PRAVILNIK O MERILIMA NIVOA ZVUKA("Sl. glasnik RS", br. 39/2014) |
Ovim pravilnikom uređuju se zahtevi za merila nivoa zvuka (u daljem tekstu: merila, u jednini: merilo), način utvrđivanja ispunjenosti zahteva za merila, označavanje merila, način ispitivanja tipa merila, metode merenja, kao i način i uslovi overavanja merila.
Ovaj pravilnik primenjuje se na merila namenjena za merenje buke u životnoj i radnoj sredini, radi zaštite zdravlja i bezbednosti ljudi.
Pojedini izrazi upotrebljeni u ovom pravilniku imaju značenje definisano u Prilogu 1 - Izrazi i definicije, koji je odštampan uz ovaj pravilnik i čini njegov sastavni deo.
Drugi izrazi upotrebljeni u ovom pravilniku, koji nisu definisani u Prilogu 1 ovog pravilnika, imaju značenje definisano zakonima kojima se uređuju metrologija i standardizacija.
Rezultat merenja merilom izražava se u decibelima (dB), koji je logaritam, za osnovu deset, količnika kvadratnog korena merenog zvučnog pritiska i referentnog zvučnog pritiska, pomnožen sa brojem 20.
Zvučni pritisak izražava se u paskalima (Pa).
Metrološki, opšti i drugi zahtevi za merila u pogledu: klase tačnosti, usmerenosti, frekvencijske ponderacije, linearnosti nivoa, šuma merila, vremenske ponderacije, odziva na paket sinusoida, odziva na ponovljeni paket sinusoida, pokazivača preopterećenja, C-vršnog nivoa zvuka, uticaja ambijentalnih uslova na merila, elektrostatičkog pražnjenja i radiofrekvencijskih smetnji, napona napajanja, pokaznog uređaja (displej) i dodatnih uređaja dati su u Prilogu 2 - Zahtevi, koji je odštampan uz ovaj pravilnik i čini njegov sastavni deo.
Smatra se da merilo ispunjava zahteve iz stava 1. ovog člana ako ispunjava odgovarajuće zahteve srpskog standarda SRPS EN 61672-1:2010 - Elektroakustika - Merači nivoa zvuka - Deo 1: Specifikacije.
Zaštita metroloških karakteristika
Proizvođač zaštićuje metrološke karakteristike merila, a softver koji određuje ili izvršava funkcije koje se odnose na metrološke karakteristike (u daljem tekstu: zakonski relevantan softver) obezbeđuje od neovlašćenih modifikacija.
Zakonski relevantan softver merila je jasno identifikovan verzijom softvera.
Identifikacija verzije softvera, kao i način i sredstva te identifikacije navode se u uverenju o odobrenju tipa merila.
Proizvođač merila sačinjava tehničku dokumentaciju koja omogućava utvrđivanje ispunjenosti zahteva iz čl. 4. i 5. ovog pravilnika.
Tehnička dokumentacija sadrži naročito sledeće podatke o merilu:
1) vrstu mikrofona (kondenzatorski, piezoelektrični i sl.);
2) način povezivanja mikrofona sa merilom;
3) referentni pravac;
4) merni opseg;
5) referentni nivo zvučnog pritiska;
6) karakteristike frekvencijskog i vremenskog ponderisanja, vremenskog usrednjavanja nivoa zvuka i izloženosti zvuku;
7) karakteristike svakog posebnog kanala višekanalnog merila;
8) uticaj uslova okoline na prikazivanje merila;
9) opseg temperature i relativne vlažnosti vazduha unutar kojih ne dolazi do trajnog oštećenja merila;
10) korekcije u slučaju kada se uz mikrofon koristi preporučena pomoćna oprema;
11) položaj merila i osobe koja vrši merenja u odnosu na položaj mikrofona;
12) postupak obezbeđenja optimalnih uslova rada kada se merilo koristi sa spoljašnjim filterima ili analizatorima;
13) referentnu frekvenciju;
14) referentni opseg;
15) korekcije između osetljivosti u difuznom polju i osetljivosti u referentnom pravcu, za vrednosti frekvencije najmanje do 10 000 Hz;
16) promenu osetljivosti u odnosu na referentni pravac, naročito za sledeće vrednosti frekvencije:
- 1 000 Hz, 2 000 Hz, 4 000 Hz, 8 000 Hz i 12 500 Hz, za merila klase tačnosti 1;
- 1 000 Hz, 2 000 Hz, 4 000 Hz i 8 000 Hz, za merila klase tačnosti 2;
17) primarni opseg pokaznog uređaja;
18) jasnu identifikaciju svih programa koji se koriste za rad merila, kao i uputstvo za njihovu instalaciju i korišćenje.
Način utvrđivanja ispunjenosti zahteva
Utvrđivanje ispunjenosti zahteva za merila vrši se ispitivanjem tipa merila. Ispitivanje tipa merila obuhvata:
1) vizuelni pregled;
2) proveru izvora napajanja;
3) ispitivanje uticaja promene uslova okoline;
4) ispitivanje uticaja elektrostatičkog pražnjenja;
5) ispitivanje merila pri izlaganju mrežnoj frekvenciji i radio frekvencijskom polju;
6) proveru prikazivanja referentne vrednosti nivoa zvučnog pritiska;
7) proveru usmerenosti;
8) ispitivanje šuma;
9) akustičko ispitivanje frekvencijskih ponderacija;
10) električno ispitivanje frekvencijskih ponderacija;
11) ispitivanje u slobodnom zvučnom polju;
12) ispitivanje linearnosti nivoa;
13) ispitivanje frekvencijskih i vremenskih ponderacija na 1 kHz;
14) ispitivanje odziva na paket sinusoida;
15) ispitivanje C-vršnog nivoa zvuka;
16) ispitivanje prikazivanja preopterećenja.
Postupak ispitivanja tipa merila, odnosno metode merenja i ispitivanja iz stava 2. ovog člana date su u Prilogu 3 - Ispitivanje tipa merila, koji je odštampan uz ovaj pravilnik i čini njegov sastavni deo.
Merilo se može overavati samo ako je za to merilo izdato uverenje o odobrenju tipa, u skladu sa propisom kojim se uređuju vrste merila za koje je obavezno overavanje i vremenski intervali njihovog periodičnog overavanja.
Overavanje merila može biti prvo, redovno ili vanredno, u skladu sa zakonom kojim se uređuje metrologija.
Merilo ima naročito sledeće natpise i oznake:
1) službenu oznaku tipa iz uverenja o odobrenju tipa merila;
2) poslovno ime, odnosno naziv proizvođača koji je odgovoran za kompletnu tehničku dokumentaciju merila;
3) proizvodnu oznaku merila (tip, odnosno model merila, kao i serijski broj);
4) oznaku klase tačnosti merila.
Ukoliko se merilo sastoji od nekoliko odvojenih jedinica, svaka jedinica se označava u skladu sa stavom 1. ovog člana.
Natpisi i oznake iz st. 1. i 2. ovog člana postavljaju se tako da budu vidljive, čitljive i neizbrisive, odnosno da ih nije moguće ukloniti bez trajnog oštećenja.
Prvo, redovno i vanredno overavanje merila obuhvata:
1) vizuelni pregled i proveru funkcionalnosti;
2) proveru izvora napajanja;
3) proveru uslova okoline;
4) proveru prikazivanja referentne vrednosti nivoa zvučnog pritiska;
5) ispitivanje šuma;
6) akustičko ispitivanje frekvencijskih ponderacija;
7) električno ispitivanje frekvencijskih ponderacija;
8) ispitivanje frekvencijskih i vremenskih ponderacija na 1 kHz;
9) ispitivanje linearnosti nivoa;
10) ispitivanje odziva na paket sinusoida;
11) ispitivanje C-vršnog nivoa zvuka;
12) ispitivanje prikazivanja preopterećenja.
Merila se overavaju pojedinačno.
Način i uslovi overavanja iz stava 1. ovog člana dati su u Prilogu 4 - Overavanje merila, koji je odštampan uz ovaj pravilnik i čini njegov sastavni deo.
Danom stupanja na snagu ovog pravilnika prestaju da važe sledeći propisi:
1) Pravilnik o metrološkim uslovima za merila nivoa zvuka ("Službeni list SRJ", broj 27/01);
2) Metrološki postupak za overavanje merila nivoa zvuka za merenje buke u životnoj i radnoj sredini ("Glasnik DMDM", broj 2/08).
Ovaj pravilnik stupa na snagu osmog dana od dana objavljivanja u "Službenom glasniku Republike Srbije".
