Da bi se uporedila prosečna smenska koncentracija sa graničnom vrednosti ekspozicije koje su date za utvrđeni referentni period (obično 8 h), ako je smena duža ili kraća u odnosu na utvrđen referentni period, prosečna smenska koncentracija mora biti pomnožena određenim faktorom (f). Ovo prilagođavanje daje hipotetičku koncentraciju kojoj bi zaposleni, čije je trajanje smene jednako utvrđenom referentnom periodu, trebao biti izložen da bi se dobio ekvivalentan nivo izlaganja. Ova hipotetička koncentracija se naziva ekvivalentna koncentracija (Ccq) i računa se na sledeći način:
ccq = f · csa
gde je
f = (trajanje realnog perioda rada (smena) izražene u satima)/
(trajanje utvrđenog referntnog perioda izraženo u satima)
Primer 1
Utvrđen referentni period = 8 h
Realni period rada (smena) = 12 h
Prosečna smenska koncentracija (csa) = 1,2 vlakana·ml-1
f = 12/8 = 1,5
ccq= 1,5 · 1,2 = 1,8 vlakana·ml-1
Primer 2
Utvrđen referentni period = 8 h
Realni period rada (smena) = 5 h
Prosečna smenska koncentracija (csa) = 1,2 vlakana·ml-1
f = 5/8 = 0,625
ccq= 0,625 · 1,2 = 0,75 vlakana·ml-1
4. Tačnost, preciznost i donja granica merenja
Pošto nije moguće saznati "pravu" koncentraciju vlakana u datoj količini prašine, apsolutna tačnost opisane metode ne može biti procenjena. Međutim, poznati su različiti faktori koji utiču na ispitivanje uzorka.
Mikroskopisti u načelu beleže manje vrednosti za guste i veće vrednosti za oskudne uzorke prašine. Kada se vlakna uzorkuju u atmosferi relativno siromašnoj interferirajućim česticama, raspon gustine uzorka za optimalnu tačnost je između 100 vlakana·mm-2 i 1000 vlakana·mm-2, za gustine iznad ove rezultati mogu biti potcenjeni dok za niže gustine rezultati mogu biti precenjeni. Ipak, ne treba vršiti nikakve korekcije. Rezultati izvan optimalnog raspona bi trebali da budu prijavljeni kao rezultati manje tačnosti.
U sredinama u kojima postoji više od jedne vrste vlakna, prisustvo različitih vrsta vlakana ili čestica može ometati tačnost rezultata. Slučajna superimpozicija nefibroznih čestica može prouzrokovati da se vlakno ne obračuna u celini već delimično, proporcionalno srednjoj veličini i koncentraciji interferirajućih čestica. U praksi, efekti slučajne superimpozicije na rezultate brojanja su mali u poređenju sa interindividualnim razlikama mikroskopista i nisu značajni za pravila opisana u ovom metodu.
Procedura brojanja koja se koristi može dovesti do razlika u rezultatima do kojih su došli različiti mikroskopisti u okviru iste laboratorije, a čak i češće između laboratorija. Takve razlike bi trebale da budu svedene na minimum odgovarajućim osposobljavanjem prema preporučenoj proceduri, internom kontrolom kvaliteta i proverom tačnosti (pogledati odeljak 5).
Faktori koji doprinose nedovoljnoj preciznosti su: analiza relativno malog dela površine filtera i varijabilna distribucija vlakana na površini (statistička varijacija), postojanja različitih specifikacija metoda (sistematska varijacija) i mogućnosti nastanka razlika u brojanju od strane različitih mikroskopista (subjektivna varijacija). Sistematska i subjektivna varijacija mogu biti redukovane usaglašavanjem metoda koji se koriste, osposobljavanjem zaposlenih, obezbeđivanjem uslova da laboratorije učestvuju u proveri tačnosti i sprovođenjem testova interne kontrole kvaliteta (pogledati odeljak 5). Čak i kada je sve primenjeno, statističke varijacije su neizbežni izvor grešaka. U ovom metodu, statistička varijacija zavisi od ukupnog broja vlakana koja se broje i jednoobraznosti distribucije vlakana na filteru.
Distribucija vlakana na filteru može se aproksimirati Poisson-ovim modelom distribucije. Teoretski, proces računanja nasumice distribuiranih (Poisson) vlakana daje koeficijent varijacije (CV) jednak (√ N)-1·100, gde je N broj prebrojanih vlakana. Koeficijent varijacije CV je otuda 10% za 100 vlakana i 32 % za 10 vlakana. U Tabeli 1. je predstavljen teoretski CV za različite brojeve prebrojanih vlakana, uzimajući u obzir samo statističke varijacije.
