PRAVILNIK O TEHNIČKIM USLOVIMA PODSISTEMA INFRASTRUKTURA("Sl. glasnik RS", br. 39/2023 i 17/2024) |
Ovim pravilnikom propisuju se tehnički uslovi koje mora ispunjavati podsistem infrastruktura.
Ovaj pravilnik primenjuje se na podsistem infrastruktura na javnoj železničkoj infrastrukturi, industrijskoj železnici i industrijskim kolosecima.
Podsistem infrastruktura obuhvata sve elemente gornjeg i donjeg stroja železničkih pruga.
Tehnički uslovi iz člana 1. ovog pravilnika primenjuju se pri projektovanju i građenju novih železničkih pruga, obnovi i unapređenju postojećih železničkih pruga kao i pri održavanju novih, obnovljenih i unapređenih železničkih pruga.
Elementi gornjeg stroja železničkih pruga (u daljem tekstu: gornji stroj), kao i elementi donjeg stroja železničkih pruga (u daljem tekst: donji stroj), grade se, proizvode i ugrađuju u podsistem infrastruktura u skladu sa tehničkim uslovima definisanim ovim pravilnikom.
Gornji stroj železničke pruge čine:
1) šine;
2) pričvrsni pribor;
3) pragovi ili armirano-betonske konstrukcije;
4) zastor.
U širem smislu gornji stroj podrazumeva i složene kolosečne konstrukcije:
1) skretnice;
2) ukrštaje;
3) dilatacione sprave;
4) okretnice;
5) prenosnice i dr.
Donji stroj pruga čine zemljani trup i veštački objekti donjeg stroja.
Veštački objekti donjeg stroja su:
1) potporni zidovi;
2) mostovske konstrukcije;
3) tunelske konstrukcije;
4) sistemi za odvodnjavanje;
5) objekti za zaštitu podsistema infrastruktura;
6) nadvožnjaci, podvožnjaci i propusti;
7) stanični objekti i stanična postrojenja.
Pod staničnim objektima podrazumevaju se:
1) peroni;
2) pothodnici i pasarele;
3) rampe.
Pod staničnim postrojenjima podrazumevaju se:
1) kolske vage;
2) postrojenja za snabdevanje vodom;
3) kontrolni tovarni profili;
4) jame za okretnice i prenosnice.
II TEHNIČKI USLOVI ZA DIMENZIONISANJE PODSISTEMA INFRASTRUKTURA
Osnovni parametri za dimenzionisanje
Osnovni parametri za dimenzionisanje podsistema infrastruktura su:
1) osovinsko opterećenje;
2) brzina;
3) parametri za geometrijsko oblikovanje trase;
4) slobodni i tovarni profil;
5) širina koloseka;
6) razmak između osa koloseka;
7) odstojanje od objekata na pruzi.
Kategorije opterećenja železničkih pruga
Kategorije opterećenja se definišu na osnovu:
1) dopuštene mase železničkih vozila po osovini (t/o);
2) dopuštene mase železničkih vozila po metru dužnom (t/m);
3) razmaka između osovina referentnih vagona (m).
Kategorije opterećenja date su u tabeli 1:
mase železničkih vozila po metru dužnom [t/m] |
masa železničkih vozila po osovini |
||||
16 |
18 |
20 |
22,5 |
25 |
|
5,0 |
A |
B1 |
|
|
|
6,4 |
|
B2 |
C2 |
D2 |
|
7,2 |
|
|
C3 |
D3 |
|
8,0 |
|
|
C4 |
D4 |
|
8,8 |
|
|
|
|
E5 |
Tabela 1: Kategorije opterećenja
Nosivost novih železničkih pruga
Železničke pruge namenjene mešovitom i teretnom saobraćaju, u zavisnosti od privrednog značaja i značaja koji imaju u međunarodnom i unutrašnjem železničkom saobraćaju, zadovoljavaju najmanje sledeće kategorije opterećenja:
1) D4, na magistralnim i regionalnim železničkim prugama;
2) C4, na lokalnim železničkim prugama.
Železničke pruge namenjene putničkom saobraćaju, u zavisnosti od privrednog značaja i značaja koji imaju u međunarodnom i unutrašnjem železničkom saobraćaju, zadovoljavaju najmanje sledeće kategorije opterećenja:
1) D4, na magistralnim železničkim prugama;
2) C4, na regionalnim železničkim prugama;
3) B2, na lokalnim železničkim prugama;
4) A, na železničkim prugama namenjenim samo prigradskom saobraćaju.
Nosivost obnovljenih i unapređenih železničkih pruga
Obnovljene i unapređene železničke pruge namenjene mešovitom i teretnom saobraćaju, u zavisnosti od privrednog značaja i značaja koji imaju u međunarodnom i unutrašnjem železničkom saobraćaju, udovoljavaju najmanje sledećoj kategoriji opterećenja:
1) D4, na magistralnim železničkim prugama;
2) C4, na regionalnim železničkim prugama;
3) B2, na lokalnim železničkim prugama.
Obnovljene i unapređene železničke pruge namenjene putničkom saobraćaju, u zavisnosti od privrednog značaja i značaja koji imaju u međunarodnom i unutrašnjem železničkom saobraćaju, udovoljavaju najmanje sledećoj kategoriji opterećenja:
1) C4, na magistralnim železničkim prugama;
2) B2, na regionalnim i lokalnim železničkim prugama;
3) A, na železničkim prugama namenjenim samo prigradskom saobraćaju.
Projektna brzina i najveća dopuštena brzina
Projektna brzina je najveća teorijska brzina na železničkoj pruzi, s obzirom na primenjene tehničke uslove za dimenzionisanje podsistema infrastruktura.
Najveća dopuštena brzina na pruzi je najveća brzina koju, s obzirom na tehničke uslove, dozvoljava pruga sa svojim postrojenjima, nagibi u vezi sa sigurnošću kočenja, vrsta kočenja, krivine, sposobnost vozila, mesto i položaj vučnog vozila i sastav voza.
Parametri za geometrijsko oblikovanje trase
Parametri za geometrijsko oblikovanje trase železničke pruge su:
1) poluprečnik kružne (horizontalne) krivine;
2) nadvišenje spoljne šine u krivine;
3) rampa za nadvišenje;
4) prelazna krivina;
5) međuprava između prelaznih krivina;
6) nagib nivelete;
7) poluprečnik vertikalne krivine.
Postupci proračuna parametara za geometrijsko oblikovanje trase, uključujući rešenja geometrije skretnica i ukrštaja kao i granične vrednosti elemenata u funkciji brzine, definisani su standardom SRPS EN 13803.
Vrednosti parametara za geometrijsko oblikovanje trase, prostiru se od izuzetne preko normalne vrednosti do granice izvodljivosti.
Normalne vrednosti podrazumevaju vrednosti preporučene za primenu.
Izuzetne vrednosti se primenjuju samo ako, usled opravdanih ograničenja, nije moguće primeniti normalne vrednosti.
Granica izvodljivosti utvrđena je na osnovu zahteva za tačnim izvođenjem usvojene vrednosti i mogućnosti njenog održavanja.
Upotrebu izuzetnih vrednosti treba izbegavati, a posebno slučajeve primene više izuzetnih vrednosti različitih parametara za geometrijsko oblikovanje trase, na istom mestu.
Granične vrednosti parametara za geometrijsko oblikovanje trase
Najmanji poluprečnik kružne krivine na otvorenoj pruzi je 150 m.
Najmanji poluprečnik kružne krivine u službenim mestima je 300 m.
Najmanja dužina prelazne krivine je 20 m.
Najveće nadvišenje spoljne šine u krivini, nezavisno od poluprečnika kružne krivine, kod pruga projektovanih za brzine V ≤ 160 km/h, je 150 mm.
Najveće nadvišenje spoljne šine u krivini, u zavisnosti od poluprečnika kružne krivine, računa se po obrascu:

Izračunate numeričke vrednosti nadvišenja zaokružuju se:
1) na nižu vrednost deljivu sa 5, ako je poslednja decimala izračunatog nadvišenja manja ili jednaka 2,5;
2) višu vrednost deljivu sa 5, ako je poslednja decimala izračunatog nadvišenja veća od 2,5.
Najmanje nadvišenje spoljne šine u krivini koje se izvodi je 20 mm pa se računski dobijeno nadvišenje, između 10-20 mm, izvodi kao nadvišenje od 20 mm a računski dobijeno nadvišenje ispod 10 mm se ne izvodi.
Najveće nadvišenje spoljne šine u krivinama u kojima se ugrađuju skretnice iznosi 80 mm (izuzetno 120 mm).
Kod staničnih koloseka u krivini pored perona najveće nadvišenje spoljne šine u krivini iznosi 60 mm (izuzetno 100 mm).
Nadvišenje se ne izvodi:
1) u krivinama glavnih prolaznih koloseka u stanicama i na drugim službenim mestima gde staju svi vozovi;
2) u ostalim kolosecima stanica i drugim službenim mestima;
3) u skretnicama, izuzev skretnica koje se ugrađuju u krivinama sa nadvišenjem.
Vrednost nagiba nivelete je najviše:
1) 25 ‰ na postojećim, obnovljenim i unapređenim prugama za brzine V ≤ 120 km/h;
2) 17,5‰ na novim prugama za brzine 120 km/h < V ≤ 160 km/h;
3) 12,5‰ na novim prugama za brzine V > 160 km/h.
Nagib nivelete u tunelima iznosi:
1) kod tunela dužine do 1.000 m najmanje 2 ‰;
2) kod tunela dužine preko 1.000 m najmanje 4 ‰.
Maksimalna vrednost nagiba nivelete u novim stanicama iznosi:
1) ≤ 1 ‰ u pravcu;
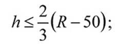
2) ≤ 2,5 ‰ u krivini u zavisnosti od poluprečnika kružne krivine - R, gde se dopušten nagib računa po obrascu:

