PRAVILNIK O PREVENTIVNIM MERAMA ZA BEZBEDAN I ZDRAV RAD PRI IZLAGANJU VEŠTAČKIM OPTIČKIM ZRAČENJIMA("Sl. glasnik RS", br. 120/2012, 29/2013 - ispr. i 130/2021) |
Ovim pravilnikom propisuju se zahtevi koje je poslodavac dužan da ispuni u obezbeđivanju primene preventivnih mera sa ciljem otklanjanja ili svođenja na najmanju moguću meru rizika od nastanka oštećenja zdravlja zaposlenih koji nastaju ili mogu da nastanu pri izlaganju veštačkim optičkim zračenjima, a naročito rizika od nastanka oštećenja očiju i kože, granične vrednosti izloženosti zračenju za nekoherentno optičko zračenje i granične vrednosti izloženosti zračenju za lasersko optičko zračenje.
Pojedini izrazi koji se koriste u ovom pravilniku imaju sledeće značenje:
1) optičko zračenje - jeste svako elektromagnetsko zračenje sa opsegom talasne dužine između 100 nm i 1 mm. Spektar optičkog zračenja se deli na ultraljubičasto zračenje, vidljivo zračenje i infracrveno zračenje:
(1) ultraljubičasto zračenje - jeste optičko zračenje sa opsegom talasne dužine između 100 nm i 400 nm. Ultraljubičasta oblast se deli na UVA (315 nm do 400 nm), UVB (280 nm do 315 nm) i UVC (100 nm do 280 nm),
(2) vidljivo zračenje - jeste optičko zračenje sa opsegom talasne dužine između 380 nm i 780 nm,
(3) infracrveno zračenje - jeste optičko zračenje sa opsegom talasne dužine između 780 nm i 1 mm. Infracrvena oblast se deli na IRA (780 nm do 1400 nm), IRB (1400 nm do 3000 nm) i IRC (3000 nm do 1 mm);
2) laser (pojačanje svetlosti pomoću stimulisane emisije zračenja) - jeste svaki uređaj koji može proizvesti ili pojačati elektromagnetsko zračenje u opsegu talasne dužine optičkog zračenja uglavnom procesom kontrolisane stimulisane emisije;
3) lasersko zračenje - jeste optičko zračenje lasera;
4) nekoherentno zračenje - jeste svako optičko zračenje koje nije lasersko zračenje;
5) granične vrednosti izloženosti - jesu granice izloženosti optičkom zračenju koje su neposredno zasnovane na utvrđenim posledicama po zdravlje i biološkim razlozima. Usaglašenost sa ovim graničnim vrednostima obezbeđuje da su zaposleni koji su izloženi veštačkim izvorima optičkog zračenja zaštićeni od svih poznatih štetnih posledica po zdravlje;
6) iradijansa (E) ili gustina snage - jeste snaga optičkog zračenja po jedinici površine prijemnika izražena u vatima po kvadratnom metru (W m-2);
7) izloženost zračenju (H) - jeste vremenski integral iradijanse, izražen u džulima po kvadratnom metru (J m-2);
8) radijansa (L) - jeste fluks zračenja ili izlazna snaga po jedinici površine izvora u jedinični prostorni ugao, izražena u vatima po kvadratnom metru i steradijanu (W m-2 sr-1);
9) nivo - jeste kombinacija iradijanse, izloženosti i radijanse kojima je zaposleni izložen.
Granične vrednosti izloženosti zračenju za nekoherentno optičko zračenje (Prilog 1.) i Granične vrednosti izloženosti zračenju za lasersko optičko zračenje (Prilog 2.) odštampane su uz ovaj pravilnik i čine njegov sastavni deo.
Poslodavac je dužan da za sva radna mesta u radnoj okolini na kojima postoji mogućnost izlaganja zaposlenih veštačkim izvorima optičkog zračenja, izvrši procenu rizika od nastanka oštećenja zdravlja zaposlenih, proceni nivo izloženosti i, ukoliko je potrebno, obezbedi da se izvrši merenje nivoa izloženosti optičkom zračenju, radi utvrđivanja načina i mera za otklanjanje ili smanjenje izloženosti na nivo ispod graničnih vrednosti.
Metode koje se koriste u postupku procene, merenja i/ili izračunavanja treba da budu:
1) za lasersko zračenje u skladu sa standardima SRPS EN 12254:2010, SRPS EN 12254:2010/AC:2012, SRPS EN ISO 11146-1:2009, SRPS EN ISO 11146-2:2009, SRPS EN ISO 11670:2009 i SRPS EN ISO 11670:2009/AC:2009;
2) za nekoherentno zračenje u skladu sa standardima SRPS EN 14255-1:2012 i SRPS EN 14255-2:2012.
U slučajevima izloženosti koji nisu obuhvaćeni ovim standardima procena, merenje i/ili izračunavanje vrši se u skladu sa odgovarajućim tehničkim propisima.
Procena nivoa izloženosti veštačkim optičkim zračenjima može se vršiti na osnovu podataka dobijenih od proizvođača opreme za rad u skladu sa zakonom kojim se uređuju tehnički zahtevi za proizvode i ocenjivanje usaglašenosti.
Poslodavac je dužan da na osnovu utvrđenih štetnosti koje nastaju usled izloženosti zaposlenih veštačkim optičkim zračenjima angažuje pravno lice sa licencom radi sprovođenja preventivnih i periodičnih ispitivanja uslova radne okoline.
Poslodavac je dužan da u postupku procene rizika koji se javlja usled izloženosti zaposlenih veštačkim optičkim zračenjima naročito uzme u obzir:
1) nivo, opseg talasne dužine i trajanje izloženosti veštačkim izvorima optičkog zračenja;
2) granične vrednosti izloženosti za nekoherentno zračenje i granične vrednosti izloženosti za lasersko zračenje;
3) efekte koji mogu uticati na bezbednost i zdravlje zaposlenih koji su posebno osetljivi na izlaganje veštačkim izvorima optičkog zračenja;
4) uticaje na bezbednost i zdravlje zaposlenih koji proizlaze iz interakcije između optičkog zračenja i hemijskih supstanci osetljivih na optičko zračenje na radnom mestu;
5) posredne uticaje na bezbednost i zdravlje zaposlenih, kao što su privremeno slepilo, eksplozija ili požar;
6) postojanje opreme za rad koja je projektovana za smanjenje nivoa izloženosti veštačkom optičkom zračenju;
7) informacije o rezultatima dobijenim na osnovu praćenja zdravstvenog stanja i na bazi dostupnih podataka;
8) izloženost većem broju izvora veštačkog optičkog zračenja;
9) klasifikaciju koja se primenjuje na lasere prema odgovarajućem standardu SRPS EN 60825-1:2008, a za bilo koji veštački izvor za koji je verovatno da će izazvati štetu sličnu kao laseri klase 3B ili 4, bilo koju sličnu klasifikaciju;
10) podatke o izvorima optičkog zračenja koji su dobijeni od proizvođača opreme za rad u skladu sa zakonom kojim se uređuju tehnički zahtevi za proizvode i ocenjivanje usaglašenosti.