Međutim, u praksi je realni CV veći zbog dodatne komponente varijacije koja je povezana sa subjektivnim razlikama u brojanju vlakana mikroskopiste pojedinca kao i između različitih mikroskopista. Tabela 2 daje tipične CV u okviru laboratorije gde je u primeni zadovoljavajuća shema kontrole kvaliteta i gde se broji N vlakana.
Iz Tabele 2. se može videti da brojanje više od 100 vlakana daje samo malo poboljšanje u pogledu preciznosti. Takođe, ove metode gube preciznost sa smanjenjem broja prebrojanih vlakana, gubitak preciznosti se ubrzava uporedo sa smanjenjem broja prebrojanih vlakana ispod 10.
Tabela 1. Koeficijenti varijacije za distribuciju vlakana prema metodi Poisson
N |
CV (%) na osnovu Poisson-ove distribucije |
5 |
45 |
7 |
38 |
10 |
32 |
20 |
22 |
50 |
14 |
80 |
11 |
100 |
10 |
200 |
07 |
Tabela 2. Tipični koeficijenti varijacije u okviru laboratorije
N |
Tipični CV (%) |
90 % granice poverenja srednjih vrednosti kod ponovljenih određivanja |
|
Donja |
Gornja |
||
5 |
49 |
2,0 |
11,0 |
7 |
43 |
3,2 |
14,0 |
10 |
37 |
5,1 |
18,5 |
20 |
30 |
11,7 |
33,2 |
50 |
25 |
33 |
76 |
80 |
23 |
53 |
118 |
100 |
22 |
68 |
149 |
200 |
21 |
139 |
291 |
Međulaboratorijski CV mogu biti dva puta veći od unutarlaboratorijskih CV ili čak veći ukoliko je kontrola kvaliteta oskudna. Prosečni međulaboratorijski CV za više od 100 vlakana dostiže do 45 % za laboratorije koje daju zadovoljavajuće rezultate u proveri tačnosti.
Pravila brojanja naznačena u ovom metodu su formulisana tako da minimalizuju subjektivne odluke i optimalizuju preciznost i s tim u vezi, od njih se očekuje da imaju koristan uticaj na unutarlaboratorijsku kao i međulaboratorijsku preciznost.
Greške postaju velike kada je broj vlakana koja su predmet brojanja mali. Iz Tabele 2. se može videti da pravi srednji iznos za 10 vlakana u odnosu na 100 polja okulara daje iznos od 5 vlakana ili manje u oko 5 % slučajeva. To je najveći prihvatljiv iznos za prazan filter, stoga je razumljivo da 10 vlakana po 100 polja okulara bude smatrano kao najniži nivo merenja vlakana iznad "pozadinske" kontaminacije. Ovaj nivo korespondira gustini vlakana filtera od oko 13 vlakana·mm-2, takva mera je približna i ima 90 % granice poverenja od oko 6,5 i 23,5 vlakana·mm-2. Najniža merljiva koncentracija u vazduhu zavisi od zapremine uzorka i efektivne površine filtera. Na primer, ovaj nivo (13 vlakana·mm-2) korespondira sa 0.02 vlakana·mm-1 za uzorak od 240 l i efektivnu površinu filtera od 380 mm2.
Ova analiza uzima u obzir samo unutarlaboratorijsku preciznost. Odstupanje i međulaboratorijske razlike mogu dalje umanjiti pouzdanost rezultata za niske gustine (i niske koncentracije) i dalje podići donju granicu merenja.
Rezultati dobijeni metodom membranskih filtera su pouzdani samo ukoliko je korišćen sveobuhvatan program osiguranja kvaliteta. Potrebno je slediti odredbe publikacije "Opšti zahtevi za tehničku kompetentnost laboratorija koje vrše analize" (ISO, 1990). Sheme nacionalne akreditacije zasnovane na zahtevima ove publikacije su ustanovljene u mnogim zemljama, a u nekima su naznačeni dodatni zahtevi za merenje vlakana (na primer NAMAS, 1989).
