PRAVILNIK O NAČINU I USLOVIMA ZA MERENJE KOLIČINE I ISPITIVANJE KVALITETA OTPADNIH VODA I NJIHOVOG UTICAJA NA RECIPIJENT I SADRŽINI IZVEŠTAJA O IZVRŠENIM MERENJIMA("Sl. glasnik RS", br. 18/2024) |
Ovim pravilnikom bliže se propisuju način, uslovi i mesto za postavljanje uređaja za merenje količina, uzimanje uzoraka i ispitivanje kvaliteta otpadnih voda i njihovog uticaja na recipijent, kao i sadržina izveštaja o izvršenim merenjima količina i ispitivanja kvaliteta otpadnih voda i njihovog uticaja na recipijent i način i rokovi njegovog dostavljanja.
Pojedini izrazi, u smislu ovog pravilnika, imaju sledeće značenje:
1) monitoring otpadnih voda (u daljem tekstu: monitoring) je merenje količine i ispitivanje kvaliteta otpadnih voda koje ima za cilj da obezbedi informacije i neophodne podatke o količinama otpadnih voda, koncentraciji i masenom protoku zagađujućih materija u otpadnim vodama i prečišćenim otpadnim vodama;
2) kompozitni uzorak je mešavina pojedinačnih uzoraka otpadne vode ili prečišćene otpadne vode uzetih u određenom vremenskom intervalu. Učestalost uzimanja pojedinačnih uzoraka od kojih se priprema kompozitni uzorak zavisi od protoka otpadnih i prečišćenih otpadnih voda. Kompozitni uzorak je proporcionalan vremenu ili protoku;
3) reprezentativni uzorak je uzorak koji reprezentuje aktuelni sastav otpadne vode;
4) trenutni uzorak je uzorak uzet u datom trenutku sa određenog mesta.
II MERENJE KOLIČINE I ISPITIVANJE KVALITETA OTPADNIH VODA - MONITORING
Svrha merenja količine i ispitivanja kvaliteta otpadnih voda
Svrha merenja količine i ispitivanja kvaliteta otpadnih voda jeste:
1) provera usaglašenosti sa graničnim vrednostima emisije zagađujućih materija u vode (u daljem tekstu: GVE) i efikasnosti rada postrojenja za prečišćavanje otpadnih voda;
2) utvrđivanje uticaja ispuštenih otpadnih voda na prijemnik;
3) prikupljanje podataka za vođenje registara u skladu sa propisima u oblasti voda i zaštite životne sredine.
Monitoring otpadnih voda vrši se u skladu sa Prilogom 1 - Tehnički uslovi za sprovođenje monitoringa (u daljem tekstu: Prilog 1), preko pravnog lica ovlašćenog za ispitivanje otpadnih voda ili samostalno ukoliko su za to ispunjeni uslovi u skladu sa zakonom kojim se uređuju vode.
Monitoring otpadnih voda koje se prečišćavaju vrši se pre i posle njihovog prečišćavanja.
Ako u procesu proizvodnje u određenom pogonu ili delu pogona nastaju otpadne vode koje sadrže opasne materije, vrši se monitoring unutrašnjih tokova tih otpadnih voda pre njihovog spajanja sa drugim tokovima otpadnih voda.
Učestalost merenja količine i ispitivanja kvaliteta otpadnih voda vrši se u skladu sa dinamikom nastajanja otpadnih voda i primenjenim metodama za njihovo prečišćavanje ili predtretman, a na osnovu propisa kojim se uređuju GVE i u skladu sa Prilogom 2 - Uzorkovanje otpadnih voda (u daljem tekstu: Prilog 2), tačka 3. - Minimalan broj uzorkovanja kod periodičnih merenja.
Prilozi 1. i 2, odštampani su uz ovaj pravilnik i čine njegov sastavni deo.
Monitoring obuhvata:
1) merenje protoka otpadne vode za vreme uzorkovanja na datom mernom mestu, odnosno merenje količine otpadnih voda;
2) uzorkovanje otpadnih voda za potrebe njihovog ispitivanja;
3) merenja i ispitivanja koja se sprovode na terenu kao što su: temperatura vode i vazduha, pH otpadnih voda tokom perioda uzorkovanja, sadržaj kiseonika, barometarski pritisak, elektroprovodljivost, izgled (prisustvo kapljica ulja, krpe, dlake itd.), taložive materije, miris, promena boje;
4) pripremu, transport i skladištenje uzoraka otpadnih voda;
5) ispitivanje osnovnih i specifičnih fizičko-hemijskih i hemijskih parametara koji obuhvataju i ekotoksikološke parametre i mikrobiološku analizu otpadnih voda i dr.;
6) izradu izveštaja o izvršenim merenjima.
Pored aktivnosti iz stava 1. ovog člana, monitoring obuhvata i:
1) prikupljanje podataka o uslovima za sprovođenje monitoringa u skladu sa Prilogom 1. ovog pravilnika, kao i izračunavanja;
2) izračunavanje prosečne vrednosti emisije zagađujućih materija, emisije toplote (ako temperatura otpadne vode prelazi propisanu graničnu vrednost za recipijent), godišnje količine otpadnih voda u skladu sa Prilogom 3 - Izračunavanje prosečne vrednosti parametara (u daljem tekstu: Prilog 3);
3) izračunavanje emitovanih zagađujućih materija (opterećenje otpadnih voda) u skladu sa Prilogom 4 - Izračunavanje opterećenja otpadnih voda (emitovane količine - u daljem tekstu: Prilog 4);
4) izračunavanje masenog bilansa otpadnih voda u skladu sa Prilogom 5 - Izračunavanje masenog bilansa (u daljem tekstu: Prilog 5);
5) izračunavanje emisionog faktora u skladu sa Prilogom 6 - Emisioni faktori (u daljem tekstu: Prilog 6);
6) proračun efikasnosti prečišćavanja otpadnih voda za određene parametre.
Prilozi 3-6, odštampani su uz ovaj pravilnik i čine njegov sastavni deo.