Poslodavac je dužan da donese akt o proceni rizika u pisanoj formi, radi mogućnosti stalnog uvida. Procena rizika vrši se u skladu sa propisima o bezbednosti i zdravlju na radu, redovno se ažurira, odnosno vrši se delimična izmena ili dopuna akta o proceni rizika ukoliko:
1) je procena rizika izvršena tako da nisu evidentirani i procenjeni svi faktori rizika koji nastaju usled izlaganja zaposlenih veštačkim optičkim zračenjima;
2) je došlo do promene u obavljanju poslova, odnosno pojave novih opasnosti i štetnosti;
3) je to potrebno na osnovu rezultata dobijenih na osnovu praćenja zdravstvenog stanja.
Procena rizika može da sadrži obrazloženje poslodavca da, prema prirodi i obimu rizika koji proističu iz izlaganja veštačkom optičkom zračenju više nije potrebna dalja detaljna procena rizika.
Poslodavac je dužan da uzimajući u obzir savremena tehnička rešenja i dostupnost mera za kontrolu rizika na njegovom izvoru, kao i polazeći od načela primene preventivnih mera, rizik koji nastaje usled izloženosti zaposlenih veštačkim optičkim zračenjima otkloni ili smanji na najmanju moguću meru.
Poslodavac je dužan da, ukoliko se u postupku procene rizika utvrdi da su granične vrednosti izloženosti veštačkom optičkom zračenju prekoračene ili da mogu biti prekoračene, aktom o proceni rizika utvrdi tehničke i/ili organizacione mera čija primena mora da obezbedi smanjenje izloženosti zaposlenih i pri tome je dužan da jednu ili više uzme u obzir:
1) druge metode rada čijom se primenom smanjuje rizik od optičkog zračenja;
2) izbor odgovarajuće opreme za rad koja, s obzirom na poslove koje zaposleni obavlja emituje manje optičkog zračenja;
3) smanjenje emisije optičkog zračenja primenom tehničkih mera, uključujući i, gde je to neophodno, korišćenje blokada, štitova ili sličnih mehanizama za zaštitu zdravlja;
4) odgovarajuće programe održavanja radnog mesta i opreme za rad;
5) projektovanje i raspored radnih mesta;
6) ograničavanje trajanja i nivoa izloženosti;
7) kontrolu upotrebe odgovarajućih sredstava i opreme za ličnu zaštitu na radu;
8) uputstva proizvođača opreme za rad, obezbeđena u skladu sa tehničkim propisom donetim na osnovu zakona kojim se uređuju tehnički zahtevi za proizvode i ocenjivanje usaglašenosti, a kojim je propisana obaveza proizvođača da sačini uputstvo za takvu opremu.
Poslodavac je dužan da radna mesta, za koja je na osnovu procene rizika utvrđeno da postoji mogućnost da granična vrednost izloženosti veštačkom optičkom zračenju bude prekoračena, obeleži oznakama za bezbednost i zdravlje na radu, kao i da taj prostor obezbedi od pristupa svih lica koja ne rade na tim radnim mestima.
Poslodavac je dužan da izloženost zaposlenih veštačkom optičkom zračenju svede na najmanju moguću vrednost, a u svakom slučaju na vrednost koja je manja od granične vrednosti izloženosti.
Poslodavac je dužan da, ukoliko je i pored primene preventivnih mera izloženost veća od granične vrednosti izloženosti veštačkom optičkom zračenju, što je moguće pre preduzme odgovarajuće mere tako da smanji izloženost ispod granične vrednosti izloženosti, utvrdi razloge zbog kojih je došlo do prekoračenja granične vrednosti izloženosti i koriguje primenu mera sa ciljem da se spreči da se prekoračenje granične vrednosti izloženosti veštačkom optičkom zračenju ponovi.
Poslodavac je dužan da prilagodi mere za bezbednost i zdravlje na radu koje se odnose na smanjenje izloženosti veštačkom optičkom zračenju zaposlenima koji su posebno osetljivi na izlaganje veštačkom optičkom zračenju.
Poslodavac je dužan da zaposlenima koji jesu izloženi veštačkom optičkom zračenju ili njihovim predstavnicima za bezbednost i zdravlje na radu obezbedi sve informacije o merama koje se preduzimaju sa ciljem ostvarenja bezbednih i zdravih uslova rada pri izlaganju veštačkom optičkom zračenju, kao i da te zaposlene u toku osposobljavanja za bezbedan i zdrav rad upozna sa svim vrstama rizika koji nastaju pri izlaganju veštačkom optičkom zračenju, a naročito u odnosu na:
1) mere koje se preduzimaju sa ciljem otklanjanja ili smanjenja na najmanju moguću meru rizika od oštećenja zdravlja usled izloženosti veštačkom optičkom zračenju u skladu sa ovim pravilnikom;
2) postojanje granične vrednosti izloženosti i rizike koji mogu da nastanu pri izlaganju;
3) rezultate procene rizika i/ili merenja uz objašnjenje njihovog značenja i mogućih opasnosti i štetnosti koji mogu nastati usled izlaganja veštačkom optičkom zračenju;
4) način za otkrivanje i prijavljivanje oštećenja zdravlja koji su posledica izloženosti;
5) okolnosti pod kojima zaposleni imaju pravo na praćenje zdravstvenog stanja;
6) bezbedne načine rada kako bi se izloženost veštačkom optičkom zračenju smanjila na najmanju moguću meru;
7) pravilno korišćenje odgovarajućih sredstava i opreme za ličnu zaštitu na radu.
Poslodavac i zaposleni, odnosno njihovi predstavnici za bezbednost i zdravlje na radu dužni su da sarađuju u vezi sa svim pitanjima koja se odnose na primenu preventivnih mera pri izlaganju veštačkim optičkim zračenjima, u skladu sa Zakonom o bezbednosti i zdravlju na radu.