Od suštinske važnosti je da oni koji učestvuju u uzimanju uzoraka ili evaluaciji vlakana u vazduhu ne budu samo korisnici validiranog metoda već i da prođu odgovarajuće osposobljavanje i redovne evaluacije. Takvo osposobljavanje i evaluacija mogu zahtevati prisustvo na propisanim kursevima, bilo u okviru sopstvene organizacije bilo na nacionalnom nivou. Ovlašćenim licima može biti naloženo da imaju ili da rade pod nadzorom lica koje ima relevantnu formalnu kvalifikaciju, ti zaposleni bi trebalo da imaju odgovarajuće iskustvo.
Esencijalni deo garancije kvaliteta je vršenje provera brojanja, zbog velikih razlika u rezultatima dobijenim u okviru i između laboratorija koje koriste vizuelno brojanje. Laboratorije koje koriste preporučeni metod bi trebale da učestvuju u nacionalnoj i međunarodnoj shemi provere stručnosti i veština kako bi se minimalizovale međulaboratorijske varijacije. Međunarodna shema testiranja stručnosti je trenutno predviđena kao dopuna ovoj metodi. Mikroskopisti bi trebalo, takođe, da učestvuju u unutarlaboratorijskim proverama brojanja. Međulaboratorijska razmena i verifikacija uzoraka može dodatno dopuniti napore interne kontrole kvaliteta.
Dve vrste provere brojanja bi trebale da budu primenjene u laboratoriji: brojanje stalnih, karakterističnih referentnih uzoraka i duplo brojanje rutinskih uzoraka. Laboratorija bi trebala da na odgovarajući način održava skup referentnih uzoraka koji obuhvata širok dijapazon vlakana i materijala iz mnoštva rutinskih izvora uzoraka. Ovi referentni uzorci bi trebali da budu evaluirani periodično (na primer 4 uzorka mesečno) od strane svih mikroskopista a iznosi bi trebali da budu upoređivani sa referentnim iznosima dobijenim na istim uzorcima. Referentni iznos obično proizilazi iz prethodnih brojanja i može, na primer, predstavljati srednju vrednost za najmanje 15 prethodnih vizuelnih brojanja. Rezultate svakog mikroskopiste trebalo bi vrednovati u odnosu na definisane kriterijume za zadovoljavajući učinak (ovi kriterijumi bi trebali da budu strožiji nego oni u shemama provere tačnosti). Pored toga, definisana frakcija rutinskih uzoraka u laboratoriji (na primer 1 u 10) bi trebala da bude ponovno izračunata od strane drugog analitičara kada god je moguće, a razlika između iznosa upoređena sa kriterijumima za zadovoljavajući učinak. Ukoliko rezultati prevaziđu prihvatljivo odstupanje, mogući razlozi bi trebali da budu istraženi i preduzete korektivne akcije. Trebalo bi sistematski čuvati zapise o kontroli kvaliteta.
Reference:
ACGIH (1991) Exposure assessment for epidemiology and hazard control. Cincinnati, OH, American Conference of Governmental Industrial Hygienists.
ACGIH (1995) Air sampling instruments, 8th ed. Cincinnati, OH, American Conference of Governmental Industrial Hygienists.
AIHA (1991) A strategy for occupational exposure assessment. Fairfax, VA, American Industrial Hygiene Association.
BOHS (1993) Sampling strategies for airborne contaminants in the workplace. Lecds, H & H Scientific Consultants (British Occupational Hygiene Society Technical Guide, No. 11).
Burdett GJ (1988) Calibration of low temperature ashers for etching mixed esters of cellulose fibres for TEM analysis of asbestos. London, Health and Safety Executive (unpublished document IR/L/DI/88/08, available on request from Health and Safety Laboratory, Health and Safety Executive, Broad Lane, Sheffield, S. Yorks, England).
CEN (1995) Workplace atmospheres: guidance for the assessment of exposure by inhalation to chemical agents for comparison with limit values and measurement strategy. Brussels, European Committee for Standardization (Publication No. EN689).
Crawford NP (1992) Literature review and proposed specifications for a WHO recommended method (membrane filter method) for determining airborne fibre concentrations in workplace atmospheres. Geneva, World Health Organization (unpublished document, available on request from Occupational Health, World Health Organization, 121 1 Geneva 27, Switzerland).
EEC (1983) Council directive of 19 September 1983 on the protection of workers from the risks related to exposure to asbestos at work. Official journal of the European Communities, L263:25-32.