3) ≤ 2,5 ‰ uz perone gde je predviđeno redovno stajanje i otprema putničkih vozova.
Nagib nivelete u usecima i zasecima iz razloga odvodnjavanja izvodi se u nagibu od najmanje 2‰.
Slobodni profil ili gabarit je ograničen prostor u poprečnom preseku upravnom na sredinu koloseka.
Osa slobodnog profila stoji upravno na pravu koja dodiruje gornje ivice voznih šina (u daljem tekstu: GIŠ), i prolazi kroz sredinu koloseka tj. sredinu rastojanja između voznih šina.
Potrebno je da mere slobodnog profila ostanu nepromenjene tokom eksploatacije pruge i da u prostor slobodnog profila ne ulaze delovi postrojenja, objekata, oznaka, signala, odloženog materijala ili drugih predmeta.
Slobodni profili na prugama dele se na slobodni profil za postojeće pruge i slobodne profile za nove pruge.
Slobodni profili za nove pruge su GB i GC.
Slobodni profili za nove pruge se zasnivaju na kinematičkoj osnovi a parametri prilikom definisanja, metodologija proračuna, pravila o potrebnom rastojanju susednih koloseka, kompatibilnost sa voznim parkom i druge osobine slobodnih profila, definisane su standardom SRPS EN 15273-3.
Dimenzije slobodnih profila date ovim pravilnikom, primenjuju se u kružnim krivinama poluprečnika većeg od 250 m dok je za manje poluprečnike potrebno proširenje slobodnih profila.
Pri gradnji novih koloseka otvorene pruge, glavnih prolaznih i glavnih staničnih koloseka magistralnih elektrificiranih ili za elektrifikaciju predviđenih pruga, namenjenih međunarodnom saobraćaju, poželjna je primena slobodnog profila GC koji je definisan standardom SRPS EN 15273-3.
Nove regionalne i lokalne pruge, uključujući stanične i druge koloseke, zadovoljavaju slobodni profil GB, koji je definisan standardom SRPS EN 15273-3.
Nove magistralne pruge, zadovoljavaju slobodni profil GB, a preporučuje se, ukoliko to eksploatacioni uslovi zahtevaju i ekonomski je opravdano, korišćenje slobodnog profila GC.
Pri unapređenju postojećih elektrificiranih i za elektrifikaciju planiranih pruga, preporučuje se, ako postoje potrebni lokacijski i prostorni uslovi, prelazak sa postojećeg slobodnog profila na slobodni profil GB.
Slobodni profil na postojećim prugama
Sve postojeće pruge, uključujući koloseke u službenim mestima, zadovoljavaju slobodni profil čiji su oblik i mere dati u Prilogu 1 - Oblik i mere slobodnog profila na postojećim prugama, koji je odštampan uz ovaj pravilnik i čini njegov sastavni deo.
Proširenje, nadvišenje i spuštanje slobodnog profila
Za sve poluprečnike kružnih krivina R < 250 m, vrši se proširenje slobodnih profila kako je dato u tabeli 2:
Poluprečnik krivine |
Sa unutrašnje strane krivine |
Sa spoljašnje strane krivine |
Prostor za kontaktnu mrežu (KM) |
[m] |
[mm] |
||
250 |
0 |
0 |
0 |
225 |
25 |
30 |
10 |
200 |
50 |
60 |
20 |
180 |
80 |
90 |
30 |
150 |
130 |
160 |
50 |
120 |
330 |
350 |
80 |
100 |
530 |
550 |
110 |
Tabela 2: Proširenja slobodnih profila u zavisnosti
od poluprečnika kružne krivine
Za sve vrednosti poluprečnika krivine između datih u tabeli, vrši se interpolacija.
Promene u dimenzijama slobodnog profila u krivinama sa nadvišenjem su:
1) za spoljne strane krivine zbog nadvišenja spoljne šine, profil se ne proširuje niti se sužava, ali se nadvisuje; zbog krivine, profil se proširuje;
2) za unutrašnje strane krivine zbog nadvišenja spoljne šine, profil se proširuje, a uz to se proširuje i zbog krivine (sabira se proširenje zbog nadvišenja i zbog krivine); zbog poprečnog nagiba ravni koloseka usled nadvišenja spoljne šine, profil se spušta naniže.
Donji deo slobodnog profila za koloseke po kojima se mogu kretati sva železnička vozila, dat je slikom 1.

Donji deo slobodnog profila za koloseke koji nisu obuhvaćeni stavom 1. ovog člana, dat je slikom 2 i tabelom 3, gde se na udaljenosti od 5 m pred konveksnim zaobljenjem vertikalne krivine, može u pravcu uključiti srednja vrednost h1 i h2.
|
Visina linije slobodnog profila |
||||
u konkavno zaobljenim krivinama sa R > 400 m i do 5 m pre konveksno zaobljenih krivina |
neposredno pre konveksno zaobljenih vertikalnih krivina |
u konveksno zaobljenim vertikalnim krivinama |
|||
R ≥ 2.000 m |
2.000 > R ≥ 300 m |
R ≥ 2.000 m |
2.000 > R ≥ 300 m |
||
h1 |
115 |
105 |
70 |
100 |
0 |
h2 |
125 |
115 |
80 |
110 |
0 |
Tabela 3: Donji deo slobodnog profila
Žleb za prolaz točkova šinskih vozila
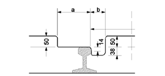
Za bezbedan prolaz točkova šinskih vozila, pored šina se obezbeđuje slobodan prostor.
Normalna dubina žleba za prolaz venca točka, merena od GIŠ, je 42-45 mm na putnim prelazima u nivou i 48-51 mm na skretnicama.
Izuzetno od stava 2. ovog člana, dubina žleba može biti najmanje 38 mm.
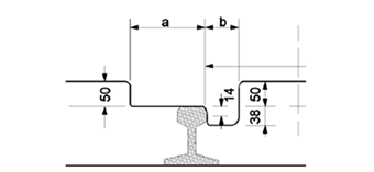
Širina gazišta "a" data slikom 3 za prolaz bandaža točka za nepokretne predmete koji su čvrsto vezani sa šinom je najmanje 135 mm a za nepokretne predmete koji nisu čvrsto vezani sa šinom, najmanje 150 mm.
Najmanja širina žleba za prolaz venca točka "b" (slika 3) iznosi:
1) kod šina vođica skretnica i ukrštaja 41 mm;
2) na putnim prelazima najmanje 45 mm;
3) u svim drugim slučajevima pri koloseku u pravcu, najmanje 70 mm;
4) u svim drugim slučajevima pri koloseku u krivini, najviše 85 mm.
Širina žleba "b" na mostovima bez drumskog saobraćaja je:
1) normalno 200 mm;
2) najviše (na novim mostovima) 220 mm;
3) najmanje (na novim mostovima) 180 mm;
4) izuzetno (na postojećim mostovima) 160 mm.
Razmak između vozne i sigurnosne šine u krivini R<175 m, je najmanje:
1) pri poluprečniku krivine 175 > R ≥ 150 m - 45 mm;
2) pri poluprečniku krivine 150 > R ≥ 125 m - 50 mm;
3) pri poluprečniku krivine 125 > R ≥ 100 m - 55 mm.
Visina sigurnosne šine:
1) kod kontrašine na putnim prelazima - ista kao i kod kolosečne šine;
2) kod sigurnosne šine - u ravni GIŠ (normalno);
3) kod sigurnosne šine gde je razmak od vozne šine 160-200 mm - najviše 10 mm ispod GIŠ;
4) kod sigurnosne šine gde je razmak od vozne šine 200-220 mm - najviše 15 mm ispod GIŠ;
5) kod sigurnosnih šina na mostu - najviše 50 mm iznad GIŠ.

Slika 3: Slobodan prostor za prolaz bandaža i venca točka
Tovarni profil (profil vozila) je ograničeni prostor u poprečnom preseku upravnom na osu koloseka.
Osa tovarnog profila stoji upravno na pravu koja dodiruje GIŠ i prolazi kroz sredinu koloseka, odnosno sredinu odstojanja između voznih šina.
Prazna ili natovarena železnička vozila ne mogu nijednim delom da budu izvan granica tovarnog profila.
Oblik i mere tovarnih profila, za primenu na postojećem slobodnom profilu, date su u Prilogu 2 - Oblik i mere tovarnog profila na postojećim prugama, koji je odštampan uz ovaj pravilnik i čini njegov sastavni deo.
Tovarni profili za nove železničke pruge, definisani su standardom SRPS EN 15273-2.
Prelaz između slobodnih profila različitih širina
Prelaz između slobodnog profila bez proširenja u pravcu na slobodni profil sa proširenjem u krivini R < 250 m sa prelaznom krivinom, izvodi se kako je prikazano na levoj strani slike 4.
Prelaz između slobodnog profila bez proširenja u pravcu na slobodni profil sa proširenjem u krivini R < 250 m bez prelazne krivine, izvodi se kako je prikazano na desnoj strani slike 4.
Za vrednost "x" iz stava 2. ovog člana, uzima se:
1) 7 m za poluprečnike krivina 150 ≤ R < 185 m;
2) 6 m za poluprečnike krivina 185 ≤ R < 250 m.