IZRAZI I DEFINICIJE
1) merilo nivoa zvuka (u daljem tekstu: merilo) je uređaj koji meri frekvencijski i vremenski ponderisan nivo zvučnog pritiska, i koji se sastoji od mikrofona, procesora signala i pokaznog uređaja. Merilo može imati i štitnik za vetar i/ili druge uređaje postavljene oko mikrofona, koji su sastavni deo merila u normalnom režimu rada;
2) mikrofon je merni pretvarač koji pretvara zvučni signal u električni signal;
3) procesor signala je uređaj koji obuhvata kombinaciju funkcija pretpojačavača sa specificiranim i kontrolisanim frekvencijskim odzivom, uređaja koji proizvodi kvadrat frekvencijski-ponderisanog vremenski-promenljivog zvučnog pritiska, i vremenskog integratora ili vremenskog usrednjivača;
4) pokazni uređaj je zaseban uređaj za prikazivanje rezultata merenja ili sakupljač mernih rezultata u okviru merila, koji se naknadno mogu očitati na uređaju koji je odredio proizvođač (npr. računar sa odgovarajućim programom);
5) zakonski relevantan softver čine programi, podaci i parametri koji su sastavni deo merila i koji određuju ili izvršavaju funkcije koje se odnose na metrološke karakteristike;
6) nivo zvučnog pritiska, izražen u decibelima, je logaritam čija je osnova deset, količnika kvadratnog korena kvadrata merenog zvučnog pritiska i referentnog zvučnog pritiska, pomnožen sa brojem 20, pri čemu je referentni zvučni pritisak 20 mPa;
7) frekvencijska ponderacija merila je razlika između nivoa signala koji prikazuje pokazni uređaj i odgovarajućeg nivoa stalnog sinusnog ulaznog signala nepromenljive amplitude, određenog u funkciji frekvencije (A, C i Z-frekvencijska ponderacija);
8) vremenska ponderacija je eksponencijalna funkcija od vremena, određene vremenske konstante, koja ponderiše kvadrat trenutnog zvučnog pritiska (F i S - vremenska ponderacija);
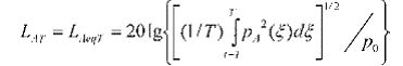
9) vremenski ponderisan nivo zvuka, izražen u decibelima, je logaritam čija je osnova deset, količnika kvadratnog korena kvadrata merenog zvučnog pritiska i referentnog zvučnog pritiska, pomnožen sa brojem 20, gde je kvadratni koren zvučnog pritiska dobijen sa standardnom frekvencijskom ponderacijom i standardnom vremenskom ponderacijom:

gde je:
- t, eksponencijalna vremenska konstanta, u sekundama, za vremenske ponderacije F ili S,
- ξ, veštačka promenljiva vremenske integracije nekog vremena iz prošlosti,
- pA (ξ), A-frekvencijski ponderisan trenutni zvučni pritisak,
- p0, referentni zvučni pritisak;
10) najveći vremenski ponderisan nivo zvuka, izražen u decibelima, je najveći vremenski ponderisan nivo zvuka u određenom vremenskom intervalu;
11) vršni zvučni pritisak je najveći apsolutni trenutni zvučni pritisak u toku određenog vremenskog intervala;
12) vršni nivo zvuka, izražen u decibelima, je logaritam osnove deset količnika vršnog zvučnog pritiska i referentnog zvučnog pritiska, pomnožen sa dvadeset, gde je vršni zvučni pritisak dobijen sa standardnom frekvencijskom ponderacijom;
13) vremenski usrednjen nivo zvuka ili ekvivalentni kontinuirani nivo zvuka, izražen u decibelima, je logaritam osnove deset količnika kvadratnog korena kvadrata zvučnog pritiska u toku određenog vremenskog intervala i referentnog zvučnog pritiska, pomnožen sa dvadeset, gde je zvučni pritisak dobijen sa standardnom frekvencijskom ponderacijom:

gde je:
- T, usrednjeni vremenski interval,
- ξ, veštačka promenljiva vremenske integracije usrednjenog vremenskog intervala, koji se završava u vreme posmatranja t,
- pA (ξ), A-frekvencijski ponderisan trenutni zvučni pritisak,
- p0, referentni zvučni pritisak;
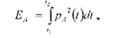
14) izloženost zvuku je vremenski integral kvadrata zvučnog pritiska u toku određenog vremenskog intervala ili događaja:

gde je p2A(t) kvadrat A-frekvencijski ponderisanog trenutnog zvučnog pritiska u toku integrisanog vremena koje počinje u trenutku t1 i završava se u trenutku t2;
15) nivo izloženosti zvuku, izražen u decibelima, je logaritam osnove deset količnika zvučne izloženosti i referentne zvučne izloženosti, pomnožen sa deset, gde je referentna zvučna izloženost dobijena iz kvadrata referentnog zvučnog pritiska i referentnog vremenskog intervala od 1s:

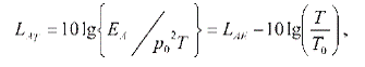
Vremenski usrednjen, A - frekvencijski ponderisan nivo zvuka izračunava se kao:

gde je:
- EA, A - frekvencijski ponderisana zvučna izloženost, izražena u Pa2s,
- E0, referentna zvučna izloženost od (20 µPa)2 x (1 s) = 400 x 10-12 Pa2s,
- T0 je 1 s,
- T = t2-t1, vremenski interval merenja, u sekundama, za nivo zvučnog pritiska i vremenski usrednjenog nivoa zvuka;
16) referentni pravac je pravac upadnog zvučnog talasa koji se koristi za ispitivanje apsolutne osetljivosti, karakteristike usmerenosti i frekvencijske ponderacije merila nivoa zvuka;
17) usmerenost je zavisnost osetljivosti merila nivoa zvuka od prostornog ugla koji je ugao između referentnog pravca i linije koja spaja akustički centar zvučnog izvora i referentne tačke mikrofona;
18) linearnost nivoa predstavlja takvo prikazivanje merila koje je linearna funkcija nivoa ulaznog signala, unutar propisanih dozvoljenih odstupanja;
19) primarni opseg pokaznog uređaja merila je opseg pokaznog uređaja za koji su prikazivanja merila unutar propisanih odstupanja od linearnosti nivoa;
20) trenutna vrednost signala je vrednost signala merena u odnosu na aritmetičku srednju vrednost;
21) diferencijalna linearnost nivoa je razlika u linearnosti između bilo koja dva nivoa zvučnog pritiska;
22) referentna frekvencija je frekvencija koja se nalazi u opsegu od 160 Hz do 1250 Hz i koja se koristi za ispitivanje apsolutne osetljivosti merila nivoa zvuka;
23) referentni nivo zvučnog pritiska je nivo zvučnog pritiska koji se nalazi se u referentnom opsegu merila nivoa zvuka i koji se koristi za ispitivanje elektroakustičkih performansi merila;
24) referentni opseg nivoa merila je opseg merila koji se koristi za ispitivanje tog merila;
25) slobodno (zvučno) polje je polje u homogenoj i izotropnoj sredini čije granice imaju zanemarljiv efekat na zvučne talase, a koje se prilikom etaloniranja merila ostvaruje progresivnim ravnim talasima;
26) difuzno (zvučno) polje je polje kod koga su svi pravci dolaska zvučnih talasa podjednako verovatni;
27) osetljivost merila je promena prikazivanja merila nivoa zvuka podeljena odgovarajućom promenom zvučnog pritiska;
28) apsolutna osetljivost merila je njegova osetljivost u referentnim uslovima;
29) kontinualni signal je sinusni signal određene frekvencije i amplitude i neprekidnog trajanja u posmatranom intervalu vremena;
30) paket sinusoida (burst) je niz ograničenog broja sinusnih zvučnih oscilacija ili impulsa ograničenog vremena trajanja;
31) niz paketa sinusoida je ograničen broj paketa sinusoida koji se periodično ponavljaju sa određenom frekvencijom.
ZAHTEVI
1.1. Klase tačnosti
Merila nivoa zvuka prema klasi tačnosti mogu biti: merila klase tačnosti 1 i merila klase tačnosti 2.
Merilo koje ispunjava zahteve za merilo klase tačnosti 2, pri čemu pojedine karakteristike tog merila ispunjavaju zahteve za merilo klase tačnosti 1, smatra se merilom klase tačnosti 2.
Isto merilo može da bude klase tačnosti 1 sa jednom konfiguracijom i klase tačnosti 2 sa drugom konfiguracijom.
1.2. Opšti zahtevi
1.2.1. Merila imaju najmanje A-frekvencijski ponderisan i F-vremenski ponderisan nivo zvuka.
Integratorsko-usrednjena merila imaju A-frekvencijski ponderisan vremenski usrednjen nivo zvuka.
Integratorska merila imaju A-frekvencijski ponderisan nivo izloženosti zvuku.
Merila klase tačnosti 1, pored A-frekvencijske ponderacije imaju i C-frekvencijsku ponderaciju. Merila klase tačnosti 1 mogu imati i Z-frekvencijsku ponderaciju.
A, C i Z frekvencijske ponderacije određuju se u skladu sa pododeljkom 1.4. ovog priloga.
1.2.2. Merilo može imati više od jednog pokaznog uređaja.
1.2.3. Merilo može imati više od jednog opsega nivoa, sa podesivom kontrolom opsega. Proizvođač u uputstvu za upotrebu navodi sve opsege nivoa pri nominalnom A-frekvencijski ponderisanom nivou zvuka na frekvenciji od 1 kHz.
1.2.4. Merila mogu biti višekanalna, sa korišćenjem više različitih mikrofona. Proizvođač u uputstvu za upotrebu navodi karakteristike i uputstvo za upotrebu svakog posebnog kanala višekanalnih merila.
1.2.5. Proizvođač u uputstvu za upotrebu navodi specifikaciju najmanje jednog modela kalibratora zvuka za proveru i održavanje tačnog prikazivanja merila. Za merila klase tačnosti 1, kalibrator zvuka je klase tačnosti 1, prema srpskom standardu SRPS EN 60942:2010 - Elekroakustika - Kalibratori zvuka, a za merila klase tačnosti 2, kalibrator zvuka može biti ili klase tačnosti 1 ili klase tačnosti 2, prema navedenom srpskom standardu.
Proizvođač u uputstvu za upotrebu navodi korekcije za sve mikrofone koji se koriste na merilu, kao i korekcije štitnika vetra u odnosu na frekvencijski odziv mikrofona. Ove korekcije mogu se predstaviti kao dve odvojene korekcije ili jedna kombinovana korekcija.