ILO (1990) Safety in the use of mineral and synthetic fibres. Geneva, International Labour Office (Working document and report of the Meeting of Experts on Safety in the Use of Mineral and Synthetic Fibres, Geneva, 17-25 April 1989).
ISO (1993) Air quality-determination of the number concentration of airborne inorganic fibres by phase contrast optical microscopy-membrane filter method. I S 0 8672:1993. Geneva, International Organization for Standardization.
ISO (1990) General requirements for the technical competence of testing laboratories. Geneva, International Organization for Standardization (IS0 Guide No. 25).
Le Guen JMM, Rooker SJ, Vaughan NP (1980) A new technique for the scanning electron microscopy of particles collected on membrane filters. Environmental science and technology, 14: 1008-1 01 1.
Mark D (1974) Problems associated with the use of membrane filters for dust sampling when compositional analysis is required. Annals of occupational hygiene, 17:35-40.
NAMAS (1989) Asbestos analysis-accreditation for fibre counting and identification by the use of light optical microscopy. Teddington, England, National Measurement Accreditation Service (NAMAS Information Sheet No. 11, 2nd ed.).
NIOSH (1977) Occupational exposure sampling strategy manual. Cincinnati, OH, National Institute for Occupational Safety and Health (NIOSH Publication No. 77-173).
NIOSH (1994) NIOSH manual of analytical methods, 4th ed. Cincinnati, OH, National Institute for Occupational Safety and Health.
WHO (1985) Reference methods for measuring airborne man-made mineral fibres. Copenhagen, World Health Organization Regional Office for Europe (Environmental Health Report No. 4).
Povezane teme
AIA (1988) Reference method for the determination of airborne asbestos fibre concentrations at workplaces by light microscopy (membrane filter method). London, Asbestos International Association (AIA Recommended Technical Method No. 1).
ARC (1971) The measurement of airborne asbestos dust by the membrane filter method. Rochdale, England, Asbestos Research Council (Technical Note No. 1).
ANOHSC (1988) Asbestos: code of practice and guidance notes. Canberra, Australian National Occupational Health and Safety Commission.
Hawkins NC, Norwood SK, Rock JC, eds. (1991) A strategy for occupational exposure assessment. Akron, OH, American Industrial Hygiene Association.
HSE (1988) Man-made mineralfibres: airborne number concentration by phase-contrust light microscopy. London, Health and Safety Executive (Methods for the Determination of Hazardous Substances, No. 59).
HSE (1990) Asbestos fibres in air: light microscope methods for use with control of asbestos at work regulations. London, Health and Safety Executive (Methods for the Determination of Hazardous Substances, No. 39/3).
IARC (1988) Man-made mineral fibres. Lyon, International Agency for Research on Cancer (IARC Monographs on the Evaluation of the Carcinogenic Risk of Chemicals to Humans, Vol. 43).
ILO (1984) Safety in the use of asbestos: ILO code ofpractice. Geneva, International Labour Office.
Leidel NA, Busch KA, Lynch JR (1977) Occupational exposure sampling strategy manual. Cincinnati, OH, National Institute of Occupational Safety and Health (NIOSH Publication No. 77-173).
NAMAS (1992) Accreditation for asbestos sampling. Teddington, England, National Measurement Accreditation Service (NAMAS Information Sheet No. 24).
OSHA (1990) Asbestos in air. Salt Lake City, UT, Occupational Safety and Health Administration (OSHA Method ID-160).
Statički monitoring
Statički monitoring se koristi za procenu efektivnosti tehnika za kontrolu procesa, otkrivanje izvora kontaminacije, utvrđivanje "pozadinske" koncentracije vlakana itd. i ne daje reprezentativnu vrednost lične izloženosti. Uzorci prikupljeni na fiksiranim lokacijama, na primer, izvan oblasti skidanja i zatvaranja (enkapsulacije) azbesta i unutar prostorija za dekontaminaciju, radi nadzora čišćenja nakon procesa skidanja i zatvaranja azbesta i unutar zgrada ili brodova koji sadrže azbest se nazivaju statički uzorci i čine osnovu statičkog monitoringa. Ova vrsta uzoraka se često vrši kada postoji visoka proporcija vlakana drugačijih od onih koje su od prevashodnog interesa ili čestica koje su u skladu sa definicijom vlakna datoj u odeljku 3.2.3. Takve interferencije mogu izazvati probleme u tumačenju rezultata dobijenih ovom metodom, što može biti rešeno samo pribavljanjem informacija o sastavu vlakana korišćenjem drugih metoda (na primer elektronskom mikroskopijom).