Poslodavac je dužan da, radi prevencije i ranog otkrivanja svih štetnih posledica, sprečavanja dugoročnih rizika po zdravlje i svih rizika od hroničnih bolesti koji su posledica izloženosti veštačkom optičkom zračenju, u skladu sa propisima u oblasti bezbednosti i zdravlja na radu i zdravstvene zaštite, obezbedi propisano praćenje zdravstvenog stanja za zaposlene koji rade, ili treba da rade, na radnim mestima za koja se rezultatima procene rizika, iz člana 4. ovog pravilnika utvrdi da su radna mesta sa povećanim rizikom od nastanka oštećenja zdravlja.
Služba medicine rada koja prati zdravstveno stanje zaposlenih iz stava 1. ovog člana za svakog zaposlenog vodi podatke o njegovom zdravstvenom stanju i redovno ih ažurira na način koji omogućava kasniji uvid. Izveštaj o lekarskom pregledu zaposlenog sadrži ocenu zdravstvenog stanja.
U postupku vršenja prethodnog i periodičnog lekarskog pregleda služba medicine rada koristi podatke o faktorima rizika na radnom mestu sa povećanim rizikom, kao i podatke o posebnim zdravstvenim uslovima koje moraju ispunjavati zaposleni, iz akta poslodavca o proceni rizika.
Rezultati praćenja zdravstvenog stanja zaposlenih čuvaju se u odgovarajućem obliku kojim se obezbeđuje mogućnost naknadnog uvida uz poštovanje obaveze o poverljivosti podataka o ličnosti.
Svakom zaposlenom potrebno je na lični zahtev obezbediti pristup njegovim podacima o zdravstvenom stanju i rezultatima praćenja zdravstvenog stanja.
Poslodavac je dužan da zaposlenog na radnom mestu na kome je izloženost veća od granične vrednosti izloženosti, a koje nije aktom o proceni rizika iz člana 4. stav 1. ovog pravilnika utvrđeno kao radno mesto sa povećanim rizikom, uputi na ciljani lekarski pregled. Ciljani lekarski pregledi vrše se na način, po postupku i u rokovima kao i prethodni i periodični lekarski pregledi zaposlenih na radnim mestima sa povećanim rizikom.
Kada je izloženost veća od granične vrednosti izloženosti ili se praćenjem zdravstvenog stanja utvrdi oštećenje zdravlja zaposlenog koje je prema nalazu službe medicine rada nastalo kao posledica izlaganja veštačkom optičkom zračenju na radnom mestu, tada je:
1) služba medicine rada dužna da obavesti zaposlenog o rezultatima praćenja zdravstvenog stanja koji se odnose na njega i da zaposlenom obezbedi sve informacije i savete u vezi sa načinom praćenja zdravstvenog stanja po završetku izlaganja;
2) služba medicine rada dužna da obaveštava poslodavca o bitnim rezultatima praćenja zdravstvenog stanja zaposlenog na način kojim se ne narušava princip poverljivosti ličnih podataka;
3) poslodavac dužan da:
(1) izvrši proveru procene rizika koja je sprovedena u skladu sa članom 4. ovog pravilnika,
(2) proveri i izvrši korekciju preventivnih mera koje su predviđene za otklanjanje ili smanjenje rizika saglasno članu 7. ovog pravilnika,
(3) uzme u obzir savet službe medicine rada pri sprovođenju preventivnih mera koje su predviđene za otklanjanje ili smanjenje rizika saglasno članu 7. ovog pravilnika,
(4) obezbedi praćenje zdravstvenog stanja ostalih zaposlenih koji su bili na sličan način izloženi veštačkom optičkom zračenju. Služba medicine rada može predložiti da se izvrši lekarski pregled izloženih lica.
Ovaj pravilnik stupa na snagu osmog dana od dana objavljivanja u "Službenom glasniku Republike Srbije", a primenjuje se od 1. januara 2017. godine.
Samostalni član Pravilnika o izmeni i dopunama
Pravilnika o preventivnim merama za bezbedan i zdrav rad pri izlaganju veštačkim optičkim zračenjima
("Sl. glasnik RS", br. 130/2021)
Član 4
Ovaj pravilnik stupa na snagu osmog dana od dana objavljivanja u "Službenom glasniku Republike Srbije".
GRANIČNE VREDNOSTI IZLOŽENOSTI ZRAČENJU ZA NEKOHERENTNO OPTIČKO ZRAČENJE
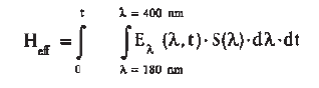
Odgovarajuće biofizičke vrednosti izlaganja optičkom zračenju mogu se utvrditi na osnovu sledećih formula, koje zavise od opsega zračenja koje emituje izvor. Rezultate treba uporediti sa odgovarajućim graničnim vrednostima izloženosti iz Tabele 1.1. Za jedan izvor optičkog zračenja može biti bitna više od jedne vrednosti izloženosti i odgovarajuće granične vrednosti izloženosti.
Nabrajanja od (1) do (15) odnose se na odgovarajuće redove u Tabeli 1.1.