Slika 4: Proširenje slobodnog profila sa i bez prelazne krivine
Normalna širina koloseka u pravoj i krivinama poluprečnika 250 m i većim, iznosi 1.435 mm.
Najveća širina koloseka, uključujući i proširenje, iznosi 1.470 mm.
Najmanja širina koloseka iznosi 1.426 mm.
Širina novog koloseka, izražena u mm, meri se upravno na osu koloseka na najužem mestu u ravni koja se nalazi na 14 mm ispod vozne površi.
Širina koloseka u eksploataciji se meri upravno na osu koloseka na najužem mestu u ravni koja se nalazi na 0-14 mm ispod vozne površi.
U kružnim krivinama poluprečnika manjeg od 250 m, kolosek se proširuje pomeranjem unutrašnje šine od ose koloseka.
Proširenje koloseka u zavisnosti od poluprečnika krivine dato je u tabeli 4:
Poluprečnik krivine R |
Proširenje e |
Širina koloseka |
[m] |
[mm] |
|
≥250 |
0 |
1.435 |
249-200 |
5 |
1.440 |
199-150 |
10 |
1.445 |
149-120 |
15 |
1.450 |
<120 |
20 |
1.455 |
Tabela 4: Proširenje koloseka u zavisnosti od poluprečnika krivine
Postupnost u promeni širine koloseka
Proširenje koloseka počinje iza početka prelazne krivine (u daljem tekstu: PPK) na mestu gde je poluprečnik manji od 250 m i raste postepeno, u podjednakim koracima tako da se puna vrednost proširenja postigne na kraju prelazne krivine (u daljem tekstu: KPK) tj. na početku kružne krivine (u daljem tekstu: PKK).
Nezavisno od stava 1. ovog člana, proširenje koloseka može početi i ranije, na mestu gde je poluprečnik veći od 250 m.
Kod koloseka bez prelazne krivine, proširenje se izvodi u pravoj ispred krivine, u podjednakim koracima po pojedinačnim pragovima, tako da se potrebno proširenje postigne na PKK.
Kontinualno izvođenje proširenja koloseka vrši se:
1) u kružnoj krivini bez prelaznih krivina;
2) kod kratkih međupravaca, delom u pravoj, a delom u kružnoj krivini;
3) u složenoj krivini, tako da se razlika u širini koloseka izravnava ako:
(1) ima prelazne krivine, u prelaznoj krivini između oba luka;
(2) nema prelazne krivine, razlika u širini koloseka izravnava se na delu kružne krivine sa većim poluprečnikom;
(3) je dužina prelazne krivine nedovoljna, razlika u širini koloseka izravnava se po celoj dužini prelazne krivine, a produžava se i na deo kružne krivine sa većim poluprečnikom;
4) kod kružnih krivina suprotnog smera, tako da se razlika u širini koloseka izravnava:
(1) ako su bez prelaznih krivina ali sa propisanim međupravcem, na oba šinska traka po celoj dužini međupravca;
(2) ako nema međupravca a krivine su istog poluprečnika;
(3) ako nema međupravca a krivine su različitih poluprečnika;
(4) ako je međupravac nedovoljne dužine, razlika u širini koloseka izravnava se po celoj dužini međupravca, a produžava se postepenim pomeranjem spoljašnje i unutrašnje šine jednog dela obe krivine, ili samo pomeranjem spoljašnje i unutrašnje šine na delu krivine sa većim poluprečnikom, što zavisi od dužine međupravca i razlike u veličini poluprečnika krivina;
5) kod skretnica čiji je početak sa proširenjem, izravnanje, zbog različitih širina koloseka na delu pruge ispred i na početku skretnice, izvršava se u koloseku ispred skretnice.
Najmanji razmak između osa koloseka na otvorenoj pruzi i u stanicama, u pravoj i u krivinama poluprečnika R ≥ 250m bez nadvišenja, dat je u tabeli 5:
Vrsta pruge - koloseka |
Postojeći |
Novi i obnovljeni |
[mm] |
||
Otvorena pruga |
||
kod dvokolosečnih pruga za brzine ≤ 160 km/h |
3.500 |
4.000 |
kod dvokolosečnih pruga za brzine > 160 km/h |
- |
4.500 |
kod paralelnih pruga |
3.800 |
4.750 |
kod dvokolosečnih pruga ako su signali između koloseka |
4.400 |
4.600 |
između koloseka gde se postavlja signal ili stub KM |
4.800 + š |
5.000 + š |
Stanični koloseci |
||
između koloseka |
4.750 |
|
kod koloseka između kojih se postavlja peron |
6.000 |
|
između glavnih koloseka gde se postavljaju stubovi |
4.750 |
5.000 + š |
posle svake grupe od šest koloseka |
6.000 |
|
razmak između izvlačnjaka i prolaznog koloseka |
4.500 |
5.000 |
Tabela 5: Najmanji razmak između osa koloseka
Kod koloseka u krivinama poluprečnika R < 250 m, razmak između osa koloseka povećava se u skladu sa tabelom 6:
Poluprečnik krivine R [m] |
Povećanje razmaka između osa koloseka [mm] |
250 |
0 |
225 |
55 |
200 |
115 |
190 |
145 |
180 |
180 |
150 |
315 |
120 |
700 |
100 |
1.100 |
Tabela 6: Povećanje razmaka između osa koloseka za R < 250 m
Najmanji razmaci između osa koloseka na postojećim otvorenim prugama sa poluprečnicima krivina R < 2.100 m, u zavisnosti od poluprečnika krivine i najveće dopuštene brzine, dati su u tabeli 7:
Poluprečnik krivine |
Razmaci između osa koloseka u zavisnosti od najveće dopuštene brzine |
|||||||||
[km/h] |
||||||||||
160 |
140 |
120 |
100 |
80 |
70 |
60 |
50 |
40 |
30 |
|
[m] |
||||||||||
2.100 |
3,50 |
3,50 |
3,50 |
3,50 |
3,50 |
3,50 |
3,50 |
3,50 |
3,50 |
3,50 |
1.600 |
3,54 |
3,50 |
|
|
|
|
|
|
|
|
1.300 |
3,58 |
3,53 |
3,50 |
|
|
|
|
|
|
|
1.100 |
3,61 |
3,56 |
3,51 |
|
|
|
|
|
|
|
950 |
|
3,59 |
3,53 |
|
|
|
|
|
|
|
850 |
|
3,61 |
3,55 |
3,50 |
|
|
|
|
|
|
700 |
|
|
3,59 |
3,53 |
|
|
|
|
|
|
600 |
|
|
3,62 |
3,55 |
3,50 |
|
|
|
|
|
500 |
|
|
|
3,59 |
3,52 |
|
|
|
|
|
450 |
|
|
|
3,61 |
3,54 |
3,50 |
|
|
|
|
400 |
|
|
|
|
3,55 |
3,52 |
3,50 |
|
|
|
300 |
|
|
|
|
3,61 |
3,56 |
3,52 |
3,50 |
|
|
250 |
|
|
|
|
|
3,60 |
3,55 |
3,51 |
3,50 |
|
225 |
|
|
|
|
|
|
3,63 |
3,58 |
3,56 |
3,50 |
200 |
|
|
|
|
|
|
3,71 |
3,66 |
3,62 |
3,62 |
180 |
|
|
|
|
|
|
3,80 |
3,74 |
3,69 |
3,68 |
Tabela 7: Najmanji razmak između osa koloseka u zavisnosti od dopuštene brzine
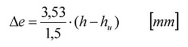
Ako je nadvišenje spoljne šine h veće od hu unutrašnje šine, najmanji razmak između osa koloseka se računa po obrascu:

a u obrnutom slučaju, razmak osa između koloseka se umanjuje za Δe.
Ako dva susedna koloseka imaju jednako nadvišenje i nalaze se u istom podužnom nagibu (niveleti) ili su na različitim visinama podužnog nagiba (sa istim vrednostima pada/uspona), razmak između osa koloseka se računa po obrascu:

Kod određivanja razmaka između koloseka, osim vrednosti datih u tabeli 7, uzimaju se u obzir i širine radnih staza pored koloseka, prostor za rad mehanizacije (rešetaljke), temelji stubova kontaktne mreže (u daljem tekstu: KM), drenaža i dr.
Rastojanja perona i rampi od ose koloseka
Mere za rastojanja objekata kod koloseka u pravcu, za visinu objekata merenu od GIŠ i za odstojanje objekata mereno od ose koloseka, date su tabelom 8.
Kod koloseka u krivinama, mere date u tabeli 8. se uvećavaju na sledeći način:

gde je l stvarna širina koloseka a lmax = 1.470 mm.
Vrsta objekata |
Za novogradnju, obnovu i unapređenje postojećih pruga |
|
visina |
odstojanje |
|
[mm] |
||
Tovarna rampa i pod magacina |
1.100 |
1.670 + ΔS*** |
Vojna rampa |
1.280 |
1.775 + ΔS*** |
Stočna rampa |
2.200 |
1.670 + ΔS*** |
Peroni visine |
550* i 760** |
1.670 + ΔS*** |
Peron visine** |
350 |
1.600+ ΔS*** |
Stabilni predmeti na putničkim peronima |
3.500 |
3.000+ ΔS*** |
* pri gradnji novih i unapređenju postojećih pruga |
||
Tabela 8: Udaljenost objekata od ose koloseka
Najmanje rastojanje od nepokretnih predmeta i uređaja na peronima (stubovi i sl.) iznosi 3 m.
Tolerancija za odstupanje odmaka rampe i perona od ose koloseka je do +50 mm.
Prilikom izgradnje novih magistralnih pruga, uzimaju se u obzir i svi zahtevi za visinski položaj perona i širinu zazora od ivice perona do najbližeg stepenika ili poda vozila, propisani tehničkim specifikacijama interoperabilnosti za lica sa ograničenom sposobnošću kretanja.
Rastojanja nepokretnih objekata od ose koloseka i gornje ivice šine
Najmanja visina donje ivice konstrukcije objekata iznad GIŠ iznosi:
1) u normalnim rasponima KM na otvorenoj pruzi 5,8-6,3 m;
2) u zonama zatezanja, sekcionisanja i u stanicama u zavisnosti od razmaka stubova KM i sistemske visine do 7,3 m.
Rastojanja unutrašnje ivice stuba KM i ose koloseka dati su tabelom 9.
|
Nove pruge |
|
Normalno |
Najmanje |
|
[mm] |
||
Otvorena pruga i glavni prolazni koloseci |
3.100 |
2.700 |
Stanice: |
||
za pravac i spoljnu stranu krivine svih poluprečnika i unutrašnju stranu krivine i R ≥ 1.500 m |
2.700 |
2.200 |
za unutrašnje krivine i R < 1.500 m |
3.100 |
2.500 |
na peronima uz glavne koloseke |
3.300 |
3.000 |
na peronima uz sporedne koloseke |
3.000 |
- |
Tabela 9: Rastojanje stuba kontaktne mreže od ose koloseka
Pri određivanju udaljenosti veštačkih objekata (stubovi mosta, potporni zidovi, zidovi za zaštitu od buke i dr.) od ose koloseka uzima se u obzir zastor sa kosinom, ivična ili srednja staza i sigurnosni prostor.
Sigurnosni prostor je slobodan od nepokretnih objekata do visine od 2,20 m iznad gornje ivice ivičnih i srednjih staza.
Nepokretni objekti male dužine (stubovi i temelji stubova za KM, podupirači, govornice, signali i postavni uređaji) ne narušavaju zaštitnu funkciju sigurnosnog prostora, pošto zaštita pri prolazu vozova može da se ostvari pored ovih objekata.
Rastojanje veštačkih objekata od ose koloseka u zavisnosti od projektne brzine, dato je tabelom 10:
|
Nadvišenje |
V ≤ 160 km/h |
V > 160 km/h |
[mm] |
[m] |
||
pravac i unutrašnja strana krivine |
3,30 |
3,80 |
|
spoljna strana krivine |
0-20 |
3,30 |
3,80 |
25-50 |
3,40 |
3,90 |
|
55-100 |
3,50 |
4,00 |
|
105-150 |
3,60 |
4,10 |
|
Tabela 10: Rastojanje veštačkih objekata od ose koloseka
u zavisnosti od projektne brzine
Odstojanje lica stuba KM od ose koloseka iznosi najmanje 3,10 m.
Najmanje rastojanje vidnog dela temelja KM od ose koloseka otvorene pruge za koji je predviđeno mehanizovano održavanje zastorne prizme potrebno je da iznosi najmanje 3,10 m, što zahteva znatno veće odstojanje stuba KM od ose koloseka i znatno dužu konzolu.
Oblik i dimenzije temelja stubova KM i položaj u poprečnom profilu, usklađuju se sa kanalom za kablove, drenažnim rovovima i ostalim objektima projektovanim u širini planuma, kao i sa elementima konstrukcije pruge.
Gornja površina kanala za kablove postavlja se u nivou sa gornjom ivicom planuma ili gornjom ivicom praga.
Rastojanje kanala za kablove od osovine koloseka iznosi najmanje:
1) u ivičnim stazama 3,25 m;
2) u ivičnim stazama sa stubom za KM (iza temelja stuba KM), 3,65 m;
3) u srednjim stazama sa kontinualnom zastornom prizmom 2,20 m.
Odstojanje pružnih oznaka od ose koloseka
Kada se u trupu pruge nalaze odvodni kanali i signalno-sigurnosni kablovi na odstojanju koje onemogućava postavljanje pružnih oznaka u skladu sa tabelom 5, odstojanja mogu da budu i veća, a najmanja odstojanja najbližeg dela pružnih oznaka od ose koloseka iz tačke 2) tabele 11, za normalni kolosek iznose 2.200 mm.
Visina stalnih oznaka iz tačke 2) tabele 11 iznad gornje ivice bliže šine, za pruge normalnog koloseka, iznosi najviše 50 mm.
Odstojanje padokaza od ose koloseka u krivinama kod pruga normalnog koloseka poluprečnika manjeg od 250 m, kao i za kolosek sa nadvišenjem, povećava se u skladu sa proširenjem slobodnog profila.
Vrsta pružne oznake |
Magistralne/regionalne pruge |
Lokalne pruge |
|||
Novogradnja, obnova i unapređenje koloseka |
U eksploataciji |
Novogradnja obnova i unapređenje koloseka |
U eksploataciji |
||
[mm] |
|||||
1) |
Odstojanje zareza kojim se obeležava osa koloseka na pružnim oznakama |
2.800 +10 |
2.500+25 |
2.300+10 |
2.300+25 |
2) |
Odstojanje najbližeg dela kilometarskog i hektometarskog znaka oznake za osu i visinu koloseka, oznake za krivinu |
2.800+10 |
2.440+25 |
2.240+10 |
2.240+25 |
3) |
Odstojanje najbližeg dela padokaza kod koloseka u pravoj, kao i u krivinama R>250 m kod koloseka bez nadvišenja |
2.800+10 |
2.500+25 |
2.500+10 |
2.500+25 |
Tabela 11: Najmanje dimenzije vrednosti poprečnih preseka zastorne prizme
Najmanja rastojanja materijala i predmeta od gornje ivice šine
Rastojanja materijala od GIŠ koji, po prirodi ili po slaganju, imaju nagib najviše do 45° prema koloseku (šljunak, pesak, tucanik i sl.) prikazana su u tabeli 12:
Vremenski period |
U pravcu |
U krivinama R ≥ 180 m |
|
Spolja |
unutar |
||
[mm] |
|||
Leti |
700 |
700 |
850 |
Zimi |
800 |
800 |
950 |
Tabela 12: Najmanja dopuštena rastojanja materijala koji imaju nagib prema koloseku
Rastojanja materijala i predmeta od GIŠ, koji po prirodi ili po slaganju, imaju vertikalan položaj (pragovi, građa, cigla i sl.) prikazana su u tabeli 13:
Na visini od GIŠ |
U pravcu |
U krivinama R ≥ 180 m |
|
Spolja |
unutar |
||
[mm] |
|||
0 - 1000 |
1.300 |
1.400 |
1.500 |
1000 - 3050 |
1.800 |
1.900 |
2.200 |
Visina od GIŠ kod koloseka u krivini, za naslage sa spoljne strane meri se od spoljne šine, a za naslage sa unutrašnje strane od unutrašnje šine. |
|||
Tabela 13: Najmanja dopuštena rastojanja vertikalnih materijala i predmeta od GIŠ
Na prugama koje su predviđenje za čišćenje od snega mehanizacijom (grtalicom), sve mere navedene u tabelama 12 i 13, izuzev mere 2.200 mm, povećavaju se na 2.100 mm za vreme rada mehanizacije.
Između šina u koloseku, materijal i predmeti su udaljeni od unutrašnjih ivica glava šina 200 mm.
Visina materijala i predmeta koji se nalaze unutar kolosečnih šina mogu biti iznad GIŠ, samo leti i to najviše 50 mm.
Ograde između koloseka na stanicama i stajalištima
Sve stanice na dvokolosečnim prugama koje imaju perone sa obe strane koloseka, sa izuzetkom stanica sa srednjim peronima, imaju ogradu između koloseka.
Visina ograde između koloseka zavisi od razmaka između osa koloseka i iznosi:
1) 760 mm iznad GIŠ, kod razmaka između osa koloseka ≤ 4.000 mm;
2) 1.000 mm iznad GIŠ, kod razmaka između osa koloseka > 4.000 mm.
III TEHNIČKI USLOVI ZA ELEMENTE KONSTRUKCIJE GORNJEG STROJA
U koloseke novih pruga ugrađuju se Vinjolove šine tipa 49E1 ili 60E1.
Oblik, dimenzije poprečnog preseka, kvalitet čelika i ostali podaci o standardnim šinama i tolerancijama, definisani su standardom SRPS EN 13674-1.
Na magistralnim prugama ugrađuju se šine tipa 60E1.
Na regionalnim i lokalnim prugama mogu se ugrađivati šine tipa 49E1 uz uslove da je maksimalno osovinsko opterećenje do 225 kN, godišnje saobraćajno opterećenje do 10 miliona bruto-tona po kilometru i da je najveća brzina 120 km/h.
Pri obnovi lokalnih pruga i industrijskih koloseka, moguće je ugraditi i druge tipove šine od navedenih u stavu 1. ovog člana, u skladu sa već postojećim tipom šine na tim prugama, vodeći računa da se ujednači tip šine na celoj deonici koja se obnavlja.
Korišćene šine se mogu ugrađivati u sporedne stanične koloseke magistralnih i regionalnih pruga i pojedine lokalne pruge, ukoliko imaju potrebnu nosivost, nisu oštećene i ishabanost glave šine ne prelazi tolerancije.
Obostrano ishabane šine, u granicama ishabanosti, mogu se ugrađivati samo u radioničkim kolosecima i kolosecima za gariranje.
Šine iz st. 3, 4, 6. i 7. ovog člana su u skladu sa svim zahtevima definisanim standardom SRPS EN 13674-1.
Tehnički uslovi za šine za jezičke i srca, definisani su standardom SRPS EN 13674-2.
Tehnički uslovi za šine vođice, u krivinama malog poluprečnika, definisani su standardom SRPS EN 13674-3.
Na prugama se mogu ugrađivati šine najmanjeg kvaliteta čelika R200.
U nove, obnovljene i unapređene magistralne i regionalne pruge i u glavne stanične koloseke tih pruga ugrađuju se nove šine kvaliteta čelika najmanje R260.
Ugrađivanje šina većeg kvaliteta iz stava 1. ovog člana, vrši se u oštrim krivinama, tunelima, velikim nagibima, mestima gde se vrši kočenje i zaustavljanje vozova, kod skretničkih elemenata i specijalnih konstrukcija koloseka.
Dozvoljena ishabanost glave šine
Visinska ishabanost glave šine se meri u vertikalnoj osi šine.
Bočna ishabanost glave šine se meri pod uglom od 45° na vertikalnu osu šine gde merna linija prolazi kroz sredinu kružnog luka opisanog oko vozne ivice šine.
Metode, način merenja i tolerancije visinske i bočne ishabanosti glave šine, definisane su standardom SRPS EN 13674-1.
Šine se zamenjuju kada visinska ishabanost, bočna ishabanost ili zbir visinske i bočne ishabanosti glave šine dostigne tolerancije definisane standardom SRPS EN 13674-1.
Nagib šine u poprečnom profilu
Šine se u kolosek ugrađuju bez nagiba ili sa nagibom ose simetrije u poprečnom profilu, koji se izvodi prema osi koloseka.
Projektnim zadatkom se definiše odgovarajući nagib ose simetrije šina u poprečnom profilu.
Pri gradnji novih i unapređenju ili obnovi postojećih pruga i glavnih staničnih koloseka na njima, u kolosek se ugrađuju šine sa nagibom ose simetrije u poprečnom profilu, koji se izvodi prema osi koloseka.
Nagib ose simetrije šina u poprečnom profilu, bira se iz raspona od 20:1 do 40:1.
Izuzetno od stava 3. ovog člana, za projektne brzine manje ili jednake od 200 km/h, ukoliko je deonica pruge, između skretnica ili ukrštaja u kojima su ugrađene šine bez nagiba ose simetrije u poprečnom profilu, kraća od 100 m, dopuštena je ugradnja šina bez nagiba ose simetrije u poprečnom profilu.
Nagib ose simetrije ugrađenih šina prema osi koloseka u poprečnom profilu obezbeđuje se:
1) ugrađivanjem podložnih pločica sa nagibom naležne površine prema osi koloseka u poprečnom profilu, koji se bira iz raspona od 1:20 do 1:40;
2) površinom betonskog praga u potrebnom nagibu, kod elastičnih šinskih pričvršćenja bez podložnih pločica;
3) elastičnim šinskim osloncima sa nagibom, kod konstrukcija koloseka na čvrstoj podlozi.
U skretnice, ukrštaje, dilatacione sprave i okretnice, ugrađuju se šine bez nagiba ose simetrije u poprečnom profilu ili šine sa nagibom ose simetrije u poprečnom profilu, koji se izvodi prema osi koloseka, prema sledećem:
1) za brzine manje ili jednake od 200 km/h, bez nagiba ili sa nagibom;
2) za brzine veće od 200 km/h, a manje ili jednake od 250 km/h sa nagibom, a izuzetno, ukoliko je dužina šina između skretnica ili ukrštaja kraća od 50 m, dopuštena je ugradnja šina bez nagiba;
3) za brzine veće od 250 km/h, šine se ugrađuju sa nagibom.
Nagib ose simetrije šina u poprečnom profilu bira se iz raspona od 20:1 do 40:1, a obezbeđuje se preko podložnih pločica, na kojima su izvedeni nagibi naležne površine u poprečnom profilu, čija se vrednost bira iz raspona od 1:20 do 1:40.
Prelaz sa dela koloseka u kome su šine ugrađene u poprečnom nagibu 20:1 na deo koloseka izveden bez poprečnog nagiba šina, vrši se ugrađivanjem podložnih pločica (na mestu prelaza, najviše na dva susedna praga), čija je naležna površina u nagibu 1:40.
Na mestu prelaza, specijalne podložne pločice, nagiba naležne površine 1:40, ugrađuju se samo na jednom pragu, osim ako je drugačije određeno projektom.
Specijalne podložne pločice sa nagibom naležne površine od 1:40, kao prelazne, ne ugrađuju se na pragovima ispod spojeva šina, na pragovima do spojeva šina, na pragovima do zavarenih mesta na šinama, kao i na celim dužinama skretnica, ukrštaja, dilatacionih sprava i okretnica.
Nove šine se isporučuju sa po dve rupe na svakom kraju ako se međusobno povezuju pomoću vezica i spojnih vijaka sa navrtkama.
Ako se šine odmah zavaruju, onda se naručuju bez rupa.
Raspored bušenja i dimenzije rupa na šinama dati su na slici 5 i u tabeli 14.