Parametri i metodologija naznačeni za lično uzorkovanje se u načelu odnose i na statički monitoring. Glavne razlike su navedene u sledećoj diskusiji.
Uzimanje uzoraka
Uzorci se uzimaju na fiksiranim lokacijama. Glava uzorkivača bi trebala da bude postavljena na stalak, obično 1 m do 2 m iznad nivoa poda, a poklopac okrenut na dole, tako da omogući slobodno strujanje vazduha oko ulaza. Pri postavljanju uzorkivača voditi računa o poziciji i odnosima sa lokalnim izvorima prašine ili čistog vazduha. Unakrsno strujanje vazduha od više od 1 m·s-1 može umanjiti ukupan broj prikupljenih vlakana.
Brzina protoka
Reprezentativna brzina protoka bi trebala da bude u rasponu 0,5 l·min-1 do 16 l·min-1.
Brzine protoka su obično više za statičko uzorkovanje nego za lično uzorkovanje. Pored navedenog raspona, treba napomenuti da je utvrđeno da je efikasnost uzorkovanja (krizotil) nezavisna od brzine protoka.
Pravilo prestanka brojanja
Trebalo bi prebrojati 100 vlakana ili ispitati 200 polja okulara u zavisnosti šta prvo nastupi. Međutim, trebalo bi da vlakna budu prebrojana u najmanje 20 polja okulara.
U mnogim situacijama statičkog monitoringa neophodno je da se izvrši kontrola 200 polja okulara.
Ukoliko se statički monitoring koristi u merenju azbesta u vazduhu, na primer u svrhu smanjenja količine azbesta i stoga se vrše upoređivanja sa indikatorom čistoće, može biti neophodno da se izvrši evaluacija 200 polja okulara ili prebroji 100 vlakana. Na primer, ako 30 vlakana u 200 polja ukazuje na koncentraciju od 0,015 vlakana· ml-1 (a indikator čistoće je 0,010 vlakana·ml-1), moguće je odmah prijaviti da je obloga, koja je primenjena za smanjenje izloženosti azbestu, nezadovoljavajuća čim se izbroji 30 vlakana, iako se ispitivalo svega nekoliko polja.
Pravilo o prestanku brojanja i minimalnoj ukupnoj zapremini uzorka je obično takvo da je broj vlakana prebrojanih u blizini vrednosti tipičnih indikatora čistoće ispod donje granice preporučenog raspona gustine za optimalnu tačnost i preciznost ili čak ispod granice detekcije ove metode. S tim u vezi, procene koncentracije često mogu biti samo približne vrednosti. Granica detekcije zavisi od količine uzorka i trebala bi da je predočena od strane laboratorije zajedno sa njenim rezultatima. Na primer, ako pretpostavimo da je količina uzorka 480 l, efektivna površina filtera 380 mm2 i da se ispituje 200 polja okulara, granica detekcije je 0.010 vlakana· ml-1. Rezultat brojanja čija je vrednost ispod ove granice ne bi trebalo da se brojčano predstavlja, već samo kao < 0,010 vlakana·ml-1.
Karakterizacija vlakana
Ova publikacija opisuje metod za brojanje vlakana koji ne vrši diferencijaciju između vrsta vlakana. Iako poznavanje materijala koji se koriste u procesu daje smernice šta bi mogli da ispitujemo u uzorcima vazduha, jedine tehnike koje dozvoljavaju naučno utvrđivanje vrste vlakna prisutnog u uzorku se zasnivaju na različitim vrstama mikroskopije. U odabiru analitičke metode i laboratorije, potrebno je razmotriti nekoliko faktora. Primenjena tehnika bi trebala da bude sposobna da izvrši razlikovanje između vrsta vlakana u uzorku i trebalo bi da je vrši iskusan analitičar. Bilo bi poželjno da analitičar bude lice sa visokim obrazovanjem iz geologije, hemije, prirodnih nauka ili slične discipline, sa najmanje dve godine iskustva sa odgovarajućim metodama analize vlakana. Važno je proceniti protokol osiguranja kvaliteta laboratorije, koji bi trebao da se obuhvati, kada je to moguće, učešće u eksternom programu testiranja tačnosti.