1.2.6. Mikrofon, koji je sastavni deo merila, ispunjava zahteve ovog pravilnika ako ispunjava zahteve srpskog standarda SRPS EN 61094-4:2010 - Merni mikrofoni - Deo 4: Specifikacija radnih standardnih mikrofona. 1.2.7. Proširena merna nesigurnost metode merenja metroloških karakteristika merila, ne može biti veća od najveće dozvoljene proširene merne nesigurnosti iz Tabele 1 ovog priloga.
Tabela 1
Zahtevi |
Najveća dozvoljena proširena merna nesigurnost |
Usmerenost, od 250 Hz do 1 kHz |
0,3 |
Usmerenost, od 1 Hz do 4 kHz |
0,5 |
Usmerenost, od 4 kHz do 8 kHz |
1,0 |
Usmerenost, od 8 kHz do 12,5 kHz |
1,5 |
Frekvencijske ponderacije A, C, Z, Flat, od 10 Hz do 200 Hz |
0,5 |
Frekvencijske ponderacije A, C, Z, Flat, od 200 Hz do 1,25 kHz |
0,4 |
Frekvencijske ponderacije A, C, Z, Flat, od 1,25 kHz do 10 kHz |
0,6 |
Frekvencijske ponderacije A, C, Z, Flat, od 10 kHz do 20 kHz |
1,0 |
Linearnost nivoa |
0,3 |
Promena nivoa od 1 dB do 10 dB |
0,3 |
Vremenske ponderacije F i S na 1 kHz |
0,2 |
Odziv na paket sinusoida |
0,3 |
Odziv na ponovljeni paket sinusoida |
0,3 |
Prikazivanje preopterećenja |
0,3 |
C-vršni nivo zvuka |
0,4 |
Uticaj atmosferskog pritiska |
0,3 |
Uticaj temperature vazduha |
0,3 |
Uticaj relativne vlažnosti vazduha |
0,3 |
Uticaj elektrostatičkog i radiofrekvencijskog polja |
0,3 |
1.3. Usmerenost
Metrološki zahtevi za usmerenost merila, za normalni režim rada, dati su u Tabeli 2 ovog priloga, u kojoj su date najveće dozvoljene greške odziva merila, u zavisnosti od prostornog ugla (± θ) određenog u odnosu na referentni pravac.
Tabela 2
Frekvencija |
Najveće dozvoljene greške odziva merila |
|||||
[kHz] |
Θ=30° |
Θ=90° |
Θ=150° |
|||
Klasa tačnosti |
||||||
1 |
2 |
1 |
2 |
1 |
2 |
|
0.25 - 1 |
1.3 |
2.3 |
1.8 |
3.3 |
2.3 |
5.3 |
> 1 - 2 |
1.5 |
2.5 |
2.5 |
4.5 |
4.5 |
7.5 |
> 2 - 4 |
2.0 |
4.5 |
4.5 |
7.5 |
6.5 |
12.5 |
> 4 - 8 |
3.5 |
7.0 |
8.0 |
13.0 |
11.0 |
17.0 |
> 8 - 12.5 |
5.5 |
- |
11.5 |
- |
15.5 |
- |
Napomena: Najveća dozvoljena greška odziva merila uključuje i proširenu mernu nesigurnost.
1.4. A, C i Z - Frekvencijske ponderacije
Metrološki zahtevi, za sve A, C i Z-frekvencijske ponderacije, dati su u Tabeli 3 ovog priloga.
U Tabeli 3 ovog priloga date su karakteristike A, C i Z za relativni frekvencijski odziv merila (u slobodnom polju u referentnom pravcu) u odnosu na odziv merila na frekvenciji od 1 000 Hz, kao i odgovarajuće (prema klasi tačnosti merila) najveće dozvoljene greške, koje uključuju i proširenu mernu nesigurnost.
Tabela 3
Nominalna frekvencija |
Frekvencijska ponderacija |
Najveće dozvoljene greške |
|||
Klasa tačnosti |
|||||
A |
C |
Z |
1 |
2 |
|
10 |
-70.4 |
-14.3 |
0.0 |
+ 3.5; - µ |
+ 5.5; - µ |
12.5 |
-63.4 |
-11.2 |
0.0 |
+ 3.0; - µ |
+ 5.5; - µ |
16 |
-56.7 |
-8.5 |
0.0 |
+ 2.5; - 4.5 |
+ 5.5; - µ |
20 |
-50.5 |
-6.2 |
0.0 |
± 2.5 |
± 3.5 |
25 |
-44.7 |
-4.4 |
0.0 |
+ 2.5; -2.0 |
± 3.5 |
31.5 |
-39.4 |
-3.0 |
0.0 |
± 2.0 |
± 3.5 |
40 |
-34.6 |
-2.0 |
0.0 |
± 1.5 |
± 2.5 |
50 |
-30.2 |
-1.3 |
0.0 |
± 1.5 |
± 2.5 |
63 |
-26.2 |
-0.8 |
0.0 |
± 1.5 |
± 2.5 |
80 |
-22.5 |
-0.5 |
0.0 |
± 1.5 |
± 2.5 |
100 |
-19.1 |
-0.3 |
0.0 |
± 1.5 |
± 2.0 |
125 |
-16.1 |
-0.2 |
0.0 |
± 1.5 |
± 2.0 |
160 |
-13.4 |
-0.1 |
0.0 |
± 1.5 |
± 2.0 |
200 |
-10.9 |
0.0 |
0.0 |
± 1.5 |
± 2.0 |
250 |
- 8.6 |
0.0 |
0.0 |
± 1.4 |
± 1.9 |
315 |
- 6.6 |
0.0 |
0.0 |
± 1.4 |
± 1.9 |
400 |
- 4.8 |
0.0 |
0.0 |
± 1.4 |
± 1.9 |
500 |
- 3.2 |
0.0 |
0.0 |
± 1.4 |
± 1.9 |
630 |
- 1.9 |
0.0 |
0.0 |
± 1.4 |
± 1.9 |
800 |
- 0.8 |
0.0 |
0.0 |
± 1.4 |
± 1.9 |
1 000 |
0 |
0 |
0 |
± 1.1 |
± 1.4 |
1 250 |
+ 0.6 |
0.0 |
0.0 |
± 1.4 |
± 1.9 |
1 600 |
+ 1.0 |
-0.1 |
0.0 |
± 1.6 |
± 2.6 |
2 000 |
+ 1.2 |
-0.2 |
0.0 |
± 1.6 |
± 2.6 |
2 500 |
+ 1.3 |
-0.3 |
0.0 |
± 1.6 |
± 3.1 |
3 150 |
+ 1.2 |
-0.5 |
0.0 |
± 1.6 |
± 3.1 |
4 000 |
+ 1.0 |
-0.8 |
0.0 |
± 1.6 |
± 3.6 |
5000 |
+ 0.5 |
-1.3 |
0.0 |
± 2.1 |
± 4.1 |
6 300 |
- 0.1 |
-2.0 |
0.0 |
+ 2.1; - 2.6 |
± 5.1 |
8 000 |
-1.1 |
-3.0 |
0.0 |
+ 2.1; - 3.1 |
± 5.6 |
10 000 |
- 2.5 |
-4.4 |
0.0 |
+ 2.6; - 3.6 |
+ 5.6; - µ |
12 500 |
- 4.3 |
-6.2 |
0.0 |
+ 3.0; - 6.0 |
+ 6.0; - µ |
16 000 |
- 6.6 |
-8.5 |
0.0 |
+ 3.5; - 17.0 |
+ 6.0; - µ |
20 000 |
- 9.3 |
-1.2 |
0.0 |
+ 4.0; - µ |
+ 6.0; - µ |
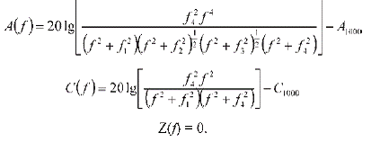
Za bilo koju frekvenciju izraženu u hercima, frekvencijske ponderacije izračunavaju se prema sledećim obrascima:

Procenjene vrednosti frekvencija su: ¦1 = 20,60 Hz, ¦2 = 107,7 Hz, ¦3 = 737,9 Hz, ¦4 = 12 194 Hz. Normalizovane konstante iznose: C1000 = - 0,062 dB i A1000 = - 2,000 dB.
Za stabilni sinusoidalni električni signal na 1 kHz razlike između prikazanih nivoa C-frekvencijski ponderisane, Z - frekvencijski ponderisane ili Flat merene vrednosti od prikazanog nivoa A - frekvencijski ponderisane merene vrednosti, uključujući proširenu mernu nesigurnost, ne mogu biti veće od ± 0,4 dB.
1.5. Linearnost nivoa
Svaka promena ulaznog signala u opsegu od 1 dB do 10 dB prouzrokuje iste promene u izmerenom nivou zvuka, pri čemu odstupanja ne mogu biti veća od ± 0,6 dB za merila klase tačnosti 1, odnosno ± 0,8 dB za merila klase tačnosti 2.
Mereni nivo signala je linearna funkcija nivoa zvučnog pritiska koji deluje na mikrofon. Zahtev za linearnost nivoa se primenjuje na merenja vremenski ponderisanih nivoa zvuka, vremenski usrednjenih nivoa zvuka i nivoa izloženosti zvuku.
Najveća dozvoljena greška linearnosti nivoa, uključujući i proširenu mernu nesigurnost je ± 1,1 dB za merila klase tačnosti 1, odnosno ± 1,4 dB za merila klase tačnosti 2.
1.6 Šum merila
Vrednosti najvišeg nivoa šuma merila sa instaliranim mikrofonom i najvišeg nivoa šuma merila kada električni ulazni uređaj zamenjuje mikrofon, određuje proizvođač i daje u tehničkoj dokumentaciji merila.