Slika 5: Raspored bušenja
Tip šine |
Prečnik rupe "d" |
Odstojanje rupa |
||
A |
b |
V |
||
60E1 |
33,0 / 29,0 |
61,0 |
165,0 |
76,3 |
49E1 |
45,5 |
62,5 |
||
Tabela 14: Dimenzije rupa standardizovanih tipova šina
Šine se spajaju:
1) mehaničkim spojevima;
2) izolovanim spojevima;
3) zavarivanjem.
Šine različitih tipova ugrađenih u koloseku, spajaju se zavarivanjem, prelaznim vezicama ili prelaznim šinama.
Na mestu šinskog spoja, vozne ivice glava šina i površine kotrljanja šina koje se spajaju se podudaraju.
Zahtevi za izolovane i neizolovane šinske spojeve kao i kontinualno zavarene šine i šine sa sastavima, u pogledu mehaničkih i električnih svojstava, definisani su standardom SRPS EN 16843.
Mehanički spojevi šina se ostvaruju pomoću šinskih vezica sa zazorom na sučeljenim krajevima šina zbog temperaturnog dilatiranja.
Šine se spajaju vezicama na:
1) na običnom ili širokom drvenom pragu;
2) na udvojenom drvenom pragu sa ili bez široke podložne pločice;
3) kao slobodan (lebdeći spoj).
Krajevi šina na kojima se izvodi spajanje šinskim vezicama vertikalno se zasecaju sem kod dilatacionih sprava gde se koso zasecaju.
Šinski spojevi povezani vezicama ne izvode se na:
1) na putnim prelazima u nivou;
2) na mostovima i propustima sa otvorenim kolosekom;
3) iznad stubova i parapetnih zidova mostova i propusta;
4) na kolskim vagama, na okretnicama i prenosnicama.
Šinski spojevi povezani vezicama udaljeni su najmanje 4 m od parapetnih zidova i od stubova svih mostova i propusta, a kod putnih prelaza u nivou, sastav šina je udaljen najmanje 5 m od ivice puta na prelazu.
Ako se uslov iz stava 5. ovog člana ne može ispuniti, šine se na spoju zavaruju.
Izolovani šinski spoj je sklop elemenata za izolaciju krajeva šinskog odseka.
Izolovani šinski spojevi mogu biti:
1) izolovani lepljeni šinski spojevi tipa "L";
2) izolovani lepljeni šinski spojevi tipa "M" (malter-lepilo sa puniocem);
3) izolovani nelepljeni šinski spojevi od materijala sa propisanim mehaničkim i električnim osobinama.
Tehnički zahtevi za izolovane šinske spojeve
Specifični otpor izolacije izolovanog odseka pod najnepovoljnijim vremenskim uslovima nije manji od 1,6 Ω/km kod pružnih, a 1 Ω/km kod staničnih izolovanih odseka.
Električni otpor izolacije ugrađenog izolovanog šinskog spoja u izolovanom odseku nije manji od 50 Ω pri najnepovoljnijim vremenskim uslovima.
Planum pruge treba da bude dobro odvodnjavan i zaštićen od nailaska vode i materijala nošenog vodom za vreme atmosferskih nepogoda.
Zastor je propisane debljine "d", vodopropustljiv i čist.
Slobodan prostor između zastora i nožica šina u koloseku i skretnicama, kao i između zastora i drugih metalnih delova u koloseku, vezanih za šine, iznosi najmanje 50 mm a ukoliko ovaj prostor nije moguće obezbediti, nožicu šine treba obložiti ili premazati specijalnim sredstvima za elektroizolaciju.
Potrebno je da drveni pragovi budu impregnisani, a da betonski pragovi imaju propisani električni otpor.
Rupe za tirfone u drvenim pragovima, kao i rupe za drvene umetke u betonskim pragovima ne treba bušiti po celoj visini praga, u protivnom, donji otvor ovih rupa zatvara se drvenim čepovima.
Kod poduprtih šinskih spojeva (dupli prag) spojni vijci za međusobnu vezu pragova su udaljeni od tirfona najmanje 50 mm.
Čelični pragovi se ne upotrebljavaju, a ako su već ugrađeni u koloseku, onda se šine izoluju.
Izolovani šinski spojevi na jednom kraju veza nose utisnute ili postojanom masnom bojom nanete sledeće oznake:
1) znak proizvođača;
2) redni broj izolovanog sastava;
3) dva poslednja broja godine izrade.
Uzemljenje, prevezi i priključna užad postavljaju se na rastojanja od najmanje 500 mm od sredine izolovanog šinskog spoja.
Šinski prespoji kod koloseka sa klasičnim sastavima ostvaruju se stavljanjem po dva užeta na nožicu šine, na odstojanje 100-150 mm od kraja vezice.
Uzemljenja, prespoji i priključni kablovi polažu se u zemlju tako da ne smetaju radu uređaja za mašinsko regulisanje koloseka, odnosno da ih ovi ne mogu pokidati.
Šine se spajaju zavarivanjem:
1) u koloseku aluminotermijskim postupkom definisanim serijom standarda SRPS EN 14730;
2) u radionicama ili u koloseku, sučeonim zavarivanjem šina varničenjem definisanim serijom standarda SRPS EN 14587.
Pod dugim trakom šina (u daljem tekstu: DTŠ), podrazumevaju se kontinualno zavarene šine u koloseku u dužine veće od 60 m.
Najmanja dužina šine za zavarivanje u DTŠ je duža od razmaka 3 praga ili 2 m.
Zavarivanje šina i skretnica u DTŠ je obavezno na novim, obnovljenim ili unapređenim otvorenim prugama i glavnim staničnim kolosecima, a preporučuje se i na svim drugim postojećim prugama i kolosecima ako su ispunjeni sledeći uslovi:
1) donji stroj je stabilizovan, konsolidovan i svi radovi su u potpunosti završeni;
2) tucanički zastor je propisane granulacije i profila;
3) kolosek je regulisan i stabilizovan;
4) elementi pričvrsnog pribora su čvrsti i sigurno pričvršćeni;
5) svi elementi koloseka koji se zavaruje u DTŠ su u takvom tehničkom stanju i međusobnom odnosu da kolosek kao celina ima trajnu stabilnost, a naročito potreban podužni i bočni otpor.
Korišćene i regenerisane šine se mogu se zavarivati u DTŠ ako nemaju obostrano istrošenu glavu, podužne ili poprečne deformacije ili naprsline, unutrašnje naprsline i ako je habanje glave šine unutar propisanih tolerancija, koje su date tabelom 15.
Tip šine |
Dozvoljena |
|||
Visinska |
Bočna |
visinska |
bočna |
|
ishabanost šina za zavarivanje u DTŠ |
||||
magistralne i regionalne pruge |
lokalne pruge, sporedni stanični i industrijski koloseci |
|||
[mm] |
||||
60E1 |
8 |
5 |
12 |
6 |
49E1 |
6 |
5 |
10 |
6 |
Tabela 15: Tolerancije za ishabanost glave šine za zavarivanje u DTŠ
Mogu se zavariti dve šine istog tipa ako im je visinska razlika do 4 mm sa izuzetkom prelaznih šina, koje se zavaruju po posebnom postupku.
DTŠ se završava dilatacionim spravama ili blokiranjem mehaničkih sastava na krajevima DTŠ spravama protiv putovanja šina.
Uticaj temperature na formiranje DTŠ
Pre zavarivanja šina u međuodseke, ostavljaju se dilatacioni razmaci.
Zavarivanje DTŠ u međuodseke se vrši pri temperaturi od 0°C do +30°C.
Srednja temperatura vazduha ts je aritmetička sredina maksimalnih i minimalnih temperatura u jednom klimatskom području, koja se utvrđuje višegodišnjim merenjima.
Za svaku prugu se utvrđuje temperaturno područje i izrađuje karta temperaturnih zona.
Potrebna temperatura šina tp je temperatura pri kojoj se vrši završno zavarivanje šina u DTŠ, odnosno pri kojoj se šine nalaze u beznaponskom stanju.
Zavarivanje međuodseka DTŠ tj. završno zavarivanje, vrši se nakon oslobađanja napona na u intervalu tp = ts ± 5°C.
Ako se zavarivanju pristupa na nižoj temperaturi, tp se postiže zagrevanjem.
Prilikom ugrađivanja šina, na spoju između dve šine, ostavlja se dilatacioni razmak.
Najveća dilatacioni razmak može biti 20 mm a stvarna veličina otvora zavisi od temperature šine prilikom ugrađivanja, dužine šine, tipa koloseka i otpora koji se javlja u koloseku u skladu sa sledećim jednačinama:

Šine se ne ugrađuju pri temperaturi vazduha nižoj od 0°C i višoj od 35°C.
Ako se šine ugrade pri temperaturi koja zahteva dilataciju od 2 mm ili manju, odnosno 18 mm i veću, šine se oslobađaju naprezanja na potrebnoj temperaturi koja predstavlja temperaturu šine pri kojoj se vrši oslobađanje DTŠ, za temperaturno područje gde su ugrađene šine, a dilatacija treba ponovo da se reguliše prema formuli iz stava 2. ovog člana.
Nove šine duže od 45 m zavaruju se u DTŠ, a veličina dilatacije data je u tabeli 16.
Temperatura šine |
Dilatacija |
< 10 |
10 |
10 - 20 |
5 |
> 20 |
0 |
Tabela 16: Veličina dilatacije šina u DTŠ
Dilatacione sprave su uređaji kojima se omogućuje relativno pomeranje šine, koje nastaje usled kočenja i ubrzavanja vozila kao i usled temperaturnih uticaja.
Dilatacione sprave se ugrađuju na stabilnom nasipu u pravcu iza pokretnog oslonca mosta a izuzetno ako iz topografskih uslova ili drugih opravdanih razloga to nije moguće, dilatacione sprave se mogu ugraditi i iznad pokretnog oslonca, u skladu sa projektom.
Definisanje, tipovi, sastavni delovi, načini kontrole i tolerancije za dilatacione sprave, definisani su standardom SRPS EN 13232-8.
Dilataciona sprava se sastoji od jezička, naležnih šina, podložnih kliznih pločica, nateznih ploča, šinskog pričvršćenja i pragova.
Hod sprave koji definiše kapacitet je označen sa tri rupe prečnika 5 mm koje su izbušene u sredini vrata krilnih šina gde srednja rupa označava nulti položaj.
Dilataciona sprava se ugrađuje u kolosek zavarivanjem, nakon izvršene regulacije hoda sprave pri srednjoj temperaturi.
Regulacija hoda sprave se vrši u odnosu na nulti položaj jezička uz uslov da odstupanja vrha jezička od njegovog računskog položaja nakon ugrađivanja nije veći od 5mm.
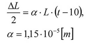
Veličina regulacije izračunava se prema obrascu (u milimetrima):

gde je α - temperaturni koeficijent istezanja čelika, L - dilataciona dužina konstrukcije (u metrima) a t - temperatura pri kojoj se vrši regulacija hoda.
Dilatacione sprave se ugrađuju tako da se kraj jezička postavi na sredinu zeva (hoda dilatacione sprave) pri srednjoj temperaturi u mostu:

Veličina zeva (z) dilatacione sprave izračunava se po obrascu:
z ≥ 1,3 • DL
pod uslovom da odstupanje vrha jezička od njegovog računskog položaja nakon ugrađivanja ne prelazi ±5 mm a u toku eksploatacije ±15 mm.
Kod mostova u krivinama, u slučajevima kada ne postoji drugo rešenje, može se dozvoliti ugradnja dilatacionih sprava samo u kružnim krivinama poluprečnika R ≥ 800 m, po posebnom projektu i uz analizu bezbednosti.
Tehnički uslovi za pričvrsni pribor
Kategorije pričvrsnog pribora definisane su standardom SRPS EN 13481-1.
Tehnički uslovi za pričvrsni pribor za:
1) betonske pragove u koloseku u tucaničkom zastoru, definisani su standardom SRPS EN 13481-2;
2) drvene pragove u koloseku u tucaničkom zastoru, definisani su standardom SRPS EN 13481-3;
3) konstrukciju koloseka bez zastora, sa šinom položenom na gornju površinu ili u kanalu ploče, definisani su standardom SRPS EN 13481-5;
4) skretnice, ukrštaje, šine vođice, izolovane šinske spojeve i šinske dilatacione sprave, definisani su standardom SRPS EN 13481-7.
Postupci ispitivanja pričvrsnog pribora definisani su serijom standarda SRPS EN 13146.
Na kolosecima otvorene pruge i glavnim staničnim kolosecima magistralnih pruga ugrađuje se elastični pričvrsni pribor.
Korišćenje različitih sistema pri projektovanju, gradnji, obnovi, unapređenju i zameni pričvrsnog pribora pri održavanju nije dopušteno.
Na skretnicama, ukrštajima i dilatacionim spravama poželjan je kontinuitet primene izabranog pričvrsnog pribora.
Na nove pragove ugrađuju se novi delovi pričvrsnog pribora od gume drveta i plastike, dok se odgovarajući čelični delovi pričvrsnog pribora, u zavisnosti od stanja, mogu ugraditi novi, regenerisani ili neoštećeni pri prethodnoj upotrebi.
Kada nove šine spajaju mehaničkim spojem, ugrađuju se novi elementi pričvrsnog pribora.
Sprave protiv putovanja šina ugrađuju se na šini ispred pragova u smeru putovanja šine.
Ugradnja sprava protiv putovanja šina obavezna je kod pričvrsnog pribora tipa "K", a kod ostalih sistema, ugrađuju se u zavisnosti od otpora podužnom pomeranju šine koji pruža sistem šinskog pričvršćenja koji je definisan standardom SRPS EN 13146-1.
Sprave protiv putovanja šina, ugrađuju se na kritičnim mestima kao što su: kolosek u podužnom nagibu, blizina signala, ispred/iza izolovanog sastava, ispred/iza kolske vage i na vezi DTŠ sa skretnicom.
Sprave protiv putovanja šina ugrađuju se na nožicu šine, a pričvršćuju se pomoću vijaka, ugradnjom u vrućem stanju, učvršćenjem pomoću klinova ili elastičnim načinom pričvršćenja.
Kod koloseka koji se nalazi u podužnom nagibu broj sprava protiv putovanja šina određuje se u zavisnosti od podužnog nagiba pruge i dužine šina.
Podužni nagib |
Broj sprava na dužini šine |
|
l = 18 - 20 m |
l > 20 m |
|
10 |
5 |
6 |
>10 |
7-8 |
9 |
Tabela 17: Broj sprava protiv putovanja šina
Za šinu tipa 49E1 i kruti pričvrsni pribor, a svakom kraju DTŠ postavljaju se 74 sprave protiv putovanja šine na uzdužnom pravcu od 37 pragova kako je dato na slici 6.
Za šinu tipa 60E1 i kruti pričvrsni pribor, a svakom kraju DTŠ postavlja se 90 sprava protiv putovanja.
U slučajevima kombinacije tipa šine i primenjenog pričvrsnog pribora koji nisu navedeni u st. 6. i 7. ovog člana, sprave protiv putovanja šine se postavljaju u skladu sa projektnom dokumentacijom.