Ovde navedene metode su razvijene za azbest i druge minerale ili neorganska vlakna. Najjeftinija i najdostupnija tehnika za karakterizaciju vlakana je mikroskopija sa polarizovanom svetlošću (PLM), koja može biti korišćena za identifikaciju mnogih vrsta vlakana sve dok su ta vlakna šira od 1 µm. Tehnike elektronske mikroskopije su mnogo skuplje i mogu biti korišćene da pruže dodatne informacije po potrebi. Skenirajuća elektronska mikroskopija (SEM), zajedno sa analizom energo-disperzivnog detektora X-zraka (EDXA), mogu u načelu biti korišćeni da se utvrdi elementarni sastav vlakana širih od 0,2 µm. Najskuplja metoda, analitička transmisiona elektronska mikroskopija (TEM), je opšte priznata kao najtačnija tehnika za karakterisanje neorganskih vlakana i može biti korišćena da pruži hemijske i strukturalne informacije za vlakna širine do 0.01 µm. Troškovi TEM analize su otprilike veći od troškova PLM ili PCOM, što se tiče SEM, troškovi su između ova dva prethodno navedena metoda.
Metode primenljive za vlakna u vazduhu
Mikroskopija sa polarizovanom svetlošću
Za vlakna šira od 1 µm, PLM tehnika može biti korišćena za evaluaciju optičkih svojstava pojedinačnih vlakana. Publikovane su sledeće metode karakterizacije vlakana posredstvom PLM:
- Method 9002. Asbestos (bulk): by polarized light microscopy, 2nd ed. Cincinnati, OH, National Institute for Occupational Safety and Health, 1994 (available from NIOSH, 4676 Columbia Parkway, Cincinnati, OH 45226, USA).
- Test method for the determination of asbestos in bulk building materials (EPA/600/R-93/116). Washington, DC, Environmental Protection Agency, 1993 (available from EPA, 401 M Street SW, Washington, DC 20460, USA).
- Test method: interim method for the determination of asbestos in bulk insulation samples (EPA/600/M4-82/020). Washington, DC, Environmental Protection Agency, 1982 (available from EPA, 401 M Street NNj, Washington, DC 20460, USA).
- Asbestos in bulk materials: sampling and identification by polarised light microscopy (PLM). London, Health and Safety Executive, 1994 (Methods for the Determination of Hazardous Substances, No. 77; available from HSE Books, P.O. Bodć 1999, Sudbury, Suffolk, COlO 6FS, England).
Skenirajuća elektronska mikroskopija
Za rutinske analize, SEM omogućava dobru vizuelizaciju morfologije vlakana do širine od oko 0,05 µm, u zavisnosti od metoda koji se koristi. Pored toga, analizator energo-disperzivnog detektora X-zraka može biti upotrebljen da se odredi elementarni sastav vlakana čija je širina veća od oko 0,2 µm. Natrijum i lakši elementi se, u načelu, ne mogu pratiti posredstvom SEM/EDXA. Detaljna analiza uzoraka prikupljenih na membranskim filterima nije moguća zbog nestabilnosti medijuma filtera, stabilniji medijum filtera na primer polikarbonatni filteri bi trebali stoga da budu korišćeni ukoliko se predviđa ispitivanje SEM.
Publikovane su sledeće metode karakterizacije vlakana posredstvom SEM:
- Methods of monitoring and evaluating airborne man-made mineral fibres: report on a WHO consultation. Copenhagen, World Health Organization Regional Office for Europe, 1981 WHO Regional Office for Europe, Scherfigsvej 8, DK-2100 Copenhagen 0, Denmark).
- Method RTM2. Paris, Asbestos International Association (available from MA, 10 rue de la Pepinik-e, 75008 Paris, France).
- Method for the separate determination of asbestos and other inorganic fibres: raster electron microscopic method (ZHI/120/46). Sankt Augustin, Germany, Federation of Industrial Injuries Insurance Institutions, 1991 (available from Federation of Industrial Injuries Insurance Institutions, Alte Heerstrasse 11 1,53757 Sankt Augustin, Germany).
Transmisiona elektronska mikroskopija
Upotreba uređaja TEM omogućava karakterizaciju pojedinačnih vlakana koja mogu biti širine do 0,01 µm. Na raspolaganju su dve moćne kvalitativne tehnike: difrakcija elektrona (ED), koja omogućava da se utvrdi čestična struktura kristala i (kao i kod SEM) EDXA, koja omogućava da se utvrdi elementarni sastav pojedinačnih vlakana. U kombinaciji sa ED i EDXA, TEM je posebno koristan za identifikaciju neorganskih kristalnih vlakana i u načelu, pruža najpotpuniju moguću identifikaciju. Za nekristalne neorganske materijale, TEM je sličan skenirajućem elektronskom mikroskopu (SEM) u pogledu senzitivnosti. Generalno, TEM se ne koristi za kvalitativnu analizu organskih materijala. Priprema uzoraka za TEM je složenija nego za SEM.