1.7. F i S Vremenske ponderacije
Za F (Fast) - vremensku ponderaciju vremenska konstanta iznosi 0,125 s, a za S (Slow) - vremensku ponderaciju iznosi 1 s.
Za stabilni sinusoidalni električni signal pri frekvenciji od 1 kHz, odstupanja prikazivanje A-frekvencijski ponderisanog nivoa zvuka sa S - vremenskom ponderacijom i A-frekvencijski ponderisanog vremenski usrednjenog nivoa zvuka od prikazivanja A-frekvencijski ponderisanog nivoa zvuka sa F-vremenskom ponderacijom, uključujući i proširenu mernu nesigurnost, ne mogu biti veća od ± 0,3 dB.
Metrološki zahtev iz stava 2. ovog pododeljka primenjuje se na referentni nivo zvučnog pritiska na referentnom opsegu nivoa.
1.8. Odziv na paket sinusoida
Zahtevi za referentni odziv na paket sinusoida pri 4 kHz A-frekvencijske ponderacije dati su u koloni 2 Tabele 4 ovog priloga, za F i S - vremenske ponderacije nivoa zvuka, i u koloni 3 iste tabele, za nivoe izloženosti zvuku. Ovi zahtevi mogu se primeniti i za C i Z-frekvencijske ponderacije.
Odstupanje merenog odziva na paket sinusoida od referentnog odziva na paket sinusoida, uključujući i proširenu mernu nesigurnost, ne može biti veće od najvećih dozvoljenih grešaka datih u Tabeli 4 ovog priloga.
Tabela 4
Trajanje paketa sinusoida, Tb |
Referentni odziv na paket sinusoida pri 4kHz, δref, relativno u odnosu na stabilni nivo zvuka |
Najveće dozvoljene greške |
||
Klasa tačnosti |
||||
1 |
2 |
3 |
|
|
|
LAfmax - LA |
LAE - LA |
1 |
2 |
1 000 |
0.0 |
0.0 |
±0.8 |
±1.3 |
100 |
-2.6 |
-10.0 |
±1.3 |
±1.3 |
10 |
-11.1 |
-20.0 |
±1.3 |
+1.3; - 2.3 |
1 |
-21.0 |
-30.0 |
+1.3; - 2.3 |
+1.3; - 3.3 |
|
LAsmax - LA |
|
||
1 000 |
-2.0 |
|
±0.8 |
±1.3 |
100 |
-10.2 |
±1.3 |
±1.3 |
|
10 |
-20.0 |
+1.3; - 2.3 |
+1.3; - 3.3 |
|
1.9. Odziv na ponovljeni paket sinusoida
Za odziv na ponovljeni paket sinusoida primenjuju se zahtevi i najveće dozvoljene greške iz Tabele 4 ovog priloga. Odziv na ponovljeni paket sinusoida određuje se za A, C i Z frekvencijsku ponderaciju, i to na referentnom opsegu nivoa, za trajanje paketa sinusoida od 0,25 ms do 1 s, počevši merenje od vrednosti 3 dB ispod specificirane gornje granice linearnog radnog opsega do vrednosti 10 dB iznad specificirane donje granice.
1.10. Pokazivač preopterećenja
Za sve opsege nivoa i za sve frekvencije od 31,5 Hz do 12,5 kHz za merila klase tačnosti 1, odnosno od 31,5 Hz do 8 kHz za merila klase tačnosti 2, merilo ima pokazivač preopterećenja.
Za pozitivnu i negativnu poluperiodu signala, razlika između ulaznih nivoa signala koji prvi pokažu preopterećenje, uključujući i proširenu mernu nesigurnost, ne može biti veća od 1,8 dB.
1.11. C-vršni nivo zvuka
C-vršni nivo zvuka određuje se kao odziv na jednu periodu i pozitivnu i negativnu poluperiodu, koje se dobijaju iz stabilnog sinusoidalnog električnog signala. Perioda i poluperioda električnog signala počinju i završavaju u nuli (zero-crossing).
Odstupanje od razlike prikazivanja C-vršnog nivoa zvuka (LCpeak) i odgovarajućeg prikazivanja C-vremenski ponderisanog nivoa zvuka stabilnog signala (LC), od odgovarajuće razlike iz Tabele 5 ovog priloga, uzimajući u obzir i proširenu mernu nesigurnost, ne može biti veće od najvećih dozvoljenih grešaka, datih u toj tabeli.
Tabela 5
Broj perioda ispitnog signala |
Frekvencija ispitnog |
LCpeak - LC |
Najveće dozvoljene greške |
|
Klasa tačnosti |
||||
1 |
2 |
|||
Jedan Jedan Jedan |
31,5 500 8000 |
2,5 3,5 3,4 |
±2,4 ±1,4 ±2,4 |
±3,4 ±2,4 ±3,4 |
Pozitivna poluperioda Negativna poluperioda |
500 500 |
2,4 2,4 |
±1,4 ±1,4 |
±2,4 ±2,4 |
2.1. Uticaj ambijentalnih uslova na merila
Referentnim uslovima okoline za merila smatraju se: atmosferski pritisak 101,325 kPa, temperatura vazduha 23 °C i relativna vlažnost vazduha 50%.
Pri promeni atmosferskog pritiska od 85 kPa do 108 kPa, odstupanje izmerenog nivoa zvuka u odnosu na nivo zvuka pri referentnom atmosferskom pritisku, uključujući i proširenu mernu nesigurnost, ne može biti veće od ± 0,7 dB za merila klase tačnosti 1, odnosno ± 1,0 dB za merila klase tačnosti 2.
Pri promeni atmosferskog pritiska od 65 kPa do 85 kPa, odstupanje izmerenog nivoa zvuka u odnosu na nivo zvuka pri referentnom statičkom pritisku, uključujući i proširenu mernu nesigurnost, ne može biti veće od ± 1,2 dB za merila klase tačnosti 1, odnosno ± 1,9 dB za merila klase tačnosti 2.
Pri utvrđivanju ispunjenosti zahteva iz st. 2. i 3. ovog pododeljka, uzimaju se u obzir korekcije mikrofona pri frekvencijskom odzivu, koji zavisi od atmosferskog pritiska.
Metrološki zahtevi za merila primenjuju se i pri promenama temperature u opsegu od - 10 °C do + 50 °C za merila klase tačnosti 1, odnosno u opsegu od 0 °C do + 40 °C za merila klase tačnosti 2. Za računare koji su sastavni deo merila, opseg promene temperature je ograničen na + 5 °C do + 35 °C.
Pri promeni temperature iz stava 5. ovog pododeljka, odstupanje izmerenog nivoa zvuka u odnosu na nivo zvuka pri referentnoj temperaturi, uključujući i proširenu mernu nesigurnost, ne može biti veće od ± 0,8 dB za merila klase tačnosti 1, odnosno ± 1,3 dB za merila klase tačnosti 2.
Pri promeni relativne vlage od 25% do 90%, za bilo koju temperaturu prema zahtevima za klasu merila iz stava 5. ovog pododeljka koja daje tačku rose između + 39 °C i - 15 °C, odstupanje izmerenog nivoa zvuka u odnosu na nivo zvuka pri referentnoj vrednosti relativne vlage, uključujući i proširenu mernu nesigurnost, ne može biti veće od ± 0,8 dB za merila klase tačnosti 1, odnosno ± 1,3 dB za merila klase tačnosti 2.
2.2. Elektrostatičko pražnjenje i radiofrekvencijske smetnje
Kontaktno pražnjenje elektrostatičkog napona do ± 4 kV i vazdušno pražnjenje elektrostatičkog napona do ± 8 kV ne utiče na rad merila, odnosno merilo radi bez prekida kada je izloženo pražnjenju u tim granicama.
Pri izlaganju mrežnoj frekvenciji i radio frekvencijskom polju merilo radi bez prekida, bez promena u konfiguraciji i bez gubitka podataka. Osetljivost na mrežnu frekvenciju određuje se pri izlaganju merila uniformnom magnetnom polju jačine od 80 A/m (efektivne vrednosti) i frekvencije od 50 Hz i 60 Hz.
Osetljivost na radio frekvencijsko polje određuje se pri izlaganju merila preko opsega noseće frekvencije od 25 MHz do 1 GHz. Odstupanje prikazanog nivoa zvuka na opsegu nivoa čija donja granica nije veća od 70 dB, kada na merilo deluju frekvencijska polja, u odnosu na prikazivanje merila bez delovanja polja, uključujući i proširenu mernu nesigurnost, ne može biti veće od ± 1,3 dB za merila klase tačnosti 1, odnosno ± 2,3 dB za merila klase tačnosti 2.
2.3. Napon napajanja
Pri promeni napona napajanja od maksimalne do minimalne vrednosti, promena u prikazivanju nivoa zvuka, kada na merilo deluje kalibrator zvuka, uključujući i proširenu mernu nesigurnost, ne može biti veća od ± 0,3 dB za merila klase tačnosti 1, odnosno ± 0,4 dB za merila klase tačnosti 2.
2.4. Pokazni uređaj (displej)
Za merila koja mogu da prikazuju više od jedne merene veličine, prikazivanje veličina na pokaznom uređaju je tačno, jasno i nedvosmisleno.
Veličine koje se prikazuju date su u odgovarajućim simbolima iz ovog priloga, koje proizvođač navodi u uputstvu za upotrebu.
Pokazni uređaj ima rezoluciju koja nije veća od 0,1 dB. Proizvođač u uputstvu za upotrebu daje opis pokaznog uređaja.
Za digitalne pokazne uređaje merila koji prikupljaju rezultate u realnom vremenu, pokazni uređaj u svakom trenutku prikazuje vrednost veličine koju je izabrao korisnik.