Monitoring otpadnih voda sprovodi se:
1) kontinualno, kada se vrši 24-časovno merenje količine otpadne vode, osnovnih i specifičnih parametara kvaliteta otpadnih voda, u skladu sa propisom kojim se uređuju GVE i/ili vodnom dozvolom ili integrisanom dozvolom, a posebno u slučaju kada otpadna voda sadrži opasne materije;
2) periodično, u slučajevima kada otpadna voda nastaje i ispušta se periodično u redovnim vremenskim intervalima tokom godine ili u toku sezonskog rada ukoliko se otpadna voda ne ispušta tokom cele kalendarske godine. U tom slučaju vrši se uzimanje 2-časovnog ili trenutnog uzorka i merenje količine otpadne vode tokom uzorkovanja, kao i ispitivanje osnovnih i specifičnih parametara u skladu sa propisom kojim se uređuju GVE i/ili vodnom dozvolom i integrisanom dozvolom.
III NAČIN I USLOVI ZA MERENJE KOLIČINE OTPADNIH VODA
Merenje količine otpadnih voda
Merenje količine vrši se za komunalne, tehnološke i rashladne otpadne vode, kontinualno ili diskontinualno.
Kontinualno merenje se vrši u slučaju konstantnog nastajanja i ispuštanja otpadnih voda, pomoću uređaja za merenje protoka i njime se obezbeđuju podaci o:
1) protoku otpadnih voda;
2) godišnjoj količini otpadnih voda;
3) najvećem 6-časovnom prosečnom protoku otpadnih voda;
4) najvećoj dnevnoj količini otpadnih voda;
5) količini i prosečnoj vrednosti protoka otpadnih voda u toku uzorkovanja otpadnih voda.
Diskontinualno merenje se vrši u slučaju sezonskih/povremenih aktivnosti kada je nastajanje i ispuštanje otpadne vode povremeno.
Merenje protoka otpadnih voda u toku uzorkovanja radi ispitivanja kvaliteta otpadnih voda vrši se u skladu sa stavom 3. ovog člana.
Izuzetno od merenja protoka iz stava 4. ovog člana, količina otpadnih voda u toku uzorkovanja se ne meri u slučaju:
1) kada je projektovani godišnji obim tehnološke i rashladne otpadne vode iz postrojenja manji od 30 m 3/dan ili ukoliko zbog malog protoka tih otpadnih voda merenje nije moguće, ili
2) malih komunalnih sistema za prečišćavanje otpadnih voda koji prečišćavaju otpadnu vodu za naselja manja od 500 ES, gde mali protok otpadnih voda ne omogućava merenja tog protoka.
Količina otpadne vode iz stava 5. ovog člana izračunava se iz potrošnje vode.
Merenje količine otpadnih voda vrši se u skladu sa referentnim, standardnim i akreditovanim metodama prema zahtevu standarda SRPS ISO/IEC 17025.
Izračunavanje godišnje količine otpadnih voda
Godišnja količina otpadnih voda utvrđuje se merenjima otpadnih voda pre uliva u recipijent.
Prosečni dnevni protok koji služi za izračunavanje dnevnog opterećenja iz Priloga 5. ovog pravilnika izračunava se na osnovu godišnjeg protoka.
U slučaju iz člana 7. stav 5. ovog pravilnika, godišnja količina otpadnih voda dobija se:
1) iz podataka o potrošnji vode;
2) iz razlike količine zahvaćene vode i količine vode koja je ugrađena u proizvod i iskorišćena za sanitarne potrebe ili iz zapremine rezervoara za ujednačavanje ili reaktora za serijsku obradu otpadnih voda i učestalosti njihovog pražnjenja.
Godišnja učestalost periodičnih merenja za uređaje za koje se vrši diskontinualno merenje izvodi se i raspoređuje ravnomerno u periodu rada uređaja u sezoni.
Godišnja količina otpadnih voda određuje se za kalendarsku godinu na koju se odnosi monitoring.
Način, uslovi i mesto merenja količine otpadnih voda
Merenje količine otpadnih voda, odnosno protoka vrši se uređajima za merenje koji su postavljeni, ugrađeni na cevovodu ili šahtu profila koji formira visinu vodenog stuba koji se podudara sa odgovarajućim protokom vode.
Postavljeni uređaj za merenje protoka otpadne vode etaloniran je od strane akreditovane laboratorije za poslove etaloniranja prema standardu SRPS ISO/IEC 17025.
Uređaj za merenje protoka iz stava 1. ovog člana postavlja se neposredno pre ispuštanja otpadnih voda u recipijent, odnosno javnu kanalizaciju.
Pri merenju protoka otpadnih voda koje sadrže opasne materije koristi se merno mesto (šaht) na ulazu otpadnih voda u uređaj za prečišćavanje ili se koristi merno mesto na izlazu iz postrojenja birajući tehnički povoljnije rešenje, ako se može dokazati veza između ova dva protoka.
IV NAČIN I USLOVI ZA ISPITIVANJE KVALITETA OTPADNIH VODA
Ispitivanje kvaliteta otpadnih voda
Ispitivanje kvaliteta otpadnih voda vrši se putem uzoraka.
Uzorak iz stava 1. ovog člana treba da bude reprezentativan sa aspekta kolebanja (promene) količine i kvaliteta otpadne vode i preduzimaju se sve mere predostrožnosti u skladu sa zahtevom standarda SRPS EN ISO 5667-1, SRPS EN ISO 5667-3, SRPS ISO 5667-10 i SRPS EN ISO 5667-14, koje sprečavaju bilo kakve promene u uzorcima u intervalu između uzorkovanja i ispitivanja.
Merenje temperature otpadnih voda
Kontinualna merenja temperature otpadnih voda koja su propisana aktom kojim se uređuju GVE, vrše se tako da se iz njihovih rezultata mogu izračunati dnevne prosečne vrednosti toplotne emisije.
Temperatura otpadne vode se meri na izlazu iz uređaja, u slučaju uređaja (postrojenja), u kojima nastaje samo rashladna otpadna voda iz rashladnih uređaja i uređaja za proizvodnju pare i tople vode, koja ne sadrži zagađujuće materije, a ima termalno zagađenje, ako se ta otpadna voda ispušta direktno u recipijent.
Mesto uzorkovanja otpadnih voda
Mesto uzorkovanja otpadnih voda određuje se uzimajući u obzir promene sastava otpadnih voda u vremenu i mestu nastanka otpadnih voda.