(1) |
|
(Heff je bitno samo u rasponu od 180 nm do 400 nm) |
(2) |
|
(HUVA je bitno samo u rasponu od 315 nm do 400 nm) |
(3), (4) |
|
(LB je bitno samo u rasponu od 300 nm do 700 nm) |
(5), (6) |
|
(EB je bitno samo u rasponu od 300 nm do 700 nm) |
(7) do (12) |
|
(videti tabelu 1.1 za odgovarajuće vrednosti l1 i l2) |
(13), (14) |
|
(EIR je bitno samo u rasponu od 780 nm do 3000 nm) |
(15) |
|
(HKOŽA bitno samo u rasponu od 380 nm do 3000 nm) |
Za potrebe ovog pravilnika, gore navedene formule mogu biti zamenjene sledećim izrazima, uz korišćenje diskretnih vrednosti iz sledećih tabela: |
||
(1) |
|
i Heff = Eeff · Dt |
(2) |
|
i HUVA = EUVA · Dt |
(3), (4) |
|
|
(5), (6) |
|
|
(7) do (12) |
|
(vidi Tabelu 1.1 za odgovarajuće vrednosti l1 i l2) |
(13), (14)
(15)
|
![]() |
i Hkoža = Ekoža ⋅ Δt |
Oznake u Prilogu 1. imaju sledeće značenje:
El (l, t) El spektralna iradijansa ili spektralna gustina snage: snaga upadnog zračenja po jedinici površine, izražena u vatima po kvadratnom metru i nanometru [W m-2 nm-1]; vrednosti El (l, t) i El se dobijaju merenjima ili ih može dati proizvođač opreme;
Eeff efektivna iradijansa (UV opseg): izračunata iradijansa unutar UV opsega talasnih dužina od 180 nm do 400 nm, spektralno ponderisana pomoću S (l), izražena u vatima po kvadratnom metru [W m-2];
H izloženost zračenju: integral iradijanse po vremenu, izražen u džulima po kvadratnom metru [J m-2];
Heff efektivna izloženost zračenju: izloženost zračenju spektralno ponderisana pomoću S (l), izražena u džulima po kvadratnom metru [J m-2];
EUVA ukupna iradijansa (UVA): izračunata iradijansa unutar UVA opsega talasnih dužina od 315 nm do 400 nm, izražena u vatima po kvadratnom metru [W m-2];
HUVA izloženost zračenju: integral po vremenu i talasnoj dužini ili zbir iradijansi unutar UVA opsega talasnih dužina od 315 nm do 400 nm, izražen u džulima po kvadratnom metru [J m-2];
S (l) funkcija spektralnog ponderisanja koja uzima u obzir zavisnost posledica UV zračenja po zdravlje (na oči i kožu) od talasne dužine, (Tabela 1.2) [bez dimenzija];
t, Dt vreme, trajanje izlaganja, izraženo u sekundama [s];
l talasna dužina, izražena u nanometrima [nm];
Dl širina intervala izračunavanja ili merenja, izražena u nanometrima [nm];
Ll (l), Ll spektralno zračenje izvora izraženo u vatima po kvadratnom metru, steradijanu i nanometru [W m-2 sr-1 nm-1];
R (l) funkcija spektralnog ponderisanja koja uzima u obzir zavisnost termičkog oštećenja oka izazvanog vidljivim i IRA zračenjem od talasne dužine (Tabela 1.3) [bez dimenzija];
LR efektivno zračenje (termičko oštećenje): izračunato zračenje spektralno ponderisano pomoću R (l), izraženo u vatima po kvadratnom metru i steradijanu [W m -2 sr-1];
B (l) funkcija spektralnog ponderisanja koja uzima u obzir zavisnost fotohemijskog oštećenja oka izazvanog zračenjem plave svetlosti od talasne dužine (Tabela 1.3) [bez dimenzija];
LB efektivno zračenje (plava svetlost): izračunato zračenje spektralno ponderisano pomoću B (l), izraženo u vatima po kvadratnom metru i steradijanu [W m-2 sr-1];
EB efektivna iradijansa (plava svetlost): izračunata iradijansa spektralno ponderisana pomoću B (l), izražena u vatima po kvadratnom metru [W m-2];
EIR ukupna iradijansa (termičko oštećenje): izračunata iradijansa unutar infracrvenog zračenja u opsegu talasnih dužina od 780 nm do 3000 nm, izražena u vatima po kvadratnom metru [W m-2];
EKOŽA ukupna iradijansa (vidljivo zračenje, IRA i IRB): izračunata iradijansa - unutar vidljivog i infracrvenog zračenja u opsegu talasnih dužina od 380 nm do 3000 nm, izražena u vatima po kvadratnom metru [W m-2];
HKOŽA izloženost zračenju: integral po vremenu i talasnoj dužini ili zbir iradijansi unutar vidljivog i infracrvenog zračenja u opsegu talasnih dužina od 380 nm do 3000 nm, izražen u džulima po kvadratnom metru [J m-2]:
a ugaona obuhvaćenost: ugao pod kojim se izvor vidi iz neke tačke u prostoru, izražen u miliradijanima (mrad). Izvor je stvaran ili virtualan objekat koji formira najmanju - moguću - sliku - na mrežnjači.
GRANIČNE VREDNOSTI IZLOŽENOSTI ZA NEKOHERENTNO OPTIČKO ZRAČENJE
Indeks |
Talasna dužina nm |
Granične vrednosti izloženosti |
Jedinice |
Komentar |
Deo tela |
Opasnost |
||||||
(1) |
180 do 400 (UVA, UVB i UVC) |
Heff = 30 |
[J m-2] |
|
Koža |
Fotokeratitis |
||||||
(2) |
315 do 400 (UV) |
HUVA = 104 |
[J m-2] |
|
Sočivo oka |
Kataraktogeneza |
||||||
(3) |
300 do 700 |
za t ≤ 10000 s |
LB : [W m-2 sr-1] |
za a ≥ 11 mrad |
Mrežnjača oka |
Fotoretinitis |
||||||
(4) |
300 do 700 |
LB = 100 |
[W m-2 sr-1] |
|||||||||
(5) |
300 do 700 |
za t ≤ 10000 s |
EB : [W m-2] |
za a < 11 mrad |
||||||||
(6) |
300 do 700 |
EB = 0,01 |
[W m-2] |
|
|
|
||||||
(7) |
380 do 1400 (Vidljivo i IRA) |
za t > 10 s |
[W m-2 sr-1] |
Ca = 1,7 za a ≤ 1,7 mrad Ca = a za 1,7 ≤ a ≤ 100 mrad Ca = 100 za a > 100 mrad l1 = 380; l2 = 1400 |
Mrežnjača oka |
Opekotine mrežnjače |
||||||
(8) |
380 do 1400 (Vidljivo i IRA) |
za 10 µs ≤ t ≤ 10 s |
LR [W m-2 sr-1] |
|||||||||
(9) |
380 do 1400 (Vidljivo i IRA) |
za t < 10 µs |
[W m-2 sr-1] |
|||||||||
(10) |
780 do 1400 (IRA) |
za t > 10 s |
[W m-2 sr-1] |
Ca = 11 za a ≤ 11 mrad Ca = a za 11 ≤ a ≤ 100 mrad Ca = 100 za a > 100 mrad (merenje vidnog polja: l1 = 780; l2 = 1400 |
Mrežnjača oka |
Opekotine mrežnjače |
||||||
(11) |
780 do 1400 (IRA) |
za 10 µs ≤ t ≤ 10 s |
LR [W m-2 sr-1] |
|||||||||
(12) |
780 do 1400 (IRA) |
za t < 10 µs |
[W m-2 sr-1] |
|||||||||
(13) |
780 do 3000 (IRA i IRB) |
EIR = 18000 t-0,75 za t ≤ 1000 s |
E: [W m-2] |
|
Rožnjača |
Opekotine rožnjače |
||||||
(14) |
780 do 3000 |
EIR = 100 |
[W m-2] |
|
|
|
||||||
(15) |
380 do 3000 (Vidljivo, IRA i IRB) |
HKOŽA = 20000 t-0,25 za t < 10 s |
H: [J m-2] t: [sekunde] |
|
Koža |
Opekotine |
Napomena 1.: Opseg od 300 nm do 700 nm obuhvata delove UVB, celokupno UVA i većinu vidljivog zračenja; međutim, štetnost koja je sa njim u vezi obično se naziva štetnost "plave svetlosti". Strogo uzevši, plava svetlost obuhvata samo opseg od oko 400 nm do 490 nm.