Publikovane su sledeće metode karakterizacije vlakana posredstvom TEM:
- Ambient air determination of asbestos fibres: direct transfer transmission electron microscopy method. Geneva, International Organization for Standardization, 1991 (available from nternational Organization for Standardization, 1 rue de Varembt, 1211 Geneva 20, Switzerland).
- Method 7402. Asbestos: by transmission electron microscopy, 2nd ed. Cincinnati, OH, National Institute for Occupational Safety and Health, 1994 (available from NIOSH, 4676 Columbia Parkway, Cincinnati, OH 45226, USA).
- Interim transmission electron microscopy analytical methods: mandatory and non-mandatory; and mandatory section to determine completion of response actions. Washington, DC, Environmental Protection Agency, 1987 (Code of Federal Regulations, 40, Part 763, Appendix A to subpart E; available from EPA, 401 M Street SW, Washington, DC 20460, USA).
Metode koje se primenjuju kod masivnih materijala
Difrakcija rendgenskih zraka (XRD)
U analizi XRD, uzorak masivnih materijala je izložen snopu rendgenskih zraka i meri se ugao difrakcionog zračenja. Ova tehnika omogućava utvrđivanje kristalne strukture mineralnih jedinjenja.
Publikovane su sledeće metode karakterizacije vlakana posredstvom XRD:
- Method 9000. Asbestos (chrysotile): by X-ray diffraction. Cincinnati, OH, National Institute for Occupational Safety and Health, 1994 (available from NIOSH, 4676 Columbia Parkway, Cincinnati, OH 45226, USA).
- Test method for the determination of asbestos in bulk building materials (EPA/600/R-93/116). Washington, DC, Environmental Protection Agency, 1993 (available from EPA, 401 M Street SW, Washington, DC 20460, USA).
Hemijska analiza
Neke hemijske analize su bile korišćene da ukažu na prisustvo izvesnih elemenata ili funkcionalnih grupa u uzorcima masivnih materijala, ali te metode ne prave razliku između vlakana i drugih materijala sa istim hemijskim svojstvima. Komercijalno dostupne analitičke opreme mogu da otkriju prisustvo magnezijuma (krizotil) i gvožđa (amfibolni azbest). Drugi testovi mogu biti korišćeni za detekciju veštačkih organskih vlakana.
Publikovane su sledeće metode karakterizacije vlakana posredstvom hemijske analize:
- Test for screening asbestos. Cincinnati, OH, National Institute for Occupational Safety and Health, 1979 (Publication No. 80-110; available from NIOSH, 4676 Columbia Parkway, Cincinnati, OH, 45226, USA).
Apsorpcija infracrvenim zracima (IR)
Ova tehnika pokazuje samo moguće prisustvo izvesnih funkcionalnih grupa u komponentama koje se analiziraju i ne mogu biti razlikovane između vlakana i drugih materijala sa istim hemijskim svojstvima. Rezonantna apsorpcija IR zračenja meri vršne "pikove" vrednosti koje su indikativne za različite funkcionalne grupe. Ta tehnika može biti korisna u identifikovanju određenih organskih vlakana.
Publikovane su sledeće metode karakterizacije vlakana posredstvom apsorpcije infracrvenim zracima:
- Method for the determination of chrysotile and amphibole forms of asbestos (ZHI/120/30). Sankt Augustin, Germany, Federation of Industrial Injuries Insurance Institutions, 1985 (available from Federation of Industrial Injuries Insurance Institutions, Alte Heerstrasse 11 1, 53757 Sankt Augustin, Germany).
Spisak učesnika na završnom sastanku
Ženeva, 31. januar - 2. februar 1994.