Mesto uzorkovanja je:
1) mesto izliva otpadne vode u recipijent;
2) mesto pre i posle postrojenja za prečišćavanje otpadnih voda;
3) mesto na unutrašnjem toku otpadne vode ukoliko otpadne vode sadrže opasne materije.
Merno mesto za uzorkovanje otpadnih voda je stalno, sa obezbeđenom odgovarajućom veličinom i pristupačnošću, opremljeno tako da se merenja mogu sprovoditi sa tehnički odgovarajućom mernom opremom i bez opasnosti za lice koje vrši uzorkovanje na način dat u Prilogu 2, tačka 1 - Mesto uzorkovanja otpadnih voda.
Uzorkovanje prečišćenih i/ili neprečišćenih otpadnih voda vrši se uzimanjem kompozitnog ili trenutnog uzorka u zavisnosti od dinamike ispuštanja otpadnih voda, kao i od tehnološkog procesa.
Uzorkovanje se vrši tokom ispuštanja otpadnih voda iz radnog procesa i na unapred određenim mernim mestima.
Uzorkovanje otpadnih voda se vrši metodom 24-časovnog kompozitnog uzorka, osim u slučaju kada je drugačije propisano propisom kojim se uređuju GVE, odnosno u slučaju industrija sa dominantnim organskim zagađenjem i u slučaju komunalnih otpadnih voda za koje su periodi uzorkovanja dati u Prilogu 2, tačka 3 - Minimalan broj uzorkovanja kod periodičnih merenja, Tabela 2.1. - Učestalost merenja i vreme uzorkovanja za komunalne otpadne vode i tehnološke otpadne vode sa dominantnim organskim opterećenjem. Kompozitni uzorak može biti uzet proporcionalno vremenu ili protoku, a vrste kompozitnog uzorka u zavisnosti od vremenskog perioda uzorkovanja i slučajevi skraćenja vremena uzorkovanja dati su u Prilogu 2, tačka 2 - Kompozitni uzorak.
Merenje protoka i uzimanje pojedinačnih uzoraka kompozitnog uzorka obavlja se automatski, a ako to nije moguće, pojedinačni uzorci kompozitnog uzorka uzimaju se ručno istovremeno sa merenjem protoka.
Ako se prečišćena otpadna voda ispušta diskontinualno, a vreme ispuštanja nije duže od 24 h, umesto reprezentativnog uzorka uzima se trenutni uzorak na mestu ispuštanja.
Trenutni uzorci uzimaju se u slučaju: kada je sastav otpadnih voda relativno konstantan; kada otpadne vode sadrže mineralna ulja ili isparljive supstance ili kada usled razlaganja, isparavanja ili koagulacije prisutne zagađujuće materije nisu stabilne u uzorku; kada su prisutne odvojene faze (sloj ulja na površini vode); ispitivanja mikrobioloških parametara; provere kvaliteta ispuštene otpadne vode u određenom momentu i usaglašenosti sa uslovima u dozvoli i kada ispuštanje otpadnih voda nije kontinualno ali pod uslovom da su otpadne vode dobro izmešane (tankovi i sl.).
Usklađivanje vremena zadržavanja vode u postrojenju za prečišćavanje otpadnih voda
Prilikom uzimanja uzorka otpadne vode izvan postrojenja za prečišćavanje kada je propisano 24-časovno ili kraće vreme uzorkovanja za dobijanje reprezentativnog uzorka otpadne vode, uzima se u obzir i vreme zadržavanja vode u postrojenju.
Izuzetno, ne uzima se u obzir vreme zadržavanja ako se ustanovi da nema uticaja na izračunavanje masenog bilansa zagađenja i efekta prečišćavanja i objašnjenje za ovaj slučaj se navodi u izveštaju obavljenog merenja.
Minimalni broj uzoraka kod periodičnih merenja
Minimalni godišnji broj uzorkovanja u zavisnosti od veličine postrojenja za prečišćavanje komunalnih otpadnih voda i tehnoloških otpadnih voda sa dominantnim organskim opterećenjem, pri čemu se uzorci prikupljaju u redovnim vremenskim intervalima, dat je Prilogu 2, tačka 3 - Minimalan broj uzorkovanja kod periodičnih merenja, Tabela 2.1. - Učestalost merenja i vreme uzorkovanja za komunalne otpadne vode i tehnološke otpadne vode sa dominantnim organskim opterećenjem.
Minimalni godišnji broj uzorkovanja za ostale tehnološke otpadne vode, pri čemu se uzimanje uzoraka vrši u vreme trajanja tehnološkog procesa, dat je u Prilogu 2. tačka 3 - Minimalan broj uzorkovanja kod periodičnih merenja, Tabela 2.2. - Godišnja učestalost merenja i ispitivanja za ostale tehnološke otpadne vode sa diskontinualnim ispuštanjem.
Osnovni parametri otpadnih voda
Osnovni parametri otpadnih voda su protok (izmeren u toku uzorkovanja, kao i minimalni, maksimalni i srednji dnevni), temperatura vazduha, temperatura vode, barometarski pritisak, boja, miris, vidljive materije, taložive materije (nakon 2h), pH vrednost, BPK5, HPK, sadržaj kiseonika, suvi ostatak, žareni ostatak, gubitak žarenjem, suspendovane materije i elektroprovodljivost.
Merenje i ispitivanje osnovnih parametara vrši se za sve otpadne vode.
Specifični parametri za tehnološke otpadne vode
Ispitivanje specifičnih parametara za tehnološke otpadne vode vrši se u zavisnosti od tehnološkog procesa, a parametri su utvrđeni propisom kojim se uređuju GVE za dati industrijski sektor.