Slika 6: Položaj sprava protiv putovanja šina za šinu tipa 49E1
U slučajevima kombinacije tipa šine i primenjenog pričvrsnog pribora koji nisu navedeni u st. 6. i 7. ovog člana, sprave protiv putovanja šine se postavljaju u skladu sa projektnom dokumentacijom.
Ugrađivanje i regulisanje sprava protiv putovanja šina obavlja se pri temperaturi tp ± 5°C istovremeno sa otpuštanjem DTŠ, gde tp predstavlja potrebnu temperaturu šine (optimalna temperatura pri kojoj se vrši zavarivanje šine).
Sprave protiv izbacivanja koloseka u stranu
Sprave protiv izbacivanja koloseka u stranu - sigurnosne kape, povećavaju otpor koloseka njegovom bočnom pomeranju tj. bočnu stabilnost koloseka.
Sigurnosne kape se ugrađuju na krajeve pragova, tako da se čeone površine pragova povećavaju dva do tri puta, te prihvataju bočne sile i prenose ih na zastor.
Pored koloseka u krivini, izbacivanje koloseka u stranu, može se pojaviti na koloseku neposredno pre ulaza u tunel, koloseku koji je delom u useku a delom na nasipu, koloseku sa različitom podlogom ili na mestu početka skretnice.
U koloseku u krivini, sigurnosne kape se ugrađuju na čelima pragova na unutrašnjoj strani krivine u zavisnosti od poluprečnika kružne krivine, na svakom drugom ili trećem pragu, kako je prikazano u tabeli 18.
Vrsta praga |
Poluprečnik krivine R [m] |
||
svaki treći prag |
svaki drugi prag |
svaki prag |
|
Drveni pragovi |
500 - 350 |
350 - 280 |
< 280 |
Betonski pragovi |
400 - 310 |
310 - 250 |
< 250 |
Tabela 18: Ugradnja kapa za povećanje bočnog otpora koloseka u zavisnosti od poluprečnika kružne krivine
Veličina bočnog otpora koloseka "ω" sa drvenim i betonskim pragovima u zavisnosti od broja ugrađenih sigurnosnih kapa, data je u tabeli 19.
Vrsta praga |
Bočni otpor koloseka ω [kN/m] |
|||
bez kapa |
svaki treći prag |
svaki drugi prag |
svaki prag |
|
Drveni pragovi |
3,90 |
4,80 |
5,50 |
7,85 |
Betonski pragovi |
5,90 |
7,55 |
8,60 |
12,.35 |
Tabela 19: Bočni otpor koloseka u zavisnosti od sigurnosnih
Na svim prugama se ugrađuju pragovi od prethodno napregnutog armiranog betona - betonski pragovi ili drveni pragovi.
Izuzetno, moguća je ugradnja pragova od sintetičkih materijala. Na magistralnim prugama, za koloseke otvorene pruge, glavne prolazne i preticajne koloseke u stanicama, izuzev sporednih staničnih koloseka, ugrađuju se betonski ili impregnisani drveni pragovi dužine 2,60 m.
Impregnisani drveni pragovi dužine 2,60 m i betonski pragovi dužine 2,50 m mogu se ugrađivati na regionalnim prugama, lokalnim prugama, industrijskim kolosecima i sporednim staničnim kolosecima.
Naizmenična ugradnja betonskih i drvenih pragova se ne primenjuje.
Prelaz sa deonice sa ugrađenim drvenim pragovima na deonicu sa betonskim pragovima, i obrnuto, udaljen je najmanje 10 m od šinskog spoja a izuzetno, u slučaju da to nije izvodljivo usled objektivnih razloga, rastojanje može da bude i manje.
Vrsta drveta, poreklo, uslovi kvaliteta, uslovi proizvodnje, oblici, dimenzije i tolerancije kao i zaštita i trajnost drvenih pragova za koloseke i skretnice, definisani su standardom SRPS EN 13145.
Pragovi od tvrdog drveta (hrast i bukva) ugrađuju se na svim delovima pruge, a obavezno kod deonica sa nestabilnim donjim strojem.
Pragovi od mekog drveta (bor, kesten, ariš) ugrađuju se samo u koloseku u pravcu, kod slabo opterećenih pruga i koloseka, industrijskih koloseka i sl.
Drveni pragovi se žigošu čekićem za prijem sirovih pragova, potrebno je da budu zaštićeni od pucanja i impregnisani, a godina impregnacije se obeležava numeratorom.
Drveni pragovi se ne buše u potpunosti na mestima postavljanja tirfona.
Korišćene i regenerisane drvene pragove moguće je ugraditi samo prilikom pojedinačne zamene pragova, izuzev magistralnih pruga i glavnih prolaznih koloseka.
Na krajevima DTŠ se ugrađuju samo oštrobridni drveni pragovi klase I.
Drveni pragovi se ugrađuju na 30 m ispred i iza mostova.
Mostovski drveni pragovi su oštrobridni, pravougaonog ili kvadratnog oblika od hrastovog drveta.
Dimenzije mostovskih drvenih pragova se utvrđuju projektom.
Kod putnih prelaza na drvenim pragovima, u kolosek se ugrađuje 30 drvenih pragova, ispred i iza putnog prelaza.
Betonski pragovi su u skladu sa tehničkim zahtevima definisanim serijom standarda SRPS EN 13230.
Betonski pragovi koji imaju električni otpor u suvom stanju najmanje 6.000 Ω i 3.000 Ω u vlažnom stanju, mogu se ugrađivati u izolovane sastave.
Betonski pragovi se ne ugrađuju na nestabilnom donjem stroju, na mehaničkim šinskim spojevima, na 30 m ispred i iza mostova sa otvorenim kolosekom i drvenim pragovima i na mostovima sa kolosekom na čvrstoj podlozi.
Betonski pragovi se mogu ugrađivati na putnim prelazima.
Razmak pragova je udaljenost između podužnih osa dva susedna praga.
Na kolosecima otvorene pruge i glavnim staničnim kolosecima magistralnih pruga, razmak pragova je 60 cm.
Razmak pragova od 60 cm primenjuje se i u sledećim slučajevima:
1) u poluprečnicima krivina manjim od 500 m;
2) u nagibima pruga većim od 10‰;
3) na prugama sa brzinama većim od 120 km/h;
4) na prugama sa dnevnim opterećenjem većim od 50.000 t;
5) za osovinski pritisak veći od 200 kN.
Na regionalnim prugama, sporednim staničnim kolosecima i industrijskim kolosecima, u zavisnosti od dopuštenog osovinskog opterećenja, kao i kolosecima koji nisu obuhvaćeni st. 2. i 3. ovog člana, razmak pragova se određuje na osnovu osovinskog opterećenja prema tabeli 20.
Tolerancija za razmak pragova za pruge i koloseke na kojima je izvršena obnova ili unapređenje je ± 10 mm a za pruge i koloseke u eksploataciji ± 20 mm.
Tolerancije razmaka pragova definisane su standardom SRPS EN 13231-1.
Osovinsko opterećenje |
Razmak pragova |
Broj pragova |
225 |
60 |
1.667 |
200 |
65 |
1.538 |
180 |
70 |
1.429 |
160 |
75 |
1.333 |
Tabela 20: Razmak pragova
Raspored pragova na dužini jednog šinskog polja kod koloseka sa sastavima dat je na slici 7.