Kada su rezultati merenja dostupni samo na digitalnom izlazu merila, proizvođač u uputstvu za upotrebu daje opis metode prenosa podataka ili prikupljanja podataka na eksterni disk ili eksterni pokazni uređaj. Računar i program koji se pri tome koriste jedinstveno su identifikovani.
Svaki dodatni uređaj koji se koristi za prikazivanje rezultata merenja, koji je naveden u uputstvu za upotrebu proizvođača, smatra se sastavnim delom merila i na njega se primenjuju zahtevi iz ovog pododeljka.
2.5. Dodatni uređaji
Ukoliko između mikrofona i pretpojačavača ili pretpojačavača i drugih komponenata merila postoje dodatni uređaji ili kablovi, za merilo se definiše klasa tačnosti sa tako instaliranim dodatnim delovima, odnosno uređajima, a proizvođač u tehničkoj dokumentaciji navodi specifikaciju tih uređaja, a u uputstvu za upotrebu navodi korekcije za njihovu primenu.
ISPITIVANJE TIPA MERILA
1. Oprema za ispitivanje merila
Za ispitivanje merila koriste se etaloni i merni uređaji, odnosno oprema koja obezbeđuje da proširena merna nesigurnost metode merenja ne prelazi najveće dozvoljene vrednosti iz tačke 1.2.7. Priloga 2 ovog pravilnika.
Za ispitivanje tipa merila proizvođač obezbeđuje dodatnu i pomoćnu opremu i kalibrator zvuka koji je odgovarajuće klase tačnosti u skladu sa tačkom 1.2.5. Priloga 2. ovog pravilnika.
Za ispitivanje merila koriste se etalonirani etaloni i merni uređaji, radi obezbeđivanja sledivosti do nacionalnih ili međunarodnih etalona.
Mikrofon, koji je sastavni deo merila, etaloniran je i slediv do nacionalnih ili međunarodnih etalona.
Za ispitivanje merila koriste se kalibrator zvuka i mikrofon merila za koji su poznate sve neophodne korekcije i odgovarajuće vrednosti proširene merne nesigurnosti (za faktor obuhvata k=2).
Ispitivanje merila sprovodi se u okviru sledećih granica uslova okoline:
- atmosferski pritisak od 80 kPa do 105 kPa;
- temperatura vazduha od 20 °C do 26 °C;
- relativna vlažnost vazduha od 25 % do 70 %.
Atmosferski pritisak, temperatura vazduha i relativna vlažnost vazduha mere se i beleže na početku i na kraju svakog ispitivanja.
4.1. Vizuelni pregled merila
Pre započinjanja ispitivanja vrši se vizuelni pregled merila.
Ispitivanje merila vrši se za merilo koje je u funkciji.
Ukoliko postoje oštećenja pokaznog uređaja ili drugih delova merila (npr. membrane mikrofona), koji utiču na pravilno funkcionisanje merila, ne može se započeti ispitivanje tog merila.
4.2. Provera izvora napajanja
Pre sprovođenja bilo kakvog merenja, napon iz izvora napajanja merila proverava se prema metodi koju je proizvođač naveo u uputstvu za upotrebu merila, da bi se utvrdilo da li je napon napajanja merila unutar radnih granica, specificiranih u tehničkoj dokumentaciji. Ukoliko napon nije u radnim granicama, a razlog nisu delimično napunjene baterije merila, ne započinju se merenja.
4.3. Ispitivanje uticaja promene uslova okoline
Ispitivanje uticaja atmosferskog pritiska, temperature vazduha i relativne vlažnosti vazduha na merilo vrši se na sledeći način:
1) Ispitivanje uticaja atmosferskog pritiska, vrši se na temperaturi koja je ± 2,3 °C u odnosu na referentnu temperaturu, pri relativnoj vlažnosti koja je za 24 % veća od referentne vrednosti relativne vlažnosti, kao i pri relativnoj vlažnosti koja je za 14 % manja od referentne vrednosti relativne vlažnosti. Uticaj atmosferskog pritiska na merilo beleži se na referentnoj vrednosti i sedam izabranih proizvoljnih vrednosti pritiska, u skladu sa zahtevom iz pododeljka 2.1. Priloga 2 ovog pravilnika. Na svakoj ispitnoj vrednosti atmosferskog pritiska, koji se menja od minimalne do maksimalne vrednosti i obrnuto, merilo se aklimatizuje najmanje 10 min pre beleženja prikazivanja nivoa zvuka dobijenog od akustičkog kalibratora.
Odstupanje izmerenog nivoa zvuka u odnosu na nivo zvuka pri referentnom atmosferskom pritisku, uključujući i proširenu mernu nesigurnost, pri svakoj promeni atmosferskog pritiska, ne može biti veće od vrednosti iz pododeljka 2.1. Priloga 2 ovog pravilnika.
2) Ispitivanje uticaja temperature vazduha i relativne vlažnosti vazduha vrši se ispitivanjem merila u klima komori. Aklimatizacija merila i akustičkog kalibratora vrši se najmanje 12 h u klima komori, pri referentnoj temperaturi, pri čemu su merilo i kalibrator isključeni. Ispitivanje se vrši pri sledećim ispitnim uslovima:
Za merila klase tačnosti 1:
- referentna temperatura vazduha i referentna relativna vlažnost vazduha;
- temperatura vazduha - 10 °C i relativna vlažnost vazduha od 65 %;
- temperatura vazduha + 5 °C i relativna vlažnost vazduha od 25 %;
- temperatura vazduha + 40 °C i relativna vlažnost vazduha od 90 %;
- temperatura vazduha + 50 °C i relativna vlažnost vazduha od 50 %.
Za merila klase tačnosti 2:
- referentna temperatura vazduha i referentna relativna vlažnost vazduha;
- temperatura vazduha 0 °C i relativna vlažnost vazduha od 30%;
- temperatura vazduha +40 °C i relativna vlažnost vazduha od 90%.
Odstupanje izmerenog nivoa zvuka u odnosu na nivo zvuka pri referentnoj temperaturi vazduha i referentnoj relativnoj vlažnosti vazduha, uključujući i proširenu mernu nesigurnost, ne može biti veće od vrednosti iz pododeljka 2.1. Priloga 2 ovog pravilnika.
4.4. Ispitivanje uticaja elektrostatičkog pražnjenja
Ispunjenost zahteva iz pododeljka 2.2. Priloga 2 ovog pravilnika koji se odnose na uticaj elektrostatičkog pražnjenja utvrđuje se prema metodi opisanoj u tačkama 6, 7. i 8. srpskog standarda SRPS EN 61000-4-2:2009 - Elektromagnetska kompatibilnost (EMC) - Deo 4-2: Tehnike ispitivanja i merenja - Ispitivanje imunosti na elektrostatičko pražnjenje.
4.5. Ispitivanje uticaja mrežne frekvencije i radio frekvencijskog polja
Ispitivanje uticaja mrežne frekvencije sprovodi se izlaganjem merila uniformnom magnetnom polju jačine od 80 A/m (efektivne vrednosti) i frekvencije od 50 Hz i 60 Hz, pri čemu merilo radi bez prekida, bez promena u konfiguraciji i bez gubitka podataka u skladu sa zahtevom iz pododeljka 2.2. Priloga 2 ovog pravilnika.
Otpornost merila na mrežnu frekvenciju i radio frekvencijsko polje određuje se pri zvučnom sinusoidalnom signalu od 925 Hz primenjenom na mikrofon. Prikazivač merila podešava se tako da pokazuje A-ponderisani nivo zvuka od 74 dB ± 1 dB, sa F vremenskom ponderacijom, kada merilo nije pod dejstvom frekvencijskih polja.
Ispitivanje merila pri izlaganju radio frekvencijskom polju sprovodi se prema metodi opisanoj u tačkama 6, 7 i 8 srpskog standarda SRPS EN 61000-4-3: 2008 - Elektromagnetska kompatibilnost (EMS) - Deo 4-3: Tehnike ispitivanja i merenja - Ispitivanje imunosti na zračeno, radiofrekvencijsko elektromagnetsko polje. Odstupanja prikazivanja A-frekvencijski ponderisanog nivoa zvuka pri izlaganju mrežnoj frekvenciji i A-frekvencijski ponderisanog nivoa zvuka pre izlaganja, zajedno sa proširenom mernom nesigurnošću, ne sme biti veće od odstupanja prikazanog nivoa zvuka u odnosu na prikazivanje merila bez delovanja polja, uključujući i proširenu mernu nesigurnost iz pododeljka 2.2. Priloga 2 ovog pravilnika.
4.6. Provera prikazivanja referentne vrednosti nivoa zvučnog pritiska
Provera prikazivanja referentne vrednosti nivoa zvučnog pritiska vrši se pomoću etaloniranog kalibratora zvuka, odgovarajućeg za taj tip merila.
Vrednost očitana na pokaznom uređaju je od - 0,4 dB do + 0,4 dB, a ukoliko vrednost očitana na pokaznom uređaju nije u tim granicama, vrši se podešavanje po proceduri datoj u uputstvu za upotrebu merila. Ukoliko se vrši podešavanje, beleži se vrednost očitana na pokaznom uređaju pre i nakon tog podešavanja.
Za višekanalna merila proverava se prikazivanje na svakom kanalu.
4.7. Provera usmerenosti
Provera usmerenosti merila vrši se ravnim progresivnim sinusoidalnim zvučnim talasima u slobodnom zvučnom polju. Meri se vremenski usrednjen ili F-vremenski ponderisan nivo zvuka. Dobijena odstupanja promene osetljivosti u zavisnosti od prostornog ugla, određenog u odnosu na referentni pravac, zajedno sa njihovim proširenim mernim nesigurnostima, ne smeju preći vrednosti najvećih dozvoljenih grešaka iz pododeljka 1.3. Priloga 2 ovog pravilnika.