Ispitivanje dodatnih specifičnih parametara vrši se pod uslovom da se u postupku izdavanja vodne i/ili integrisane dozvole, na osnovu analize tehnološkog procesa i kvaliteta vode recipijenta utvrdi da:
1) taj parametar značajno utiče na kvalitet vode recipijenta u koji se direktno ili indirektno ispušta tehnološka otpadna voda, u skladu sa propisima kojima se uređuju status i granične vrednosti zagađujućih materija u površinskim i podzemnim vodama i kvalitet vode za kupanje;
2) postoji rizik da vodno telo u koje se ispuštaju tehnološke otpadne vode neće postići ciljeve zaštite životne sredine zbog tog parametra;
3) vodno telo u koje se ispuštaju tehnološke otpadne vode je preopterećeno zagađenjem, a date otpadne vode sadrže parametar koji je uzrok takvog preopterećenja;
4) parametar, prema propisima kojima se uređuju naknade za zagađivanje voda, ulazi u obračun te naknade;
5) plan upravljanja vodama i program mera zahtevaju praćenje tog parametra za dati recipijent.
Specifični parametri za komunalne otpadne vode
Ispitivanje specifičnih parametara za komunalne otpadne vode, u slučaju kada se otpadna voda ispušta u površinske vode koje se koriste za kupanje i rekreaciju, vodosnabdevanje i navodnjavanje, obuhvata i koliformne bakterije, koliformne bakterije fekalnog porekla i streptokoke fekalnog porekla.
Specifični parametri za komunalne otpadne vode propisani su propisom kojim se uređuju GVE ili aktom jedinice lokalne samouprave o ispuštanju otpadnih voda u javnu kanalizaciju, ukoliko je donet.
Specifični parametri koji zavise od sastava tehnoloških otpadnih voda koje se ulivaju u javnu kanalizaciju, mere se u slučaju kada se otpadne vode iz domaćinstva i industrije zajedno odvode, transportuju i prečišćavaju. Specifični parametri u ovom slučaju obuhvataju parametre koji imaju štetan uticaj na biološku razgradnju otpadnih voda i parametre koji značajno utiču na kvalitet ostataka iz postrojenja ili uređaja za prečišćavanje komunalnih otpadnih voda.
Ispitivanje dodatnih specifičnih parametara vrši se pod uslovom da se u toku postupka izdavanja vodne i/ili integrisane dozvole utvrdi ispuštanje tehnoloških otpadnih voda u javnu kanalizaciju i/ili značajan negativni uticaj na kvalitet vode recipijenta u koji se posredno ili neposredno ispušta otpadna voda iz komunalnog postrojenja za prečišćavanje otpadnih voda u skladu sa propisima kojima se uređuju status, granične vrednosti zagađujućih materija u površinskim i podzemnim vodama, kao i kvalitet vode za kupanje:
1) na osnovu sastava tehnološke otpadne vode koja se ispušta u javnu kanalizaciju;
2) na osnovu ustanovljene prekomerne opterećenosti tim parametrom vode prijemnika u koji se ispuštaju otpadne vode u skladu sa propisima kojima se uređuje status, granične vrednosti zagađujućih materija u površinskim i podzemnim vodama, kao i kvalitet vode za kupanje.
Metode uzorkovanja i ispitivanja
Pri uzorkovanju, pripremi uzoraka, njihovom čuvanju i skladištenju, rukovanju sa uzorcima, kao i pri ispitivanju na terenu i analizi uzoraka otpadnih voda primenjuju se referentne standardne i akreditovane metode prema zahtevu standarda SRPS ISO/IEC 17025.
Ukoliko metode iz stava 1. ovog člana ne postoje, mogu se primeniti odgovarajući međunarodni i evropski standardi kao i nestandardizovane metode razvijene u akreditovanim laboratorijama i validovane prema zahtevu standarda SRPS ISO/IEC 17025 koji daju ekvivalentne rezultate u pogledu merne nesigurnosti ispitivanja, odnosno akreditovane metode u skladu sa zahtevima propisa kojim se uređuju GVE.
V SADRŽINA IZVEŠTAJA O IZVRŠENIM MERENJIMA
Izveštaj o izvršenim merenjima količina i ispitivanja kvaliteta otpadnih voda i njihovog uticaja na recipijent (u daljem tekstu: Izveštaj o izvršenim merenjima i ispitivanjima otpadnih voda) sadrži:
1) podatke o ovlašćenoj akreditovanoj laboratoriji koja je sprovela monitoring i kontakt adresu;
2) podatke o pravnom licu, preduzetniku odnosno fizičkom licu koje u skladu sa zakonom kojim se uređuju vode dostavlja Izveštaj o izvršenim merenjima i ispitivanjima otpadnih voda, kao i o njegovoj aktivnosti;
3) kratak opis proizvodnje (tehnološkog procesa) sa posebnim naglaskom na opasne i prioritetne supstance i podatke iz Priloga 1;
4) situacioni plan sa označenom kanalizacijom, opis tipa kanalizacionog sistema (tehnološki, rashladni, sanitarni ili zbirni) sa označenim mestima za uzorkovanje;
5) datum uzorkovanja i datum prethodnog uzorkovanja;
6) datum ispitivanja;
7) datum prethodnog ispitivanja;
8) podatke o lokaciji i vremenu uzimanja uzoraka uključujući sve informacije o mogućim uticajima na rezultat;
9) situacioni plan sa mestima uzorkovanja;
10) način uzorkovanja i rukovanja uzorkom do analize;
11) vreme uzimanja kompozitnog uzorka;
12) vremenske uslove i količinu otpadne vode tokom uzorkovanja (u slučaju kada se u kanalizaciju ulivaju atmosferske vode);
13) identifikaciju korišćene metode merenja i merne opreme;
14) obim osnovnih i specifičnih parametara otpadne vode;
15) rezultate svakog pojedinačnog merenja količine i kvaliteta, uključujući i merenje pri svakom ispustu za određeni parametar sa mernim jedinicama;
16) zaključak, odnosno usaglašenost izmerenih vrednosti emisije zagađujućih materija sa propisanim graničnim vrednostima;
17) podatke o eventualnim utvrđenim nedostacima mernog mesta;
18) ime i potpis odgovornih lica;
19) priloge.
Rezultati ispitivanja kvaliteta otpadne vode sa ekstremnim vrednostima ne čine sadržinu izveštaja ako su posledica neuobičajenih situacija kao što su obilne padavine, izuzetno niske temperature ili kratkotrajni kvar na postrojenju, što se utvrđuje u skladu sa Prilogom 3. tačka 1 - Rezultati koji znatno odstupaju od drugih merenja.