Slika 7: Raspored pragova
gde je:
a - rastojanje pragova na srednjem delu polja;
a1 - rastojanje na čvrstom (poduprtom) sastavu je 13 mm;
a2 - rastojanje 55-60 cm;
a3 - međuvrednost između a i a2;
l - dužina šine +8 mm.
Dodatak od 8 mm na dužini šine ostavljen je radi mogućnosti dilatiranja tj. davanja mogućnosti za produženje šine od radioničke temperature do njene maksimalne temperature u koloseku.
Kod koloseka sa DTŠ nema uvećanja za 8 mm, a1 je rastojanje od 25-30 cm, a2 deo na kome će biti nekoliko pragova, a njihova međusobna rastojanja biće između vrednosti a i dvostruke vrednosti a1, s tim što se veće izravnavajuće rastojanje daje bliže sredini šinskog polja, a a3 ne postoji.
Kod postojećih ugrađenih šina koje se u koloseku zavaruju u DTŠ naknadno razmeštanje pragova je minimalno i ograničeno na okolinu šinskog spoja, tj. najviše na pragove na spoju i još na po dva do tri praga ispred i iza sastava a kosina zastorne prizme u nagibu 1:1,25 do 1:1,5.
Najveći dozvoljeni razmak pragova u DTŠ na magistralnim i regionalnim prugama je 60 cm, a na lokalnim i industrijskim prugama do 70 cm.
Zastor može biti od tucanika ili položen na čvrstoj podlozi (betonska ploča ili asfaltna ploča na sloju cementne stabilizacije).
Konstrukcija koloseka na čvrstoj podlozi definisana je serijom standarda SRPS EN 16432.
Primena elastičnih podloga ispod zastora od tucanika, definisana je standardom SRPS EN 17282.
Kvalitet agregata za tucanički zastor (tucanik), njegova izrada, potrebna ispitivanja, karakteristike i prevoz do mesta ugradnje, definisani su standardom SRPS EN 13450.
Najmanji zahtevi za karakteristike tucanika, definisani standardom SRPS EN 13450:2007/AC2011, dati su u Prilogu 3 - Najmanji zahtevi za karakteristike tucanika (u daljem tekstu: Prilog 3), koji je odštampan uz ovaj pravilnik i čini njegov sastavni deo.
Po potrebi se mogu zahtevati i bolje kategorije karakteristika tucanika od navedenih u Prilogu 3, u skladu sa zahtevima definisanim standardom SRPS EN 13450.
Poprečni preseci zastorne prizme jednokolosečnih i dvokolosečnih pruga u pravcu i krivini, date su u Prilogu 4 - Poprečni preseci zastorne prizme, koji je odštampan uz ovaj pravilnik i čini njegov sastavni deo.
Dimenzije vrednosti poprečnih preseka zastorne prizme, date su u tabeli 21.
Pruge |
Najmanje dimenzije |
|||||
a |
b |
k |
c |
d |
e |
|
Magistralne pruge sa drvenim pragovima |
260 |
340 |
40 |
6001) |
304) |
15 |
Magistralne pruge sa betonskim pragovima |
240 |
320 |
40 |
6001) |
304) |
15 |
Regionalne pruge |
240 |
320 |
35 |
540 |
254) |
15 |
Lokalne pruge |
240 |
290 |
20 |
450 |
204) |
15 |
Sporedni stanični i industrijski koloseci |
230 |
270 |
20 |
450 |
20 |
15 |
a - dužina praga |
1) V ≤ 80 km/h |
|||||
Tabela 21: Najmanje dimenzije vrednosti poprečnih preseka zastorne prizme
Najveća debljina zastorne prizme zajedno sa tampon slojem, osim na mestima sleganja trupa pruge do prve obnove, može da iznosi do 100 cm.
Na deonicama na kojima su ugrađen DTŠ, širina zastorne prizme ispred čela praga ("k"), ako je zastor dobro zbijen ili vibriran, iznosi 40 cm.
Ako je u pitanju normalno nabijen zastor, vrši se nabačaj sa čela praga ili se širina ("k") sa 40 cm povećava na 50 cm.
Oblik i dimenzije zastorne prizme na putnim prelazima u nivou, na peronima, kod objekata sa zatvorenom konstrukcijom, mostova i propusta, određuju se posebnim projektima.
Zastorna prizma u tunelima izvodi se u visini gornje ivice pragova do kanala za odvođenje vode iz tunela, kanala za telekomunikacione i signalne kablove i oporaca.
Visina zastora se povećava za najmanje 5 cm na veštačkim objektima i tunelima kako bi se postavio materijal za prigušenje vibracija.
Veštački objekti su udaljeni najmanje 2,2 m od zastora kako bi se ostavio prostor za prolaz mehanizacije za održavanje.
Planum se zbog nadvišenja na unutrašnjoj strani krivine proširuje za vrednost "e", a proširenje počinje na PPK i kontinualno se proširuje do PKK.
Kod gradnje novih pruga i obnove i unapređenja postojećih, širina planuma iznosi minimalno 6 m.
U pravcu i u krivinama R ≥ 500 m sa drvenim pragovima i R ≥ 400 m sa betonskim pragovima, širina zastora iza čela pragova iznosi najmanje 40 cm, i to pod uslovom da je zastor dobro zbijen i vibriran.
Kada zastor nije vibriran ili dobro nabijen iza čela pragova, potrebno je pojačati zastornu prizmu nabačajem iznad gornje ivice praga ili je proširiti iza tela praga na 50 cm ili ojačati dodatnim nasipanjem do visine od 13 cm.
Kod novih pruga i obnove i unapređenja postojećih, poprečni jednostrani nagib planuma iznosi 1:20.
Bankina se izvodi u nagibu planuma.
Kod jednokolosečnih pruga u krivini na planumu sa jednostranim nagibom, nagib planuma se izvodi prema unutrašnjoj strani krivine ali se spoljna bankina izvodi pod nagibom ≥ 2% ka spoljnoj strani krivine.
Uređenje zastora od tucanika u službenim mestima
Dimenzije zastorne prizme u staničnim kolosecima i kolosecima ostalih službenih mesta određuju se prema tabeli 21.
Službena staza između zastornih prizmi, na mestima kretanja železničkih radnika i manipulacije sa prtljagom i robom, ispunjava se kamenim vodopropustljivim materijalom koji po veličini i obliku nije potrebno da ispunjava zahteve definisane standardom SRPS EN 13450, a može se koristiti stari i oprani tucanik za zaobljenim zrnima koji nije moguće ugraditi u zastornu prizmu.
U slučajevima iz stava 2. ovog člana, potrebno je da gornja površina zastora bude od sitnijeg materijala i poravnata sa gornjom površinom zastorne prizme.
Svaka skretnica je jednoznačno definisana:
1) vrstom skretnice (jednostruke, dvostruke, ukrsne ili kombinovane);
2) tipom šine;
3) skretničkim uglom;
4) smerom skretnice (leva/desna).
Skretnice se izrađuju sa šinom tipa 49E1 ili 60E1, na drvenim ili betonskim skretničkim pragovima i na gornjem stroju od tucanika ili na čvrstoj podlozi (betonska ploča, asfaltna ploča na sloju cementne stabilizacije).
Izbor skretnica se vrši u zavisnosti od kategorije pruge, projektne brzine, pravca i ugla skretanja, saobraćajnih opterećenja i sistema signalizacije.
Definicije, uslovi za projektovanje geometrije skretnica, tolerancije, uslovi za interakciju točak/šina, veza pokretnih delova i opreme za prebacivanje, zatvaranje i kontrolu položaja pokretnih delova skretnice, menjalice, skretničkog srca, pokretnog skretničkog srca i zahteva za projektovanje skretnica, definisani su serijom standarda SRPS EN 13232.
Odredbe ovog pravilnika, koje se primenjuju na skretnice primenjuju se i na ukrštaje.
Nove skretnice ugrađuju se u glavne prolazne i glavne stanične koloseke svih stanica i službenih mesta magistralnih i regionalnih pruga.
Upotrebljene i regenerisane skretnice mogu se ugrađivati:
1) standardne proste skretnice u sve koloseke svih pruga, osim u glavne koloseke magistralnih pruga;
2) ostale skretnice u sve koloseke za sporedne stanične koloseke svih pruga.
Pri gradnji novih i unapređenju postojećih pruga, izbegava se ugradnja ukrsnih i dvostrukih skretnica.
U kolosek se ugrađuju skretnice istog ili jačeg tipa šine od tipa ugrađenog u kolosek ispred i iza skretnice.
Skretnice se ugrađuju u kolosek na osnovu šeme iskolčavanja skretnice.
Skretnice se montiraju prema planu polaganja, koji se dostavlja uz svaku isporučenu skretnicu.
Skretnice se ugrađuju ako su ispunjeni sledeći uslovi:
1) da je donji stroj stabilizovan i izrađen od kvalitetnog materijala, ili ima tamponski sloj debljine najmanje 20 cm;
2) zastor je od kvalitetnog tucanika, a zastorna prizma punog profila i čista;
3) pragovi su drveni (oštrobridni i od tvrdog drveta) ili betonski, a razmak pragova se određuje projektom skretnice i ne treba da bude manji od 500 mm, niti veći od 700 mm;
4) položaj šine u skretnici je bez poprečnog nagiba;
5) kod jednostrukih prostih skretnica, spoljna šina u skretničkom luku je bez nadvišenja, a ukoliko u jednom od skretničkih koloseka postoji nadvišenje, ugrađuju se krivinske skretnice sa konstantnim nagibom u menjalici;
6) da je proširenje koloseka kod skretnica određeno projektom;
7) da je nagib nivelete i ≤ 10‰, osim na industrijskim kolosecima i na spuštalicama ranžirnih stanica gde nagib može da bude i veći;
8) da nema promene nagiba nivelete u području skretnice;
9) ako se prelom nivelete zaobljava sa Rv ≥ 10.000 m za glavne prolazne i preticajne koloseke ili sa Rv ≥ 5.000 m za ostale koloseke;
10) nagibi osnovnog i odvojnog koloseka se ne razdvajaju u skretničkom području.
Krivinske skretnice se ugrađuju na osnovu projekta za određenu lokaciju, samo ukoliko nije moguće ugraditi jednostruke proste skretnice ili ako rekonstrukcija krivine u koju treba da se ugradi ta skretnica nije moguća niti ekonomski opravdana.
Između početka skretnice i kraja ili početka prelazne krivine, odnosno kružne krivine bez prelazne krivine, postavlja se međuprava dužine m1 ≥ 0,20 V, gde je V brzina vožnje u pravcu, a najmanja dužina međuprave, za brzine V< 60 km/h, iznosi 7 m (slika 8).

Slika 8: Međuprava isred skretnice
Između kraja skretnice i početka ili kraja prelazne krivine, odnosno kružne krivine bez prelazne krivine, postavlja se međuprava dužine m2 ≥ 0,10 V, gde je V brzina u pravac, ali ne manja od 7 m (slika 9).

Slika 9: Međuprava iza skretnice
U kolosecima po kojima vozila saobraćaju brzinom V > 140 km/h, treba između pojedinačnih grupa skretnica, predvideti odseke koloseka dužine l = 0,4 V.
Pod grupom skretnica iz stava 4. ovog člana se podrazumevaju dve, ili izuzetno tri skretnice, koje u posmatranom koloseku leže jedna iza druge na kraćem rastojanju, pri čemu se u ovo ne ubrajaju skretnice sa pokretnim vrhom srca.
Dužina međuprave između početaka dve skretnice sa krivinama suprotnog smera je najmanje m3 = 0,10 V, ako nije ispunjen uslov:

onda je dužina međuprave m3 ≥ 7 m. Za V se uzima najveća dopuštena brzina za vožnju u skretanje u skretnici sa manjim poluprečnikom data na slici 10.
Sa suprotno usmerenim krivinama, za prolazne koloseke kod novogradnji i obnova, međupravac iznosi m3 = 0,20 V, gde je V brzina vožnje u pravac.
Dužina međupravca može se povećati do m3 = 0,40 V ako to dozvoljavaju prostorne mogućnosti.

Slika 10: Međuprava između dve skretnice sa suprotno usmereni krivinama
Između početaka dve skretnice sa krivinama istog smera (leva i desna skretnica) međuprava može da izostane, ako su skretnice sa "tangencijalnim jezičkom" i ako su sa istim širinama koloseka na početku skretnice dok kod skretnica sa jezičcima sa presecanjem, minimalna međuprava je m4 = 7 m (slika 11).
Ova minimalna dužina može se projektovati i na "A" i "V" vezama.
Veze paralelnih koloseka ostvaruju se kolosečnim vezama u "A" ili "V" obliku koje se ugrađuju na 15 - 20 km, a po pravilu ispred i iza stanice.
Sa krivinama istog smera, za prolazne koloseke kod novogradnji i obnova, međupravac m4 = 0,2 V, gde je V brzina vožnje u pravac.

Slika 11: Međuprava između dve skretnice sa krivinama istog smera
U skretničkim nizovima najmanja dužina prave između kraja prethodne i početka naredne skretnice je m5 = 7,5 m (slika 12) pri čemu rastojanje između ove dve skretnice treba izabrati tako da menjalica naredne skretnice ne leži na dugačkim pragovima prethodne skretnice (slika 13).