Napomena 2.: Kada se pogled uperi u veoma male izvore sa vidnim uglom < 11 mrad, LB se može pretvoriti u EB. Ovo se obično primenjuje samo na oftalmološke instrumente ili na stabilizovano oko tokom anestezije. Maksimalno trajanje "zurenja" iznosi: tmax= 100/EB gde je EB izraženo u [W m-2]. Zbog očnih pokreta tokom normalnog gledanja ono ne prelazi 100 s.
S(l) [BEZ DIMENZIJA], OD 180 NM DO 400 NM
l u nm |
S (l) |
l u nm |
S (l) |
l u nm |
S (l) |
l u nm |
S (l) |
l u nm |
S (l) |
180 |
0,0120 |
228 |
0,1737 |
276 |
0,9434 |
324 |
0,000520 |
372 |
0,000086 |
181 |
0,0126 |
229 |
0,1819 |
277 |
0,9272 |
325 |
0,000500 |
373 |
0,000083 |
182 |
0,0132 |
230 |
0,1900 |
278 |
0,9112 |
326 |
0,000479 |
374 |
0,000080 |
183 |
0,0138 |
231 |
0,1995 |
279 |
0,8954 |
327 |
0,000459 |
375 |
0,000077 |
184 |
0,0144 |
232 |
0,2089 |
280 |
0,8800 |
328 |
0,000440 |
376 |
0,000074 |
185 |
0,0151 |
233 |
0,2188 |
281 |
0,8568 |
329 |
0,000425 |
377 |
0,000072 |
186 |
0,0158 |
234 |
0,2292 |
282 |
0,8342 |
330 |
0,000410 |
378 |
0,000069 |
187 |
0,0166 |
235 |
0,2400 |
283 |
0,8122 |
331 |
0,000396 |
379 |
0,000066 |
188 |
0,0173 |
236 |
0,2510 |
284 |
0,7908 |
332 |
0,000383 |
380 |
0,000064 |
189 |
0,0181 |
237 |
0,2624 |
285 |
0,7700 |
333 |
0,000370 |
381 |
0,000062 |
190 |
0,0190 |
238 |
0,2744 |
286 |
0,7420 |
334 |
0,000355 |
382 |
0,000059 |
191 |
0,0199 |
239 |
0,2869 |
287 |
0,7151 |
335 |
0,000340 |
383 |
0,000057 |
192 |
0,0208 |
240 |
0,3000 |
288 |
0,6891 |
336 |
0,000327 |
384 |
0,000055 |
193 |
0,0218 |
241 |
0,3111 |
289 |
0,6641 |
337 |
0,000315 |
385 |
0,000053 |
194 |
0,0228 |
242 |
0,3227 |
290 |
0,6400 |
338 |
0,000303 |
386 |
0,000051 |
195 |
0,0239 |
243 |
0,3347 |
291 |
0,6186 |
339 |
0,000291 |
387 |
0,000049 |
196 |
0,0250 |
244 |
0,3471 |
292 |
0,5980 |
340 |
0,000280 |
388 |
0,000047 |
197 |
0,0262 |
245 |
0,3600 |
293 |
0,5780 |
341 |
0,000271 |
389 |
0,000046 |
198 |
0,0274 |
246 |
0,3730 |
294 |
0,5587 |
342 |
0,000263 |
390 |
0,000044 |
199 |
0,0287 |
247 |
0,3865 |
295 |
0,5400 |
343 |
0,000255 |
391 |
0,000042 |
200 |
0,0300 |
248 |
0,4005 |
296 |
0,4984 |
344 |
0,000248 |
392 |
0,000041 |
201 |
0,0334 |
249 |
0,4150 |
297 |
0,4600 |
345 |
0,000240 |
393 |
0,000039 |
202 |
0,0371 |
250 |
0,4300 |
298 |
0,3989 |
346 |
0,000231 |
394 |
0,000037 |
203 |
0,0412 |
251 |
0,4465 |
299 |
0,3459 |
347 |
0,000223 |
395 |
0,000036 |
204 |
0,0459 |
252 |
0,4637 |
300 |
0,3000 |
348 |
0,000215 |
396 |
0,000035 |
205 |
0,0510 |
253 |
0,4815 |
301 |
0,2210 |
349 |
0,000207 |
397 |
0,000033 |
206 |
0,0551 |
254 |
0,5000 |
302 |
0,1629 |
350 |
0,000200 |
398 |
0,000032 |
207 |
0,0595 |
255 |
0,5200 |
303 |
0,1200 |
351 |
0,000191 |
399 |
0,000031 |
208 |
0,0643 |
256 |
0,5437 |
304 |
0,0849 |
352 |
0,000183 |
400 |
0,000030 |
209 |
0,0694 |
257 |
0,5685 |
305 |
0,0600 |
353 |
0,000175 |
|
|
210 |
0,0750 |
258 |
0,5945 |
306 |
0,0454 |
354 |
0,000167 |
|
|
211 |
0,0786 |
259 |
0,6216 |
307 |
0,0344 |
355 |
0,000160 |
|
|
212 |
0,0824 |
260 |
0,6500 |
308 |
0,0260 |
356 |
0,000153 |
|
|
213 |
0,0864 |
261 |
0,6792 |
309 |
0,0197 |
357 |
0,000147 |
|
|
214 |
0,0906 |
262 |
0,7098 |
310 |
0,0150 |
358 |
0,000141 |
|
|
215 |
0,0950 |
263 |
0,7417 |
311 |
0,0111 |
359 |
0,000136 |
|
|
216 |
0,0995 |
264 |
0,7751 |
312 |
0,0081 |
360 |
0,000130 |
|
|
217 |
0,1043 |
265 |
0,8100 |
313 |
0,0060 |
361 |
0,000126 |
|
|
218 |
0,1093 |
266 |
0,8449 |
314 |
0,0042 |
362 |
0,000122 |
|
|
219 |
0,1145 |
267 |
0,8812 |
315 |
0,0030 |
363 |
0,000118 |
|
|
220 |
0,1200 |
268 |
0,9192 |
316 |
0,0024 |
364 |
0,000114 |
|
|
221 |
0,1257 |
269 |
0,9587 |
317 |
0,0020 |
365 |
0,000110 |
|
|
222 |
0,1316 |
270 |
1,0000 |
318 |
0,0016 |
366 |
0,000106 |
|
|
223 |
0,1378 |
271 |
0,9919 |
319 |
0,0012 |
367 |
0,000103 |
|
|
224 |
0,1444 |
272 |
0,9838 |
320 |
0,0010 |
368 |
0,000099 |
|
|
225 |
0,1500 |
273 |
0,9758 |
321 |
0,000819 |
369 |
0,000096 |
|
|
226 |
0,1583 |
274 |
0,9679 |
322 |
0,000670 |
370 |
0,000093 |