U slučaju iz stava 1. ovog člana merenje i ispitivanje se ponavlja posle 15 dana od prethodnog merenja i ispitivanja.
Ukoliko se ponove rezultati ekstremnih vrednosti, kao i prilikom prvobitnog merenja, ti rezultati čine sadržinu izveštaja.
Način i rok dostavljanja izveštaja
Izveštaj o izvršenim merenjima i ispitivanjima otpadnih voda overen od strane ovlašćenih pravnih lica dostavlja se Ministarstvu zaštite životne sredine, u vidu elektronskog dokumenta, u skladu sa propisima kojima se uređuju elektronski dokumenti, elektronska identifikacija i usluge od poverenja u elektronskom poslovanju, nakon izvršenog merenja, a u skladu sa propisanim minimalnim godišnjim brojem uzorkovanja.
Agenciji za zaštitu životne sredine izveštaji o izvršenim merenjima i ispitivanjima otpadnih voda dostavljaju se u vidu elektronskog dokumenta, unosom podataka u informacioni sistem Agencije za zaštitu životne sredine, najkasnije do 31. marta tekuće godine za prethodnu godinu.
Danom stupanja na snagu ovog pravilnika prestaje da važi Pravilnik o načinu i uslovima za merenje količine i ispitivanje kvaliteta otpadnih voda i sadržini izveštaja o izvršenim merenjima ("Službeni glasnik RS", broj 33/16).
Ovaj pravilnik stupa na snagu osmog dana od dana objavljivanja u "Službenom glasniku Republike Srbije".
TEHNIČKI USLOVI ZA SPROVOĐENJE MONITORINGA
Sprovođenje monitoringa otpadnih voda vrši se na osnovu prethodno prikupljenih informacija. Sledeće informacije su neophodni preduslovi za sprovođenje monitoringa otpadnih voda:
1) informacije o proizvodnji u pogonu za vreme sprovođenja monitoringa;
2) informacije o poreklu (mestu nastanka) otpadnih voda u proizvodnom procesu (procesne, rashladne, recirkulacione, sanitarne);
3) informacije o režimu rada (ujednačen, promenljiv - sezonski, rad u jednoj, dve ili tri smene);
4) informacije o broju i lokaciji ispusta otpadnih voda;
5) informacije o dinamici ispuštanja otpadnih voda;
6) informacije o postrojenju za prečišćavanje ili predtretman otpadnih voda.
UZORKOVANJE OTPADNIH VODA
1. Mesto uzorkovanja otpadnih voda
Potrebno je da mesta uzorkovanja otpadnih voda budu:
1) lako dostupna (da su u neposrednoj blizini komunikacionih puteva) i vidljivo označena;
2) osigurana od poplava;
3) ograđena i obezbeđena zbog sigurnosti i bezbednosti merne opreme koja se koristi prilikom dužeg vremenskog perioda merenja;
4) na odgovarajućoj udaljenosti pre tačke izliva otpadne vode u recipijent ili kanalizaciju, tako da nema uticaja povratne vode iz recipijenta ili kanalizacije na otpadne vode koje se ulivaju, a to se odnosi i na unutrašnje tokove otpadnih voda.
Mesto za merenje mora biti opremljeno i uređeno tako:
1) da uzorkivaču obezbedi pristup šahtu koji je dovoljne širine, snabdeven penjalicom ili merdevinama i sa dovoljno prostora na dnu šahta, da se omogući rad uzorkivača, ako se oprema ne može montirati sa vrha šahta;
2) da omogući instalaciju odgovarajuće opreme za uzimanje uzoraka i za mogućnost terenskog merenja;
3) da omogući merenje protoka, ako je oprema za merenje instalirana na drugom mestu, ali je povezano sa mestom uzorkovanja tako da omogući istovremeno uzorkovanje i merenje protoka. U slučaju da to nije moguće, na mernom mestu mora se obezbediti laminarno strujanje, pri čemu dužina ravnog dela dovodne cevi pred mernim mestom mora biti barem deset puta veća od prečnika cevi;
4) da se na mernom mestu obezbedi dovoljna dubina otpadnih voda (najmanje 5 cm) kako bi se dopustilo korišćenje podvodne sonde (senzora) za merenje ili postavljanje usisne cevi za uzorkovanje;
5) da se na udaljenosti ne većoj od 5 m od mernog mesta ugradi vodovodna slavina i električne utičnice za napajanje merne opreme i obezbeđivanja osvetljenja mernog mesta sa električnom energijom napona 220 V i 15 A;
6) preporučuje se da se izvrši montaža opreme i sredstava za grubu obradu otpadnih voda (npr. mreža), pre mernog mesta (šaht) za uzimanje uzoraka kako bi se tokom prikupljanja uzoraka, izbegla kontaminacija mernih sondi i začepljenje cevi za uzimanje uzorka (platno, papir, kabasti otpad, mulj, itd.).
Vrste kompozitnog uzorka u zavisnosti od vremenskog perioda uzorkovanja su:
- 24-časovni kompozitni uzorak, komunalnih odnosno tehnoloških otpadnih voda je mešavina pojedinačnih uzoraka uzetih u toku 24 h, proporcionalnih vremenu u slučaju konstantnog protoka ili proporcionalno protoku u slučaju kada zapremina ispuštenih otpadnih voda značajno varira tokom vremena uzorkovanja. Ako je uzorak proporcionalan vremenu, vreme između pojedinačnih uzimanja jednakih količina uzoraka ne sme biti duže od 60 min;
- 6-časovni kompozitni uzorak komunalnih otpadnih voda je mešavina pojedinačnih uzoraka uzetih u toku 6 h, proporcionalnih vremenu u slučaju konstantnog protoka ili protoku u slučaju kada zapremina ispuštenih otpadnih voda značajno varira tokom vremena uzorkovanja. Uzorkovanje se vrši tokom najvećih dnevnih ispuštanja komunalnih otpadnih voda. Ako je uzorak proporcionalan vremenu, vreme između pojedinačnih uzimanja jednakih količina uzoraka ne sme biti duže od 30 min;
- Ako je određeno 6-časovno vreme uzorkovanja, za uređaj koji ispušta industrijsku otpadnu vodu, uslovi su isti kao u prethodnoj tački samo što se u nekim slučajevima vreme uzorkovanja može produžiti u zavisnosti od dinamike proizvodnje (npr. pranje pogona, diskontinualo ispuštanje otpadnih voda itd.);
- 2-časovni kompozitni uzorak otpadnih voda je mešavina jednake količine od najmanje pet trenutnih uzoraka otpadne vode uzetih na istom mestu uzorkovanja u roku od najviše dva sata, u razmaku od 15 min ili se vrši proporcionalno protoku u slučaju kada zapremina ispuštenih otpadnih voda značajno varira tokom vremena uzorkovanja i to u razmaku ne manjem od 5 min.