4.8. Ispitivanje šuma
Šum merila ispituje se prvo sa instaliranim mikrofonom, a zatim kada je mikrofon zamenjen uređajem sa električnim ulaznim signalom.
A-ponderisan nivo ambijentalnog zvuka, koji se prati, ne sme biti veći od najvećeg A-ponderisanog nivoa šuma merila datog u uputstvu za upotrebu merila.
Šum merila meri se tako što se mikrofon i pretpojačavač merila postavljaju u zatvoreni prostor koji obezbeđuje spregu mikrofona i pretpojačavača i koji je obložen zvučno-apsorbujućim materijalom (akustički sprežnik). Meri se vremenski usrednjen A-ponderisan nivo zvuka usrednjen na 30 s ili duže, prema podacima datim u uputstvu za upotrebu merila.
Ambijentalni zvuk se određuje i beleži, kao dokaz da taj zvuk nije uticao na merenje šuma merila više od 3 dB. Za merenja ambijentalnog zvuka koristi se poseban mikrofon koji može da meri niske nivoe zvuka.
Kada je mikrofon zamenjen uređajem sa električnim ulaznim signalom, meri se vremenski usrednjeni šum, i to na najosetljivijem opsegu nivoa i za sve frekvencijske ponderacije dostupne na merilu nivoa zvuka.
4.9. Akustičko ispitivanje frekvencijskih ponderacija
Akustičko ispitivanje frekvencijskih ponderacija vrši se tako što se merilo podesi na C-frekvencijsku ponderaciju, ukoliko je dostupna, a ako nije dostupna, na A-frekvencijsku ponderaciju.
Ispitivanje se vrši etaloniranim višefrekvencijskim kalibratorom zvuka, koji zadovoljava zahteve standarda SRPS EN 60942:2010 - Elektroakustika - kalibratori zvuka za klasu tačnosti 1.
Na prikazivanje zvuka primenjuju se korekcije mikrofona i uticaja refleksije tela merila, kao i njihove pridružene merne nesigurnosti. Korekcije uticaja refleksije tela merila navodi proizvođač, a ako proizvođač merila nije naveo i pridruženu mernu nesigurnost te korekcije, uzima se da je nula.
Frekvencijske ponderacije određuju se na frekvencijama 125 Hz, 1 kHz i 4 kHz ili 8 kHz. Merilo se podešava na F-vremensku ponderaciju ili vremenski usrednjeni nivo zvuka, sa vremenom usrednjavanja od najmanje 10 s, kao i na referentni opseg nivoa.
Na svakoj frekvenciji, nivo zvučnog pritiska u akustičkom sprežniku višefrekvencijskog kalibratora zvuka iznosi između 70 dB i 125 dB.
Na ispitnim frekvencijama određuje se odstupanje prikazivanja merila i korigovanog nivoa zvučnog pritiska dobijenog u akustičkom sprežniku višefrekvencijskog akustičkog kalibratora.
Dobijena odstupanja, zajedno sa njihovim proširenim mernim nesigurnostima, ne smeju preći vrednosti najvećih dozvoljenih grešaka, datih u Tabeli 3 Priloga 2 ovog pravilnika.
4.10. Električno ispitivanje frekvencijskih ponderacija
Električno ispitivanje frekvencijskih ponderacija vrši se relativno u odnosu na odziv na 1 kHz, koristeći stabilan sinusoidalni ulazni električni signal, za sve frekvencijske ponderacije koje poseduje merilo.
Merilo se podešava na F-vremensku ponderaciju ili vremenski usrednjeni nivo zvuka, sa vremenom usrednjavanja od najmanje 10 s.
Na referentnom opsegu nivoa i za svaku frekvencijsku ponderaciju koja se ispituje, ulazni električni signal pri 1 kHz podešava se tako da dovodi do prikazivanja nivoa 45 dB ispod gornje granice referentnog opsega.
Na ostalim ispitnim frekvencijama, ulazni električni signal se podešava relativno u odnosu na ulazni električni signal zabeležen pri 1 kHz, tako da prikazivanje na pokaznom uređaju merila bude jednako prikazivanju zabeleženom pri ulaznom signalu na 1 kHz.
Frekvencije na kojima se vrši pregled su:
1) za merila klase tačnosti 1 - devet nominalnih oktavnih frekvencija u intervalu od 63 Hz do 16 kHz;
2) za merila klase tačnosti 2 - osam nominalnih oktavnih frekvencija u intervalu od 63 Hz do 8 kHz.
Za svaku frekvencijsku ponderaciju i za svaku ispitnu frekvenciju, koriguje se vrednost prikazana na pokaznom uređaju za korekciju mikrofona i uticaja refleksije tela merila nivoa zvuka.
Određuje se odstupanje korigovane prikazane vrednosti od vrednosti koja je 45 dB ispod gornje granice referentnog opsega.
Na svakoj ispitnoj frekvenciji vrednosti odstupanja korigovanih frekvencijskih ponderacija sa njihovim proširenim mernim nesigurnostima, ne smeju biti veće od najvećih dozvoljenih grešaka iz Tabele 3 Priloga 2 ovog pravilnika.
4.11. Ispitivanje u slobodnom zvučnom polju
Ispitivanje u slobodnom zvučnom polju vrši se u takozvanoj "gluvoj sobi", od najniže frekvencije koju je moguće postići u odgovarajućoj "gluvoj sobi" do frekvencije od 20 kHz. Na svakoj ispitnoj frekvenciji određuje se neponderisan nivo zvučnog pritiska, laboratorijskim etalon mikrofonom, i to tako da nivo zvučnog pritiska bude najmanje 30 dB veći od nivoa zvučnog pritiska kada je zvučni izvor isključen. Laboratorijski etalon mikrofon se tada zamenjuje merilom nivoa zvuka, na koji deluju zvučni talasi u istoj referentnoj tački kao na mikrofon, i iz referentnog pravca. Na svakoj ispitnoj frekvenciji određuje se frekvencijska ponderacija iz razlike prikazanog nivoa zvuka na merilu i neponderisanog zvučnog pritiska merenog laboratorijskim etalon mikrofonom.
Dobijena odstupanja, zajedno sa njihovim proširenim mernim nesigurnostima, ne smeju preći vrednosti najvećih dozvoljenih grešaka iz Tabele 3 Priloga 2 ovog pravilnika.
4.12. Ispitivanje linearnosti nivoa
Ispitivanje linearnosti nivoa vrši se stabilnim sinusoidalnim električnim signalom na frekvenciji od 8 kHz, pri čemu se merilo podešava da pokazuje A-frekvencijsku ponderaciju.
Ispitivanje počinje ulaznim signalom podešenim tako da pokazni uređaj prikazuje početni nivo iz uputstva za upotrebu proizvođača za ispitivanje linearnosti na 8 kHz na referentnom opsegu.
Linearnost se ispituje na koracima od 5 dB do gornjeg nivoa linearnog radnog opsega datog u uputstvu proizvođača, zatim pri koracima od 1 dB do prvog nivoa koji pokazuje opterećenje, ne uključujući taj nivo.
Ispitivanje linearnosti nastavlja se na koracima od 5 dB do donjeg nivoa linearnog radnog opsega datog u uputstvu proizvođača, zatim pri koracima od 1 dB do prvog nivoa koji pokazuje prikazivanje ispod opsega, ne uključujući taj nivo.
Odstupanja merenih vrednosti u odnosu na vrednosti linearnosti pri frekvenciji od 8 kHz, date u uputstvu za upotrebu, sa proširenim mernim nesigurnostima ne smeju biti veća od najvećih dozvoljenih grešaka iz pododeljka 1.5. Priloga 2 ovog pravilnika.
Za merila koja imaju više od jednog opsega nivoa, ispitivanje linearnosti se vrši stabilnim sinusoidalnim električnim signalom na frekvenciji od 1 kHz, pri čemu je merilo podešeno da pokazuje A-frekvencijsku ponderaciju.
4.13. Ispitivanje frekvencijskih i vremenskih ponderacija na 1 kHz
Frekvencijske i vremenske ponderacije određuju se pri stabilnom sinusoidalnom ulaznom električnom signalu pri frekvenciji od 1 kHz na referentnom opsegu nivoa i sa ulaznim signalom takvim da dovodi do prikazivanja referentnog nivoa zvučnog pritiska A-frekvencijske ponderacije i F-vremenske ponderacije.
Zahtevi za odstupanje pokazanog nivoa merene vrednosti na C i Z-frekvencijskim ponderacijama, kao i na F-vremenskoj ponderaciji u odnosu na odgovarajuću A-ponderisanu merenu vrednost dati su u pododeljku 1.4. Priloga 2 ovog pravilnika.
Zahtevi za odstupanje A-ponderisanog nivoa zvuka sa S-vremenskom ponderacijom u odnosu na A-ponderisan nivoa zvuka sa F-vremenskom ponderacijom dati su u pododeljku 1.7. Priloga 2 ovog pravilnika.
4.14. Ispitivanje odziva na paket sinusoida
Odziv merila na kratkotrajne signale ispituje se na referentnom opsegu nivoa paketom sinusoida od 4 kHz koji počinje i završava se na nultim prelazima i koji je izdvojen iz stabilnog sinusoidalnog električnog ulaznog signala na 4 kHz. Za ispitivanje se koriste paketi sinusoida trajanja 200 ms, 2 ms i 0,25 ms.
Merilo se podešava na A-frekvencijsku ponderaciju. Nivo stabilnog ulaznog signala podešava se tako da se na pokaznom uređaju prikazuje nivo niži za 3 dB od gornje granice date u uputstvu proizvođača za linearni radni opseg pri frekvenciji od 4 kHz na referentnom opsegu nivoa.