Dr M. C. Arroyo, National Institute of Occupational Health and Safety, Baracaldo, Spain
Dr P. Baron, National Institute for Occupational Safety and Health, Cincinnati, OH, USA (Co-rapporteur)
Mr P. Buchanan, Luxembourg (representing the European Commission)
Mr P. Class, Rueil-Malmaison, France (representing the European Ceramic Fibres Industry Association)
Ms R. Cosca-Sliney, University Institute of Medicine and Occupational Hygiene, Lausanne, Switzerland
Dr N. P. Crawford, Institute of Occupational Medicine, Edinburgh, Scotland (Rapporteur)
Dr G. W. Gibbs, Winterburn, Alberta, Canada (representing the International Commission on Occupational Health)
Mrs B. Goelzer, Occupational Health, World Health Organization, Geneva, Switzerland (Secretary)
Mr F. I. Grunder, American Industrial Hygiene Association, Fairfax, VA, USA
Mr S. Houston, International Fibre Safety Group, Montreal, Canada
Dr E. Kauffer, National Institute of Research and Safety, Vandoeuvre, France
Professor S. Krantz, National Institute of Occupational Health, Solna, Sweden
Professor Y. Kusaka, Department of Environmental Health, Fukui Medical School, Fukui, Japan
Dr J. LeBel, Asbestos Institute, Sherbrooke, Quebec, Canada
Dr M. Lesage, International Labour Office, Geneva, Switzerland
Professor M. Lippman, Department of Environmental Medicine, New York University, Tuxedo, NY, USA
Dr A. Marconi, Istituto Superiore di Saniti, Rome, Italy
Dr M. I. Mikheev, Chief, Occupational Health, World Health Organization, Geneva, Switzerland
Dr T. K.-W. Ng, Occupational Health, World Health Organization, Geneva, Switzerland
Mr G. Perrault, Quebec Research Institute for Health and Occupational Safety, Montreal, Canada
Mr A. L. Rickards, Rugby, England (representing Asbestos International Association)
Dr G. Riediger, Sankt Augustin, Germany (representing the European Committee for Standardization)
Dr H. U. Sabir, Occupational Health and Safety Institute, Ankara, Turkey
Mrs M. M. Teixeira Lima, Brasilia, Brazil (representing the National Foundation for Occupational Health (Fundacentro))
Professor F. Valic, Zagreb, Croatia (representing the International Programme on Chemical Safety)
Mr R. A. Versen, Littleton, CO, USA (representing the Thermal Insulation Manufacturers Association)
Dr N. G. West, Health and Safety Executive, Sheffield, England (Chairman)
PREPORUKE ZA PRAĆENJE ZDRAVSTVENOG STANJA ZAPOSLENIH
1. Postojeće znanje ukazuje na to da izlaganje slobodnim azbestnim vlaknima može prouzrokovati sledeće bolesti:
1) azbestozu;
2) mezoteliom;
3) bronhijalni karcinom;
4) gastrointestinalni karcinom.
2. Služba medicine rada koja vrši ocenu zdravstvene sposobnosti zaposlenih izloženih azbestu, mora da bude upoznata sa uslovima ili okolnostima izlaganja za svakog zaposlenog.
3. Lekarski pregled zaposlenih treba da se obavlja u skladu sa načelima i praksom medicine rada i treba da obuhvati najmanje sledeće mere:
1) vođenje evidencije o zdravstvenoj i profesionalnoj anamnezi zaposlenog;
2) lični razgovor;
3) opšti pregled koji obuhvata pregled grudnog koša;
4) funkcionalni pregled pluća (spirometrija).
Služba medicine rada koja vrši ocenu zdravstvene sposobnosti treba da donese odluku o daljim ispitivanjima, kao što su citološki pregled sputuma ili rendgenski snimak grudnog koša ili tomodenzitometrija u skladu sa savremenim dostignućima dostupnih medicini rada.
EVIDENCIJA O ZAPOSLENIMA RASPOREĐENIM NA RADNA MESTA NA KOJIMA SE OBAVLJAJU POSLOVI PRI KOJIMA ZAPOSLENI JESU ILI MOGU BITI IZLOŽENI PRAŠINI KOJA POTIČE OD AZBESTA ILI MATERIJALA KOJI SADRŽE AZBEST
__________________________ |
__________________________ |
__________________________ |
Poslovno ime poslodavca |
Adresa sedišta poslodavca |
PIB poslodavca |
Redni broj |
Ime i prezime zaposlenog |
Naziv radnog mesta |
Vrsta i trajanje poslova |
Stepen izloženosti |
1. |
|
|
|
|
2. |
|
|
|
|
|
|
|
|
|
|
|
|
|
|
_________________________________ |
|
___________________ |
Lice za bezbednost i zdravlje na radu |
M.P. |
Poslodavac |