Kada je propisom kojim se uređuju GVE propisano 24-časovno vreme uzorkovanja kompozitnog uzorka za uređaj koji prečišćava industrijsku otpadnu vodu, vodnom dozvolom ili integrisanom dozvolom može se skratiti vreme uzorkovanja:
- na 14-časovno vreme za kompozitni uzorak, ako se u tom vremenu isprazni više od 85% prosečne dnevne zapremine prečišćenih otpadnih voda. U tom slučaju izračunavanje se vrši na osnovu godišnje količine otpadnih voda za postrojenja za prečišćavanje industrijskih otpadnih voda;
- na 6-časovno vreme za kompozitni uzorak, ako se u tom vremenu isprazni više od 75% prosečne dnevne zapremine prečišćenih otpadnih voda. U tom slučaju izračunavanje se vrši na osnovu godišnje količine otpadne vode koja se prečišćava na postrojenju za prečišćavanje otpadnih voda.
3. Minimalan broj uzorkovanja kod periodičnih merenja
Tabela 2.1. Učestalost merenja i vreme uzorkovanja za komunalne otpadne vode i tehnološke otpadne vode sa dominantnim organskim opterećenjem
Kapacitet postrojenja za prečišćavanje otpadnih voda izražen u ES(1), (ekvivalent stanovnik) |
Učestalost merenja osnovnih i specifičnih parametara |
Period uzorkovanja reprezentativnog uzorka |
< 50 |
1 merenje godišnje |
2 |
50-999 |
2 merenja u toku godine |
2 |
1000-1999 |
4 merenja u toku godine |
6 |
2000-9999 |
prve godine 12 merenja godišnje(4) |
24 |
10000-49 999 |
12 merenja godišnje |
24 |
>50 000 |
24 merenja godišnje |
24 |
(1) Ukoliko nije izgrađeno postrojenje za prečišćavanje komunalnih otpadnih voda, učestalost merenja se određuje u odnosu na planirani kapacitet postrojenja
(2) Prvo merenje mora se sprovesti nakon probnog rada.
(3) Prva godina rada je prva kalendarska godina po dobijanju upotrebne dozvole
(4) Ako se prve godine ispitivanja dokaže da kvalitet prečišćene vode ne prelazi granične vrednosti emisije za zagađujuće materije navedene u aktu kojim se uređuju GVE, narednih godina vrši se analiza samo četiri uzorka. Ako u toku jedne od narednih godina jedan od četiri uzorka ne ispunjava granične vrednosti emisije za zagađujuće materije navedene u ovoj uredbi, učestalost se vraća na 12 uzoraka godišnje.
Tabela 2.2. Godišnja učestalost merenja i ispitivanja za ostale tehnološke otpadne vode sa diskontinualnim ispuštanjem
Protok otpadnih voda na pojedinačnom izlivu |
Otpadne vode koje sadrže opasne materije |
Ostale otpadne vode |
||
Godišnji broj uzoraka |
Učestalost ispitivanja |
Godišnji broj uzoraka |
Učestalost ispitivanja |
|
< 1 |
4 |
jednom u tri meseca |
3 |
jednom u četiri meseca |
1-5 |
6 |
jednom u dva meseca |
4 |
jednom u tri meseca |
5-50 |
12 |
jednom mesečno |
6 |
jednom u dva meseca |
≥ 50 |
24 |
dvaput mesečno |
12 |
jednom mesečno |
IZRAČUNAVANJE PROSEČNE VREDNOSTI PARAMETARA

pri čemu je
LOD - najniža količina posmatranog jedinjenja koja se može detektovati;
LOQ - najniža količina jedinjenja koja se može kvantifikovati;
A - udeo broja merenja manjih od LOD u ukupnom broju merenja;
B - udeo broja merenja, koji je veći ili jednak LOD ali manji od LOQ, u ukupnom broju merenja;
C - udeo broja merenja, koji je jednak ili veći od LOQ u ukupnom broju merenja;
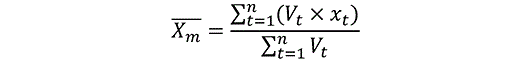
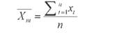
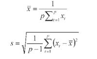
- prosečna vrednost izmerenih vrednosti, koja se računa kao:

pri čemu je:
xt - izmerena vrednost svakog pojedinačnog merenja, jednaka ili veća od LOQ;
Vt - količina otpadne vode, koja se ispušta tokom uzorkovanja;
n - broj merenja.
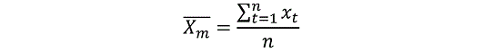
Ako se u toku merenja ne može odrediti protok, prosečna vrednost izmerenih vrednosti se izračunava kao aritmetička sredina izmerenih vrednosti:

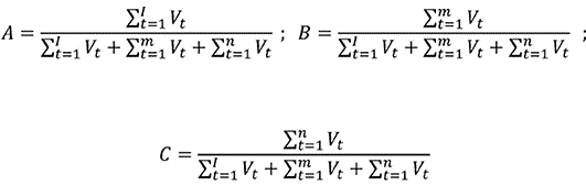
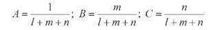
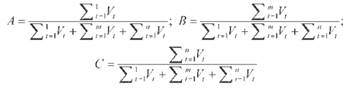
Udeo merenja A, B, C se izračunava kao:

Ako se u toku merenja ne može odrediti protok, uzeti u obzir numeričke udele koji se računaju kao:
![]()
gde je:
I - udeo merenja vrednosti manji od LOD;
m - udeo merenja vrednosti, koji je veći ili jednak LOD ali manji od LOQ;
n - udeo merenja vrednosti, koji je jednak ili veći od LOQ;
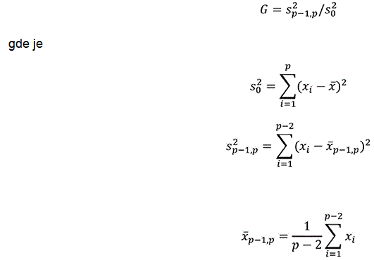
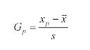
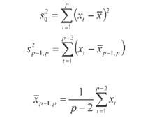
1. Rezultati koji znatno odstupaju od drugih merenja
Rezultati koji znatno odstupaju od drugih merenja (u daljem tekstu: autlajeri) se mogu definisati kao rezultati koji znatno odstupaju od ostalih merenja u seriji, a koje se ne mogu direktno pripisati radu postrojenja ili procesa.