Ispitivanja se vrše za maksimalni F-vremenski ponderisan nivo zvuka, maksimalni S-vremenski ponderisan nivo zvuka i nivo izloženosti zvuku.
Odstupanja merenog odziva na paket sinusoida u odnosu na vrednosti date u Tabeli 4 Priloga 2 ovog pravilnika, sa proširenim mernim nesigurnostima, ne smeju biti veća od najvećih dozvoljenih grešaka iz te tabele.
4.15. Ispitivanje C-vršnog nivoa zvuka
Ispitivanje C-vršnog nivoa zvuka sprovodi se samo na onim merilima koja imaju C-vršni nivo zvuka, i to na najmanje osetljivom opsegu nivoa.
Ispitni signali su sinusna perioda od 8 kHz, koja počinje i završava se na nultim prelazima, i pozitivna i negativna poluperioda sinusoidalnog signala od 500 Hz, koje počinju i završavaju se na nultim prelazima.
Nivo stabilnog sinusoidalnog električnog ulaznog signala od 8 kHz, iz koga je ciklus izdvojen, treba da bude podešen tako da merilo pokazuje C-frekvencijski ponderisan i F-vremenski ponderisan nivo zvuka, koji je 8 dB manji od gornje granice date u uputstvu proizvođača za vršni nivo na 8 kHz pri najmanje osetljivom opsegu nivoa.
Nivo stabilnog sinusoidalnog električnog ulaznog signala od 500 Hz, iz koga su poluciklusi izdvojeni, treba da bude podešen tako da merilo pokazuje C-frekvencijski ponderisan i F-vremenski ponderisan nivo zvuka, koji je 8 dB manji od gornje granice date u uputstvu proizvođača za vršni nivo pri najmanje osetljivom opsegu nivoa.
Odstupanja razlike C-vršnog nivoa zvuka i odgovarajućih prikazivanja nivoa C-frekvencijski ponderisanih stabilnih signala, u odnosu na razlike date u Tabeli 5 Priloga 2 ovog pravilnika, sa proširenim mernim nesigurnostima, ne smeju biti veća od najvećih dozvoljenih grešaka iz te tabele.
4.16. Ispitivanje prikazivanja preopterećenja
Ispitivanje prikazivanja preopterećenja izvodi se samo na merilima koja mogu da prikazuju vremenski usrednjen nivo zvuka, i to na najmanje osetljivom opsegu nivoa, pri čemu se merilo podešava na A-frekvencijsku ponderaciju i vremenski usrednjen nivo zvuka. Koriste se pozitivne i negativne poluperiode sinusoidalnog električnog signala od 4 kHz.
Ispitivanje počinje prikazivanjem vremenski usrednjenog nivoa stabilnog ulaznog signala koji odgovara vrednosti za 1 dB manjoj od gornje granice linearnog radnog opsega na 4 kHz.
Nivo pozitivne poluperiode ulaznog signala, izdvojene iz stabilnog signala povećava se u koracima od 0,1 dB do prvog prikazivanja preopterećenja. Proces se ponavlja i za negativne poluperiode ulaznog signala.
Razlika između merenih nivoa pozitivne i negativne poluperiode ulaznog signala, koji dovode do preopterećenja, sa proširenom mernom nesigurnošću, ne sme biti veća od najveće dozvoljene greške od ±1,8 dB, pri čemu se proverava i da li indikator preopterećenja svetli na nivou na kome se pojavljuje preopterećenje.
OVERAVANJE MERILA
1. Način i uslovi overavanja merila proizvedenih u skladu sa zahtevima ovog pravilnika
1.1. Oprema za pregled merila
Za pregled merila koristi se oprema iz odeljka 1. Priloga 3 ovog pravilnika.
1.2. Sledivost
Sledivost do nacionalnih ili međunarodnih etalona obezbeđuje se u skladu sa odeljkom 2. Priloga 3 ovog pravilnika.
1.3. Vizuelni pregled merila
Vizuelnim pregledom merila utvrđuje se da li je merilo u potpunosti u skladu sa uverenjem o odobrenju tipa merila izdatim za to merilo, kao i da li postoje oštećenja pokaznog uređaja ili drugih delova merila koji omogućavaju pravilno funkcionisanje merila (npr. membrane mikrofona).
1.4. Provera uslova okoline
Atmosferski pritisak, temperatura vazduha i relativna vlažnost vazduha, mere se i beleže na početku i na kraju svakog ispitivanja u postupku pregleda merila, radi provere da li su ti uslovi okoline u granicama iz odeljka 3. Priloga 3 ovog pravilnika.
1.5. Ispitivanja
U postupku pregleda merila sprovode se ispitivanja iz člana 11. ovog pravilnika na način opisan u pododeljcima 4.2, 4.6, 4.8, 4.9, 4.10, 4.12, 4.13, 4.14, 4.15. i 4.16. Priloga 3 ovog pravilnika.
1.6. Žigosanje
Ukoliko se u postupku pregleda potvrdi da je merilo u skladu sa odobrenim tipom, odnosno da ispunjava propisane metrološke zahteve, merilo se overava (žigoše) u skladu sa zakonom kojim se uređuje metrologija, propisom donetim na osnovu tog zakona i uverenjem o odobrenju tipa merila za taj tip merila.
2. Način i uslovi overavanja merila za koja je uverenje o odobrenju tipa izdato do dana stupanja na snagu ovog pravilnika, kao i merila za koja je istekao rok važenja uverenja o odobrenju tipa merila a koja se nalaze u upotrebi
2.1. Vizuelni pregled i provera uslova okoline sprovode se na način opisan u pododeljcima 1.3. i 1.4. ovog priloga, a provera izvora napajanja sprovodi se u skladu sa pododeljkom 4.2. Priloga 3 ovog pravilnika.
Pregled i žigosanje se vrši u skladu sa propisom kojim se uređuje overavanje merila.
2.2. Ispitivanje prikazivanja referentne vrednosti nivoa zvučnog pritiska
Ispitivanje prikazivanja referentne vrednosti nivoa zvučnog pritiska vrši se pomoću etaloniranog kalibratora zvuka, odgovarajućeg za taj tip merila, pri čemu vrednost očitana na pokaznom uređaju treba da bude manja od najvećih dozvoljenih grešaka prema klasi tačnosti merila, i to ± 0,7 dB za merila klase tačnosti 1 i ± 1,0 dB za merila klase tačnosti 2.
Ukoliko vrednost očitana na pokaznom uređaju nije u granicama iz stava 1. ovog pododeljka, vrši se podešavanje po proceduri datoj u uputstvu za upotrebu merila.
Ukoliko se vrši podešavanje, beleži se vrednost očitana na pokaznom uređaju pre i nakon tog podešavanja.
2.3. Ispitivanje frekvencijskih ponderacija
Ispitivanje frekvencijskih ponderacija vrši se tako što se na ulaz merila dovodi signal za zadate tercne frekvencije u opsegu od 10 Hz do 20 kHz. Na pokaznom uređaju očitavaju se vrednosti u [dB], posebno za svaku frekvencijsku ponderaciju koju poseduje merilo (A, B, C).
Odstupanja očitanih vrednosti u odnosu na vrednosti iz Tabele 1 ovog priloga, ne može biti veće od najvećih dozvoljenih grešaka iz Tabele 2 ovog priloga, za deklarisanu tačnost merila.