|
|
227 |
0,1658 |
275 |
0,9600 |
323 |
0,000540 |
371 |
0,000090 |
|
|
B (l), R (l) [BEZ DIMENZIJA], OD 380 NM DO 1400 NM
l u nm |
B (l) |
R (l) |
300 ≤ l < 380 |
0,01 |
- |
380 |
0,01 |
0,1 |
385 |
0,013 |
0,13 |
390 |
0,025 |
0,25 |
395 |
0,05 |
0,5 |
400 |
0,1 |
1 |
405 |
0,2 |
2 |
410 |
0,4 |
4 |
415 |
0,8 |
8 |
420 |
0,9 |
9 |
425 |
0,95 |
9,5 |
430 |
0,98 |
9,8 |
435 |
1 |
10 |
440 |
1 |
10 |
445 |
0,97 |
9,7 |
450 |
0,94 |
9,4 |
455 |
0,9 |
9 |
460 |
0,8 |
8 |
465 |
0,7 |
7 |
470 |
0,62 |
6,2 |
475 |
0,55 |
5,5 |
480 |
0,45 |
4,5 |
485 |
0,32 |
3,2 |
490 |
0,22 |
2,2 |
495 |
0,16 |
1,6 |
500 |
0,1 |
1 |
500 < l ≤ 600 |
100,02 · (450 - l) |
1 |
600 < l ≤ 700 |
0,001 |
1 |
700 < l ≤ 1050 |
- |
100,002 · (700 - l) |
1050 < l ≤ 1150 |
- |
0,2 |
1150 < l ≤ 1200 |
- |
0,2 · 100,02 · (1 150 - l) |
1200 < l ≤ 1400 |
- |
0,02 |
GRANIČNE VREDNOSTI IZLOŽENOSTI ZRAČENJU ZA LASERSKO OPTIČKO ZRAČENJE
Odgovarajuće biofizičke vrednosti izlaganja optičkom zračenju mogu se utvrditi na osnovu sledećih formula, koje zavise od opsega zračenja koje emituje izvor. Rezultate treba uporediti sa odgovarajućim graničnim vrednostima izloženosti iz Tabela od 2.2 do 2.4. Za jedan izvor optičkog zračenja može biti bitna više od jedne vrednosti izloženosti i odgovarajuće granične vrednosti izloženosti.
Koeficijenti koji se koriste prilikom izračunavanja u Tabelama od 2.2 do 2.4 navedeni su u Tabeli 2.5, a korekcije za ponovljeno izlaganje navedene su u Tabeli 2.6.
E = |
dP |
[W m-2] |
dA |

Oznake u Prilogu 2. imaju sledeće značenje:
dP elementarna snaga izražena u vatima [W];
dA elementarna površina izražena u kvadratnim metrima [m-2];
E (t), E iradijansa ili gustina snage: snaga upadnog zračenja po jedinici površine obično izražena u vatima po kvadratnom metru [W m -2]; vrednosti E (t) i E dobijaju se merenjem ili ih može dati proizvođač opreme;
H izloženost zračenju: integral iradijanse po vremenu, izražen u džulima po kvadratnom metru [J m-2];
t vreme, trajanje izlaganja, izraženo u sekundama [s];
l talasna dužina, izražena u nanometrima [nm];
g konusni ugao merenja koji ograničava vidno polje, izražen u miliradijanima [mrad];
gm vidno polje merenja, izraženo u miliradijanima [mrad];
α ugao koji odgovara izvoru, izražen u miliradijanima [mrad];
ograničavajući otvor: kružna površina duž koje se izračunava srednja vrednost iradijanse i izloženosti zračenju;
G integrisano zračenje: integral zračenja tokom datog vremena izloženosti, izražen kao energija zračenja po jedinici površine koja zrači i jediničnom prostornom uglu emisije, u džulima po kvadratnom metru po steradijanu [J m-2 sr-1].
OPASNOSTI ZRAČENJA
Talasna dužina [nm] |
Opseg zračenja |
Zahvaćeni organ |
Opasnost |
Tabela graničnih vrednosti |
od 180 do 400 |
UV |
oko |
fotohemijsko oštećenje i termičko oštećenje |
2.2, 2.3 |
od 180 do 400 |
UV |
koža |
eritem |
2.4 |
od 400 do 700 |
vidljivo |
oko |
oštećenje mrežnjače |
2.2 |
od 400 do 600 |
vidljivo |
oko |
fotohemijsko oštećenje |
2.3 |
od 400 do 700 |
vidljivo |
koža |
termičko oštećenje |
2.4 |
od 700 do 1400 |
IRA |
oko |
termičko oštećenje |
2.2, 2.3 |
od 700 do 1400 |
IRA |
koža |
termičko oštećenje |
2.4 |
od 1400 do 2600 |
IRB |
oko |
termičko oštećenje |
2.2 |
od 2600 do 106 |
IRC |
oko |
termičko oštećenje |
2.2 |
od 1400 do 106 |
IRB, IRC |
oko |
termičko oštećenje |
2.3 |
od 1400 do 106 |
IRB, IRC |
koža |
termičko oštećenje |
2.4 |
GRANIČNE VREDNOSTI IZLOŽENOSTI ZA IZLAGANJE OKA LASERSKOM ZRAČENJU - KRATKOTRAJNA IZLOŽENOST < 10 S
Talasna dužinaa [nm] |
Otvor |
Trajanje [s] |
|||||||||||
10-13 do 1-11 |
10-11 do 10-9 |
10-9 do 10-7 |
10-7 do 1,8 · 10-5 |
1,8 · 10-5 do 5 · 10-5 |
5 · 10-5 do 10-3 |
10-3 do 101 |
|||||||
UVC |
180 do 280 |
|
E=3 · 1010 [Wm-2] |
H = 30 [J m-2] |
|||||||||
UVB |
280 do 302 |
||||||||||||
303 |
1mm za t<0.3 s; 1,5 · t0,375 za 0.3<t<10 s |
H = 40 [J m-2]; |
ako je t < 2,6 · 10-9 tada je H=5,6 · 103 t0,25 [J m-2] vidi napomenug |
||||||||||
304 |
H = 60 [J m-2]; |