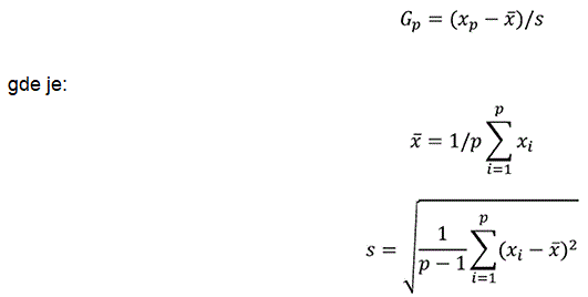
Autlajeri se generalno identifikuju primenom statističkih testova kao što je Grubb test dat u standardnim metodama SRPS ISO 5725-2, opisanom ispod:
Serija merenja sa utvrđenim jednim merenjem koje se značajno razlikuje od drugih merenja, a koje se ne može direktno pripisati radu postrojenja ili procesa
Za dati set podataka xi za i=1,2,3...p, poređati vrednosti od najmanje do najveće, zatim da bi se odredilo da li je najveća vrednost autlajer primenom Grubb testa, izračunati Grubb statistiku, Gp:

Serija merenja sa utvrđena dva merenja koja se značajno razlikuju od drugih merenja, a koja se ne mogu direktno pripisati radu postrojenja ili procesa
Da bi se testiralo da li su dva najveća merenja autlajeri, izračunati Grubb statistiku G:

a) ako je test statistika veća ili jednaka 5% njene kritične vrednosti (Tabela 4.1) rezultat se smatra tačnim, dobijena vrednost se koristi u izračunavanju prosečne vrednosti;
b) ako je test statistika veća od 5% njene kritične vrednosti i manja ili jednaka 1% njene kritične vrednosti (Tabela 4.1) testirana vrednost se naziva "lutalica" i obeležava se jednim apostrofom;
v) ako je test statistika veća od 1% njene kritične vrednosti (Tabela 4.1) vrednost se naziva statistički autlajer i ova vrednost se ne uzima u obzir za proračun prosečne vrednosti.
Tabela 4.1. Kritične vrednosti za Grubb test
p |
Jedna najveća vrednost |
Dve najveće vrednosti |
||
Gornja 1% |
Gornja 5% |
Donja 1% |
Donja 5% |
|
3 |
1,155 |
1,155 |
- |
- |
4 |
1,496 |
1,481 |
0,000 0 |
0,000 2 |
5 |
1,764 |
1,715 |
0,001 8 |
0,009 0 |
6 |
1,973 |
1,887 |
0,011 6 |
0,034 9 |
7 |
2,139 |
2,020 |
0,030 8 |
0,070 8 |
8 |
2,274 |
2,126 |
0,056 3 |
0,110 1 |
9 |
2,387 |
2,215 |
0,085 1 |
0,149 2 |
10 |
2,482 |
2,290 |
0,115 0 |
0,186 4 |
11 |
2,564 |
2,355 |
0,144 8 |
0,221 3 |
12 |
2,636 |
2,412 |
0,173 8 |
0,253 7 |
13 |
2,699 |
2,462 |
0,201 6 |
0,283 6 |
14 |
2,755 |
2,507 |
0,228 0 |
0,311 2 |
15 |
2,806 |
2,549 |
0,253 0 |
0,336 7 |
16 |
2,852 |
2,585 |
0,276 7 |
0,360 3 |
17 |
2,894 |
2,620 |
0,299 0 |
0,382 2 |
18 |
2,932 |
2,651 |
0,320 0 |
0,402 5 |
19 |
2,968 |
2,681 |
0,339 8 |
0,421 4 |
20 |
3,001 |
2,709 |
0,358 5 |
0,439 1 |
21 |
3,031 |
2,733 |
0,376 1 |
0,455 6 |
22 |
3,060 |
2,758 |
0,392 7 |
0,471 1 |
23 |
3,087 |
2,781 |
0,408 5 |
0,485 7 |
24 |
3,112 |
2,802 |
0,423 4 |
0,499 4 |
25 |
3,135 |
2,822 |
0,437 6 |
0,512 3 |
26 |
3,157 |
2,841 |
0,451 0 |
0,524 5 |
27 |
3,178 |
2,859 |
0,463 8 |
0,536 0 |
28 |
3,199 |
2,876 |
0,475 9 |
0,547 0 |
29 |
3,218 |
2,893 |
0,487 5 |
0,557 4 |
30 |
3,236 |
2,908 |
0,498 5 |
0,567 2 |
31 |
3,253 |
2,924 |
0,509 1 |
0,576 6 |
32 |
3,270 |
2,938 |
0,519 2 |
0,585 6 |
33 |
3,286 |
2,952 |
0,528 8 |
0,594 1 |
34 |
3,301 |
2,965 |
0,538 1 |
0,602 3 |
35 |
3,316 |
2,979 |
0,546 9 |
0,610 1 |
36 |
3,330 |
2,991 |
0,555 4 |
0,617 5 |
37 |
3,343 |
3,003 |
0,563 6 |
0,624 7 |
38 |
3,356 |
3,014 |
0,571 4 |
0,631 6 |
39 |
3,369 |
3,025 |
0,578 9 |
0,638 2 |
40 |
3,381 |
3,036 |
0,586 2 |
0,644 5 |
IZRAČUNAVANJE OPTEREĆENJA OTPADNIH VODA (EMITOVANE KOLIČINE)
Godišnja prosečna koncentracija zagađujućih materija (parametra) određuje se na sledeći način:
C = Σ (CUzorka ili Cdnevno) / broj uzoraka
gde je:
CUzorka = merena koncentracija u periodu kraćem od 24 h;
Cdnevno = merena dnevna koncentracija u 24-časovnom kompozitnom uzorku.