Tabela 1
Nominalna frekvencija |
Frekvencijska ponderacija [dB] |
||
A |
B |
C |
|
10 |
-70,4 |
-38,2 |
-14,3 |
12,5 |
-63,4 |
-33,2 |
-11,2 |
16 |
-56,7 |
-28,5 |
- 8,5 |
20 |
-50,5 |
-24,2 |
- 6,2 |
25 |
-44,7 |
-20,4 |
- 4,4 |
31,5 |
-39,4 |
-17,1 |
- 3,0 |
40 |
-34,6 |
-14,2 |
- 2,0 |
50 |
-30,2 |
-11,6 |
- 1,3 |
63 |
-26,2 |
- 9,3 |
- 0,8 |
80 |
-22,5 |
- 7,4 |
- 0,5 |
100 |
-19,1 |
- 5,6 |
- 0,3 |
125 |
-16,1 |
- 4,2 |
- 0,2 |
160 |
-13,4 |
- 3,0 |
- 0,1 |
200 |
-10,9 |
- 2,0 |
- 0,0 |
250 |
- 8,6 |
- 1,3 |
- 0,0 |
315 |
- 6,6 |
- 0,8 |
- 0,0 |
400 |
- 4,8 |
- 0,5 |
- 0,0 |
500 |
- 3,2 |
- 0,3 |
- 0,0 |
630 |
- 1,9 |
- 0,1 |
- 0,0 |
800 |
- 0,8 |
- 0,0 |
- 0,0 |
1 000 |
0 |
0 |
0 |
1 250 |
+ 0,6 |
- 0,0 |
- 0,0 |
1 600 |
+ 1,0 |
- 0,0 |
- 0,1 |
2 000 |
+ 1,2 |
- 0,1 |
- 0,2 |
2 500 |
+ 1,3 |
- 0,2 |
- 0,3 |
3 150 |
+ 1,2 |
- 0,4 |
- 0,5 |
4 000 |
+ 1,0 |
- 0,7 |
- 0,8 |
5 000 |
+ 0,5 |
- 1,2 |
- 1,3 |
6 300 |
- 0,1 |
- 1,9 |
- 2,0 |
8 000 |
- 1,1 |
- 2,9 |
- 3,0 |
10 000 |
- 2,5 |
- 4,3 |
- 4,4 |
12 500 |
- 4,3 |
- 6,1 |
- 6,2 |
16 000 |
- 6,6 |
- 8,4 |
- 8,5 |
20 000 |
- 9,3 |
-11,1 |
-11,2 |
Tabela 2
Nominalna frekvencija |
Najveće dozvoljene greške [dB] |
|
[Hz] |
Klasa tačnosti 1 |
Klasa tačnosti 2 |
10 |
+ 3; - µ |
+ 5; - µ |
12,5 |
+ 3; - µ |
+ 5; - µ |
16 |
+ 3; - µ |
+ 5; - µ |
20 |
± 3 |
± 3 |
25 |
± 2 |
± 3 |
31,5 |
± 1,5 |
± 3 |
40 |
± 1,5 |
± 2 |
50 |
± 1,5 |
± 2 |
63 |
± 1,5 |
± 2 |
80 |
± 1,5 |
± 2 |
100 |
± 1 |
± 1,5 |
125 |
± 1 |
± 1,5 |
160 |
± 1 |
± 1,5 |
200 |
± 1 |
± 1,5 |
250 |
± 1 |
± 1,5 |
315 |
± 1 |
± 1,5 |
400 |
± 1 |
± 1,5 |
500 |
± 1 |
± 1,5 |
630 |
± 1 |
± 1,5 |
800 |
± 1 |
± 1,5 |
1 000 |
± 1 |
± 1,5 |
1 250 |
± 1 |
± 1,5 |
1 600 |
± 1 |
± 2 |
2 000 |
± 1 |
± 2 |
2 500 |
± 1 |
± 2,5 |
3 150 |
± 1 |
± 2,5 |
4 000 |
± 1 |
± 3 |
5 000 |
± 1,5 |
± 3,5 |
6 300 |
+ 1,5; - 2 |
± 4,5 |
8 000 |
+ 1,5; - 3 |
± 5 |
10 000 |
+ 3; - 4 |
+ 5; - µ |
12 500 |
+ 3; - 6 |
+ 5; - µ |
16 000 |
+ 3; - µ |
+ 5; - µ |
20000 |
+ 3; - µ |
+ 5; - µ |
2.4. Ispitivanje vremenskih ponderacija
Ispitivanje vremenskih ponderacija vrši se ispitivanjem karakteristika S i F vremenskog ponderisanja i to poređenjem odziva na paket sinusoida u odnosu na odziv na kontinualni signal u decibelima (dB). Ispitni signal je paket sinusoida, trajanja povorke impulsa (2, 5, 20, 50, 200, 500, 2000) ms. Kontinualni signal je na nivoima (4, 24, 44) dB ispod gornje granice svakog mernog opsega prikazivača. Ispitivanje se vrši i na nivou (64, 84) dB ispod gornje granice svakog mernog opsega pokaznog uređaja, ukoliko ti nivoi postoje. Najveće dozvoljene greške, za merila klase tačnosti 1 i 2, date su u Tabeli 3 ovog priloga.
Tabela 3
Vremenska ponderacija |
Trajanje paketa |
Maksimalni odziv |
Najveće dozvoljene greške |
|
Klasa |
Klasa |
|||
F |
200 |
- 1,0 |
± 1 |
+ 1 |
S |
500 |
- 4,1 |
± 1 |
± 2 |
* Određuje se u odnosu na odziv na kontinualni signal |
||||
Karakteristike S i F vremenskog ponderisanja su takve da odziv merila u decibelima [dB], pri naglom uključenju ispitnog signala na ulazu, ne prelazi maksimalne vrednosti iz Tabele 4 ovog priloga.
Tabela 4
Vremenska ponderacija |
Maksimalni prebačaj [dB] |
|
Klasa tačnosti 1 |
Klasa tačnosti 2 |
|
F |
1,1 |
1,1 |
S |
1,6 |
1,6 |
Karakteristike F i S-vremenskog ponderisanja proveravaju se i pri naglom isključenju ispitnog signala, pri čemu se proverava ispunjenost sledećih uslova: kada se primenjeni signal naglo isključi, prikazivanje merila se smanjuje za 10 dB u periodu ne većem od 0,5 s, za karakteristiku F vremenskog ponderisanja i u periodu ne većem od 3,0 s, za karakteristiku S vremenskog ponderisanja.
Ukoliko merilo poseduje karakteristiku I-vremenskog ponderisanja, brzina opadanja prikazivanja merila, nakon isključenja primenjenog signala, iznosi:
1) (-2,9 ± 0,5) dB / s, za merila klase tačnosti 1;
2) (-2,9 ± 1,0) dB / s, za merila klase tačnosti 2.
2.5. Provera I - vremenskog ponderisanja
Karakteristika I-vremenskog ponderisanja se proverava poređenjem na pojedinačni paket sinusoida i kontinualni niz paketa sinusoida. Odziv merila na ispitni signal određuje se na nivoima (0, 20, 40 i 60) dB ispod gornje granice svakog mernog opsega pokaznog uređaja (ukoliko postoje ti nivoi) i zadovoljava zahteve u pogledu najvećih dozvoljenih grešaka iz Tabela 5 i 6 ovog priloga.
Tabela 5
Trajanje paketa |
Maksimalni odziv |
Najveće dozvoljene greške (±) |
|
Klasa tačnosti 1 |
Klasa tačnosti 2 |
||
20 |
- 3,6 |
1,5 |
2 |
5 |
- 8,8 |
2 |
3 |
2 |
- 12,6 |
2 |
- |
* Određuje se u odnosu na odziv na kontinualni signal |
|||
Tabela 6
Frekvencija ponavljanja |
Maksimalni odziv |
Najveće dozvoljene greške (±) |
|
Klasa tačnosti 1 |
Klasa tačnosti 2 |
||
100 |
- 2,7 |
1 |
1 |
20 |
- 7,6 |
2 |
2 |
2 |
- 8,8 |
2 |
3 |
* Određuje se u odnosu na odziv na kontinualni signal |
|||
2.6. Provera vršne (Peak) vremenske ponderacije
Karakteristika Peak vremenske ponderacije proverava se ispitnim signalom (pozitivni i negativni pravougaoni impulsi od 100 ms i 10 ms, vremena uspona i pada između 3 ms i 10 ms).
Pri ispitivanju se koriste Lin i C-frekvencijske ponderacije. Prikazivanje za impuls od 100 ms ne sme biti veće od 2 dB ispod prikazivanja za impuls od 10 ms.
2.7. Ispitivanje detektora efektivne vrednosti
Ispitivanje detektora efektivne vrednosti se vrši upoređujući seriju pozitivnih i negativnih pravougaonih impulsa ili paketa sinusoida u odnosu na kontinualni signal. Pozitivni i negativni pravougaoni impulsi imaju trajanje 200 ms, dok je vreme uspona i pada između 3 ms i 10 ms. Ovaj ispitni signal se koristi samo za Lin i C frekvencijsku ponderaciju. Ukoliko merilo ima samo A ili B frekvencijsku ponderaciju, onda se pri ispitivanju koristi paket sinusoida. Paket sinusoida je frekvencije 2000 Hz, brzine ponavljanja 40 Hz i vršnog faktora (CF) 3, 5 i 10.
Koristi se S vremensko ponderisanje (ili F, ukoliko S ne postoji). Ispitivanje se vrši na nivoima (2, 22, 42 i 62) dB ispod gornje granice svakog mernog opsega pokaznog uređaja.
Razlika u odnosu na kontinualni signal ne može biti veća od najvećih dozvoljenih grešaka iz Tabele 7 ovog priloga.
Tabela 7
Klasa tačnosti |
Vršni faktor (CF) |
||
1 ≤ CF ≤ 3 |
3 < CF ≤ 5 |
5 < CF ≤ 10 |
|
Najveće dozvoljene greške (±) [dB] |
|||
1 |
0,5 |
1 |
1,5 |
2 |
1 |
1 |
- |
2.8. Ispitivanje kontrole opsega nivoa
Za merila čiji pokazni uređaji imaju više mernih opsega i koja poseduju kontrolu opsega nivoa, vrši se ispitivanje kontrole opsega nivoa sinusoidalnim ispitnim signalom frekvencije (31,5 - 8000) Hz ili (20 - 12500) Hz, a na nivou 2 dB ispod gornje granice svakog od mernih opsega pokaznog uređaja.
Najveće dozvoljene greške ispitivanja kontrole opsega nivoa u odnosu na referentni opseg date su u Tabeli 8 ovog priloga.
Tabela 8
Frekvencija |
Najveće dozvoljene greške (±) [dB] |
|
[Hz] |
Klasa tačnosti 1 |
Klasa tačnosti 1 |
31,5 - 8000 |
0,5 |
0,7 |
20 - 12500 |
1,0 |
- |
Posebno se beleži frekvencija i opseg pri kojima se javlja najveća greška uzrokovana kontrolom opsega nivoa.
Pri ručnoj kontroli opsega nivoa, preklapanje opsega nivoa ne sme biti manje od 5 dB ako je vrednost podeljka kontrole opsega nivoa 10 dB i ne sme biti manje od 10 dB ako je vrednost podeljka kontrole opsega nivoa veća od 10 dB.
2.9. Provera pokaznog uređaja
Proverava se da li pokazni uređaj merila zadovoljava sledeće zahteve:
1) merni opseg ≥ 15 dB;
2) primarni merni opseg ≥ 10 dB;
3) vrednost podeljka skale ≤ 1 dB, a dužina podeljka skale ≥ 1 mm, za analogni pokazni uređaj;
4) podeljak skale ≤ 0,1 dB, za digitalni pokazni uređaj.