ako je t < 1,3 · 10-8 tada je H=5,6 ·103 t0,25 [J m-2] vidi napomenug |
|||||||||||
305 |
H = 100 [J m-2]; |
ako je t < 1,0 · 10-7 tada je H=5,6 · 103 t0,25 [J m-2] vidi napomenug |
|||||||||||
306 |
H = 160 [J m-2]; |
ako je t < 6,7 · 10-7 tada je H=5,6 · 103 t0,25 [J m-2] vidi napomenug |
|||||||||||
307 |
H = 250 [J m-2]; |
ako je t < 4,0 · 10-6 tada je H=5,6 · 103 t0,25 [J m-2] vidi napomenug |
|||||||||||
308 |
H = 400 [J m-2]; |
ako je t < 2,6 · 10-5 tada je H=5,6 · 103 t0,25 [J m-2] vidi napomenug |
|||||||||||
309 |
H = 630 [J m-2]; |
ako je t < 1,6 · 10-4 tada je H=5,6 · 103 t0,25 [J m-2] vidi napomenug |
|||||||||||
310 |
H = 103 [J m-2]; |
ako je t < 1,0 · 10-3 tada je H=5,6 · 103 t0,25 [J m-2] vidi napomenug |
|||||||||||
311 |
H = 1,6·103 [J m-2]; |
ako je t < 6,7 · 10-3 tada je H=5,6 · 103 t0,25 [J m-2] vidi napomenug |
|||||||||||
312 |
H = 2,5·103 [J m-2] |
ako je t < 4,0 · 10-2 tada je H=5,6 · 103 t0,25 [J m-2] vidi napomenug |
|||||||||||
313 |
H = 4,0·103 [J m-2] |
ako je t < 2,6 · 10-1 tada je H=5,6 · 103 t0,25 [J m-2] vidi napomenug |
|||||||||||
314 |
H = 6,3·103 [J m-2] |
ako je t < 1,6 · 100 tada je H=5,6 · 103 t0,25 [J m-2] vidi napomenug |
|||||||||||
UVA |
315 do 400 |
H=5,6 · 103 t0,25 [J m-2] |
|||||||||||
Vidljivost i IRA |
400 do 700 |
7mm |
H = 1,5·10-4 CE [J m-2] |
H = 2,7·104 t0,75 CE [J m-2] |
H = 5·10-3 CE [J m-2] |
H = 18 · t0,75 CE [J m-2] |
|||||||
700 do 1050 |
H = 1,5·10-4 CACE [J m-2] |
H = 2,7·104 t0,75 CA CE [J m-2] |
H = 5·10-3 CACE [J m-2] |
H = 18 ·t0,75 CA CE [J m-2] |
|||||||||
1050 do 1400 |
H = 1,5·10-3 CCCE [J m-2] |
H = 2,7·105 t0,75 CCCE [J m-2] |
H = 5·10-2 CCCE [J m-2] |
H = 90 · t0,75 5 CC CE [J m-2] |
|||||||||
IRB i IRC |
1400 do 1500 |
Vidi napomenub |
E=1012 [Wm-2] Vidi napomenuv |
H = 103 [J m-2] |
H = 5,6 · 103 t0,25 [J m-2] |
||||||||
1500 do 1800 |
E=1013 [Wm-2] Vidi napomenuv |
H = 104 [J m-2] |
|||||||||||
1800 do 2600 |
E=1012 [Wm-2] Vidi napomenuv |
H = 103 [J m-2] |
H = 5,6 · 103 t0,25 [J m-2] |
||||||||||
2600 do 106 |
E=1011 [Wm-2] Vidi napomenuv |
H = 100 [J m-2] |
H = 5,6·103 · t0,25 [J m-2] |
||||||||||
______________
aAko talasnu dužinu lasera pokrivaju dve granične vrednosti, primenjuje se ona restriktivnija.
bKada je 1400 ≤ l < 105 nm: prečnik otvora = 1 mm za t < 0,3 s i 1,5 t0,375 mm za 0,3 s < t < 10 s; kada je 105 ≤ l < 106 nm: prečnik otvora = 11 mm.
vZbog nedostatka podataka za navedene talasne dužine pulseva, ICNIRP preporučuje korišćenje ograničenja iradijanse od 1 ns.
gTabela daje ograničenja za pojedinačne laserske pulseve. U slučaju višestrukih laserskih pulseva, trajanja laserskih pulseva koji su unutar intervala od Tmin (data u Tabeli 2.6) moraju se sabrati i vrednost tako dobijenog vremena mora se uneti umesto t u formuli: 5,6 · 103 t0,25.
GRANIČNE VREDNOSTI IZLOŽENOSTI ZA IZLAGANJE OKA LASERSKOM ZRAČENJU - DUGOTRAJNA IZLOŽENOST ≥ 10 S
Talasna dužinaa [nm] |
Otvor |
Trajanje [s] |
||||
101 do 102 |
102 do 104 |
104 do 3 · 104 |
||||
UVC |
180 do 280 |
3,5 mm |
H = 30 [J m-2] |
|||
|
280 do 302 |
|
||||
|
303 |
H = 40 [J m-2] |
||||
|
304 |
H = 60 [J m-2] |
||||
|
305 |
H = 100 [J m-2] |
||||
|
306 |
H = 160 [J m-2] |
||||
|
307 |
H = 250 [J m-2] |
||||
|
308 |
H = 400 [J m-2] |
||||
UVB |
309 |
H = 630 [J m-2] |
||||
|
310 |
H = 1,0 · 103 [J m-2] |
||||
|
311 |
H = 1,6 · 103 [J m-2] |
||||
|
312 |
H = 2,5 · 103 [J m-2] |
||||
|
313 |
H = 4,0 · 103 [J m-2] |
||||
|
314 |
H = 6,3 · 103 [J m-2] |
||||
UVA |
315 do 400 |
H =104 [J m-2] |
||||
Vidljivost 400-700 |
400 do 600 |
7mm |
H = 100 CB [J m-2] |
E = 1 CB [W m-2]; (g = 1,1 t0,5 mrad)g |
E = 1 CB [W m-2]; |
|
|
400 do 700 |
ako je a< 1,5 mrad |
tada je E = 10 [W m-2] |
|||
IRA |
700 do 1400 |
7mm |
ako je a< 1,5 mrad |
tada je E = 10 CA CC [W m-2] |
||
IRB&IRC |
1400 do 106 |
Vidi napomenuv |
E = 1000 [W m-2] |
|||
______________
aAko su talasna dužina ili drugo svojstvo lasera pokriveni sa dve granične vrednosti, primenjuje se ona restriktivnija.