U zavisnosti od raspoloživih podataka opterećenje se može izračunati na sledeće načine:
- Koncentracija merena po danu pomnožena sa ispuštenom količinom otpadne vode u toku istog dana. Prosek dnevnog opterećenja određuje se i množi po broju dana ispuštanja u relevantnoj godini, i to:
Korak 1: dnevno opterećenje = (koncentracija) x (dnevni protok)
Korak 2: godišnje opterećenje = (prosečno dnevno opterećenje) x (broj dana ispuštanja)
- Ako ne postoji dnevno merenje ili ispuštanje, određeni dan ili broj dana može da se definiše kao reprezentativan za određeni period. To bi bio slučaj, na primer, za sezonske kompanije koje obavljaju najviše u toku kratkog perioda u godini. Ovaj metod može se primeniti za svakodnevno opterećenje, ali i gde je to relevantno i za dnevne koncentracije i/ili dnevne protoke, odnosno:
Korak 1: dnevno opterećenje = (reprezentativna dnevna koncentracija) x (reprezentativni dnevni protok)
Korak 2: godišnje opterećenje = zbir dnevnih opterećenja (gde je relevantno, zbir nedeljnih opterećenja)
- Koncentracija može biti uprosečena za sva merenja u relevantnoj godini i pomnožena sa godišnjim protokom, koji može biti određen kao prosek određenog broja dnevnih merenja protoka, ili se može utvrditi na drugi način (na primer, na osnovu kapaciteta pumpe i operativnih sati ili, u skladu sa licencom).
- Kada postoji velika fluktacija u ispuštanju otpadnih voda onda bi se trebao koristiti stvarni godišnji protok pomnožen sa prosečnom godišnjom koncentracijom.
- Pouzdano godišnje opterećenje može se odrediti izračunavanjem srednjih vrednosti. To može da se koristi za supstance dodate u poznatoj količini, ali za koje analiza nije moguća ili je nesrazmerno skupa.
- Za relativno mala ispuštanja po pojedinim sektorima, opterećenje kiseonik-vezujućih supstanci (npr. BPK, HPK i dr) i metala je određena pomoću koeficijenata na osnovu podataka proizvodnje ili na osnovi ispuštene/potrošene količine vode.
MASENI BILANS
Maseni bilans se može koristiti za procenu emisije u vodna tela (životnu sredinu) sa neke lokacije, procesa ili komada opreme. Postupak uračunava ulaz, akumulaciju, izlaz i generisanje ili destrukciju supstanci od interesa, a izračunata razlika predstavlja ispuštenu količinu u vodno telo. Ova izračunavanja su naročito korisna kada se ulazni i izlazni tokovi mogu lako okarakterisati, kao što je često slučaj za male procese i operacije. Kada je deo ulaza transformisan (npr. sirovina u hemijskom procesu) metod masenog bilansa je teško primeniti, u ovim slučajevima potrebno je umesto toga izračunati bilans hemijskih elemenata.
Sledeće jednostavne jednačine se mogu primeniti prilikom procenjivanja emisije masenim bilansom:
Ukupna masa u procesu = |
akumulacija + ukupna masa koja izlazi iz procesa + merna nesigurnost |
Primenom ove jednačine u kontekstu neke lokacije, procesa ili delova opreme, ova jednačina se može napisati u obliku:
Ulaz = |
proizvodi + transfer + akumulacija + emisija + merna nesigurnost |
gde je:
Ulaz = svi ulazni materijali koji se koriste u procesu;
Proizvodi = proizvodi i materijali (npr. nus-proizvodi) koji se izvoze iz objekta;
Transferi = uključuje supstance koje se ispuštaju u kanalizaciju, supstance deponovane na deponije i supstance uklonjene iz postrojenja za uništavanje, tretman, reciklažu, preradu ili prečišćavanje;
Akumulacije = materijal akumuliran u procesu;
Emisije = ispuštanja u vazduh, vodu i zemljište. Emisije uključuju i rutinska i akcidentna ispuštanja.
Prilikom korišćenja masenog bilansa mora se obratiti pažnja, jer iako izgleda kao jednostavan metod za procenu emisije, on obično predstavlja malu razliku između velikog ulaza i velikog izlaza, sa uključenim mernim nesigurnostima. Dakle, maseni bilans je primenljiv u praksi samo kada se tačno mogu odrediti ulaz, izlaz i merna nesigurnost. Netačnosti vezane za pojedinačno praćenje materijala ili drugih aktivnosti inherentnih u svakoj fazi rukovanja materijalom, može dovesti do velikih odstupanja u ukupnoj emisiji postrojenja. Mala greška u bilo kom koraku od operacije može značajno uticati na procenu emisije.
EMISIONI FAKTORI
Emisioni faktori su brojevi koji mogu biti pomnoženi sa stopom aktivnosti ili izlaznim podacima sa postrojenja (kao što je količina proizvoda, potrošnja vode itd) u cilju procene emisije vode iz postrojenja. Primenjuju se pod pretpostavkom da sve industrijske jedinice na istoj proizvodnoj liniji imaju slične emisione faktore. Ovi faktori se široko koriste za određivanje naknada na malim instalacijama.
Emisioni faktori zahtevaju "podatke o aktivnostima", koji se kombinuju sa emisionim faktorom da bi se generisala procena emisije. Formula za dobijanje procene emisije je:
Emisiona stopa |
= |
Emisioni faktor |
x |
Podaci o aktivnostima |
Napomena: prilikom izračunavanja emisionih faktora koriste se iste merne jedinice za parametre saglasno graničnim vrednostima emisije.