bZa male izvore kojima odgovara ugao jednak ili manji od 1,5 mrad, vidljive duple granične vrednosti E od 400 nm do 600 nm smanjuju se na termičke granične vrednosti za 10 s ≤ t < T1 i na fotohemijske granične vrednosti za duža vremena. Za T1 i T2 videti Tabelu 2.5. Granična vrednost za fotohemijsku opasnost mrežnjače može se takođe izraziti i kao vremenski integrisana radijansa G = 106 CB [Jm-2sr-1] za t >10 s do t = 10000 s i L = 100 CB [Wm-2sr-1] za t > 10000 s. Za merenje G i L gm, mora se koristiti kao vidno polje za izračunavanje srednje vrednosti. Zvanična granica između vidljivog i infracrvenog zračenja je 780 nm, kako je definisala CIE. Kolona sa nazivima opsega talasnih dužina treba samo da pruži bolji pregled korisniku. (Oznaku G koristi CEN; oznaku Lt koristi CIE; oznaku Lp koriste IEC i CENELEC.)
vZa talasnu dužinu 1400 nm do 105 nm: prečnik otvora = 3,5 mm; za talasnu dužinu 105 nm do 106 nm: prečnik otvora = 11 mm.
gZa merenje vrednosti izlaganja g se definiše na sledeći način: ako je a (ugaona obuhvaćenost izvora) >g (ograničavajući konusni ugao, naveden u zagradama u odgovarajućoj koloni), onda vidno polje merenja gm treba da bude data vrednost g, (ako se koristi veće vidno polje merenja, onda bi opasnost bila precenjena). Ako je a<g onda vidno polje merenja gm treba da bude dovoljno veliko da u potpunosti prekrije izvor, ali inače nije ograničeno i može biti veće od g.
GRANIČNE VREDNOSTI IZLOŽENOSTI ZA IZLAGANJE KOŽE LASERU
Talasna dužinaa [nm] |
Otvor |
Trajanje [s] |
||||||
< 10-9 |
10-9 do 10-7 |
10-7 do 10-3 |
10-3 do 101 |
101 do 103 |
103 do 3 · 104 |
|||
UV (A,B,C) |
180 do 400 |
3,5 mm |
E = 3 · 1010 [Wm-2] |
Isto kao granične vrednosti izlaganja oka |
||||
Vidljivost i |
400 do 700 |
3,5 mm |
E = 2 · 1011 [Wm-2] |
H=200 CA |
H=1,1 · 104CAt0,25 [J m-2] |
E = 2 · 103CA [Wm-2] |
||
700 do 1400 |
E = 2 · 1011 CA [Wm-2] |
[Jm-2] |
||||||
IRB i |
1400 do 1500 |
E = 1012 [Wm-2] |
Isto kao granične vrednosti izlaganja oka |
|||||
1500 do 1800 |
E = 1013 [Wm-2] |
|||||||
1800 do 2600 |
E = 1012 [Wm-2] |
|||||||
2600 do 106 |
E = 1011 [Wm-2] |
|||||||
______________
aAko talasnu dužinu ili drugo svojstvo lasera pokrivaju dve granične vrednosti, primenjuje se ona restriktivnija.
PRIMENJENI KOREKCIONI FAKTORI I OSTALI PARAMETRI ZA IZRAČUNAVANJA
Parametar kao što je navedeno u ICNIRP |
Važeći spektralni opseg |
Vrednost |
CA |
l < 700 |
CA = 1,0 |
700 do 1050 |
CA = 10 0,002(l- 700) |
|
1050 do 1400 |
CA = 5,0 |
|
CB |
400 do 450 |
CB = 1,0 |
450 do 700 |
CB = 10 0,02(l- 450) |
|
CC |
700 do 1150 |
CC = 1,0 |
1150 do 1200 |
CC = 10 0,018(l - 1150) |
|
1200 do 1400 |
CC = 8,0 |
|
T1 |
l < 450 |
T1 = 10 s |
450 do 500 |
T1 = 10 · [10 0,02(l-450)] s |
|
l > 500 |
T1 = 100 s |
|
Parametar kao što je navedeno u ICNIRP |
Važeći za biološki uticaj |
Vrednost |
amin |
Svi termički uticaji |
amin =1,5 mrad |
Parametar kao što je navedeno u ICNIRP |
Važeći ugaoni opseg (mrad) |
Vrednost |
CE |
a<amin |
CE = 1,0 |
amin < a < 100 |
CE = a/amin |
|
a > 100 |
CE = a2/(amin ·amax)mrad sa amax = 100 mrad |
|
T2 |
a < 1,5 |
T2 = 10 s |
1,5 < a < 100 |
T2 = 10 · [10 (a · 1,5) · 98,5] s |
|
a > 100 |
T2 = 100 s |
|
Parametar kao što je navedeno u ICNIRP |
Važeći opseg vremena izlaganja (s) |
Vrednost |
g |
t ≤ 100 |
g = 11 [mrad] |
100 < t < 104 |
g = 1,1 t0,5 [mrad] |
|
t > 104 |
g = 110 [mrad] |
KOREKCIJE ZA IZLAGANJE KOJE SE PONAVLJA
Svako od naredna tri opšta pravila treba da se primenjuje na sva izlaganja koja se ponavljaju, izazivaju ih ponavljajući pulsni ili skenirajući laserski sistemi.
1. Izlaganje koje izaziva bilo koji pojedinačni puls u nizu pulseva ne sme preći graničnu vrednost za trajanje pojedinačnog pulsa.
2. Izlaganje grupi pulseva (ili podgrupi pulseva u nizu) koje se dešava u vremenu t ne sme preći graničnu vrednost izlaganja za vreme t.
3. Izlaganje pojedinačnom pulsu u grupi pulseva ne sme preći graničnu vrednost izlaganja pojedinačnom pulsu pomnoženu sa kumulativno-termičkim korekcionim faktorom Cp=N-0,25 gde je N broj pulseva. Ovo pravilo se primenjuje samo na granične vrednosti za zaštitu od termičkih povreda, gde se svi pulsevi koji teraju kraće od Tmin tretiraju kao pojedinačni puls.
Parametar |
Važeći spektralni opseg (nm) |
Vrednost |
Tmin |
315 <l≤ 400 |
Tmin = 10-9 s (= 1 ns) |
400 <l≤ 1050 |
Tmin = 18 · 10-6 s (= 18 µs) |
|
1050 <l≤ 1400 |
Tmin = 50 · 10-6 s (= 50 µs) |
|
1400 <l≤ 1500 |
Tmin = 10-3 s (= 1 ms) |
|
1500 <l≤ 1800 |
Tmin = 10 s |
|
1800 <l≤ 2600 |
Tmin = 10-3 s (= 1 ms) |
|
2600 <l≤ 106 |
Tmin = 10-7 s (= 100 ns) |






