Slika 12: Međuprava između kraja prethodne i početka naredne skretnice

Slika 13: Normalno rastojanje skretnica
U nedostatku prostora u matičnjacima ova međuprava može da izostane, kod skretnica koje nemaju proširenje koloseka na svom početku i imaju iste širine koloseka. (slika 14).

Slika 14: Povezivanje prethodne i naredne skretnice
bez međuprave
Pravci između krivina u kolosečnim vezama iznose:
1) m6 ≥ 0,15 V za V ≤ 70 km/h;
2) m6 ≥ 0,20 V za 70 < V ≤ 160 km/h.
Ne primenjuje se dužina manja od m6 = 0,15 V (slika 15).

Slika 15: Primer međuprave u prostoj kolosečnoj vezi
Ako je štitnu skretnicu potrebno postaviti što bliže susednoj skretnici, razmak između koloseka na najužem mestu na slepom koloseku može se smanjiti na 3,8m.
U zavisnosti od klimatskih uslova, skretnice se opremaju uređajima za grejanje skretnica koji su povezane na relejni ili elektronski sistem osiguranja.
Zona grejanja obuhvata sve pokretne delove skretnice.
Pri ugradnji uređaja za grejanje skretnica, ne menja se konstrukcija skretnice.
Radi umanjenja habanja šina ugrađenih u kolosek, kao i venaca bandaža točkova šinskih vozila, šine se podmazuju:
1) u krivinama poluprečnika R ≤ 600 m;
2) u ostalim krivinama, bez obzira na poluprečnik, ako je to potrebno.
Stabilnim šinskim mazalicama za podmazivanje šina ugrađenim u kolosek podmazuje se venac točka vozila koji raznosi mazivo (specijalna mast) u smeru vožnje na sve spoljašnje šine istosmernih krivina.
Šinska mazalica se ugrađuje na PPK odnosno ispred mesta gde počinje bočno habanje glave šine na otvorenoj pruzi.
Može se primeniti i na spuštalicama ranžirnih stanica gde dve šinske mazalice mogu uspešno podmazivati više grupa koloseka.
Svaka šinska mazalica maže samo istosmerne krivine a pri njihovom ugrađivanju vodi se računa o mestu ugrađivanja.
Šinska mazalica se montira na šinu između dva praga, a odgovarajućim podloškama se prilagođavaju različitim tipovima šina.
Mesto rupa na šini za pričvršćenje šinske mazalice, određuje se šablonom koji se isporučuje uz šinsku mazalicu i pri naručivanju navodi se tip.
Okretnice i prenosnice zamenjuju skretnice svuda gde nema mesta za njihovo ugrađivanje zbog nedostatka prostora, a najčešće u radionicama za opravku lokomotiva i vagona.
Okretnice i prenosnice se izrađuju i održavaju na osnovu projekta.
IV TEHNIČKI USLOVI ZA SPECIJALNE KOLOSEČNE KONSTRUKCIJE
Kolosek u krivinama malih poluprečnika
Kolosek u krivinama malih poluprečnika, uređuje se na sledeći način:
1) najmanji poluprečnik kod pruga u eksploataciji u staničnim kolosecima, izuzev glavnih staničnih koloseka, je:
(1) R = 180 m - gde saobraćaju vučna vozila;
(2) R = 140 m - gde ne saobraćaju vučna vozila;
(3) R = 100 m - gde saobraćaju vučna vozila sa krutim razmakom osovina od najviše 3 m i kola sa krutim razmakom osovina od najviše 4,5 m;
2) na sporednim staničnim, radioničkim i industrijskim kolosecima, u izuzetnim slučajevima, najmanji poluprečnik je:
(1) R=150-180 m, kada se ugradi zaštitna šina po celoj dužini unutrašnje kolosečne šine u krivini, mogu saobraćati vozne lokomotive i u krivinama poluprečnika 150-180 m; ako preko njih ne saobraćaju vozne lokomotive, poluprečnik krivine može biti do 100 m;
(2) R = 35-100 m, kod radioničkih i industrijskih koloseka preko kojih ne saobraćaju vozne lokomotive, kada se ugrade zaštitne šine po celoj dužini unutrašnje kolosečne šine u krivini, kao i nagazne šine u spoljni šinski trak po kojima gaze točkovi šinskih vozila obodom šinskih venaca, poluprečnici krivina mogu biti i manji od 100 m, a ukoliko razmak kruto vezanih osovina nije veći od 4 m, poluprečnik krivine može biti do 56 m; ako je razmak osovina šinskih vozila do 3 m, poluprečnik krivine može biti i do 35 m;
(3) R =100 m, gde saobraćaju lokomotive sa krutim razmakom osovina od najviše 3 m i kola sa krutim razmakom osovina od najviše 4,5 m.
3) kod koloseka navedenih u tački 2) ovog stava, ako je brzina do 10 km/h, kolosek je bez nadvišenja a kod većih brzina maksimalno nadvišenje spoljne šine u krivini računati prema formuli:

(1) gornja površina spoljne šine nije ispod gornje površine unutrašnje šine;
(2) u krivinama s poluprečnikom jednakim i većim od 50 m, širina žleba između glava kolosečne i zaštitne šine kod unutrašnjeg traka koloseka je 60 mm, a za poluprečnik ispod 50 m, ta širina je 65 mm; na ulazu u žleb, ova se širina povećava na 110 mm; tolerancija za širinu žleba u eksploataciji je +5 mm;
(3) u krivinama poluprečnika manjeg od 50 m, radi ublaženja prelaza iz koloseka u pravoj u kolosek sa oštrom krivinom, na početku i na kraju krivine umeće se luk sa poluprečnikom od 50 m čija je najmanja dužina 6 m.
Kolosek na mostovskim konstrukcijama
Gornji stroj na mostovskim konstrukcijama se uređuje prema projektu.
Koloseci na mostovskim konstrukcijama se projektuju sa zatvorenim kolosekom u zastoru, gde se kolosek ugrađuje kao na otvorenoj pruzi.
Na objektima bez tamponskog sloja, debljina zastorne prizme je najmanje 35 cm, a izuzetno, na sporednim staničnim i industrijskim kolosecima, 20 cm ako je najveća dopuštena brzina 50 km/h i nije predviđeno mehanizovano održavanje.
Na objektima bez zastorne prizme, šine se zavaruju.
Pri izvođenju gornjeg stroja sa DTŠ na mostovima, potrebno je uzeti u obzir i ostale zahteve definisane važećim standardima.
Podužno pomeranje šine osigurava se odgovarajućim projektnim rešenjima.
U cilju zaštite od posledica iskliznuća vozova, neposredno ispred mosta i na samom mostu ugrađuju se sigurnosne šine:
1) ako je objekat, mereno od zaleđnih površina krajnjih nosača (oporaca) ili krajeva potpornih nosača, ukupne dužine preko 20 m;
2) ako je objekat duži od 5 m i sa kolosekom u krivini R ≤ 500 m, pri čemu je dovoljno ugraditi sigurnosnu šinu samo pored unutrašnje vozne šine;
3) ako je pruga na mostu sa teškim prilazima u oštrim krivinama R ≤ 300 m ili sa velikim nagibom nivelete, kada je i ≥ 15‰;
4) ako je objekat izgrađen od rešetkastih, lučnih ili sličnih nosećih sistema, bez obzira na dužinu;
5) pod objektom sa jednim osloncem ako udaljenost oslonca od ose koloseka ne dostiže 3,0 m u pravcu i krivinama R ≥ 10.000 m ili 3,2 m u krivinama R < 10.000 m.
Mere potrebne za uređenje sastava šina na mostovima, zavisno od dilatacionih dužina mosta i zastora, date su u tabeli 22.
Zastor na mostu |
Dilataciona dužina mosta [m] |
Potrebne mere |
Da |
≤ 60 - za sve vrste objekata |
na oba kraja dilatacione dužine normalan šinski sastav |
> 60 - za sve vrste objekata |
na čeličnim i spregnutim konstrukcijama: kod pokretnog ležišta - dilataciona sprava i poprečna fuga u zastoru koja odgovara veličini dilatacije konstrukcije |
|
Ne |
≤ 60 - za sve vrste objekata |
obezbediti nezavisno dilatiranje koloseka ili šine i mostovske konstrukcije |
> 60 - za sve vrste objekata |
potrebna je projektna dokumentacija uređenja koloseka na mostu |
Tabela 22: Dilatacijske dužine na mostovima - šinski spoj
Mere potrebne za uređenje DTŠ na mostovima, zavisno od dilatacionih dužina mosta i zastora, date su u tabeli 23.
Zastor na mostu |
Dilataciona dužina mosta [m] |
Potrebne mere |
da |
≤ 60 - za čelične konstrukcije |
bez posebnih mera |
> 60 - za čelične konstrukcije |
potrebna je projektna dokumentacija uređenja koloseka na mostu |
|
ne |
≤ 60 |
|
> 60 |
Tabela 23: Dilatacijske dužine na mostovima - DTŠ
Sigurnosne i zaštitne šine su produžene sa obe strane preko parapetnog zida, za 10% dužine objekta u koloseku u pravcu ili 20% dužine objekta u koloseku u krivini ali ne manje od 3 m i ne više od 10 m; nakon toga su savijene ka krajevima i međusobno pritvrđene u sredini koloseka, u dužini od 7 m.
Između voznih ivica glava kolosečnih i sigurnosnih šina nema visinske razlike; izuzetno, sigurnosna šina može biti nešto niža, ali ne niža od 15 mm.
Sigurnosne šine (stare šine ili ugaonici) se ugrađuju na osnovu propisanih ili za određeni slučaj izrađenih planova.
Sigurnosne i zaštitne šine se ne zavaruju u DTŠ.
Pojedinačne sigurnosne šine ne treba da budu duže od 30 m.
Potreban dilatacioni razmak pri ugradnji sigurnosnih šina se dobija kad se shodna veličina za vozne šine uvećava za 7 mm.
Kolosek u tunelskim konstrukcijama
Gornji stroj u tunelskim konstrukcijama se izvodi prema projektu.
U tunelima se ugrađuju šine istog ili jačeg tipa nego što su na otvorenoj pruzi, u zavisnosti od dužine, vlažnosti i stepena provetrenosti tunela.
Šine se u tunelima zavaruju u DTŠ.
Kolosek u tunelu može da bude u zastoru od tucanika ili na čvrstoj podlozi.
U tunelima u kojima je kolosek na betonskim pragovima položen u zastor od tucanika, zastor se produžava na 50 m ispred i iza tunela.
Koloseci u novim tunelima se izvode na čvrstoj podlozi.
Izuzetno od stava 6. ovog člana, koloseci u novim tunelima se ne izvode na čvrstoj podlozi ukoliko postoje opravdani ekonomski ili tehnički razlozi.
U cilju zaštite od posledica iskliznuća vozova, na 10 m ispred i 20 m u tunelu, postavljaju se sigurnosne šine sa unutrašnje strane voznih šina i savijaju ka krajevima a zatim međusobno spajaju u sredini koloseka, na dužini od 7 m.
Nagib nivelete pruge u tunelu iznosi:
1) najmanje 2‰, za dužine tunela do 1 km, ili
2) najmanje 4‰, za dužine tunela veće od 1 km.
Skretnice na mostovima i u tunelima
Skretnice se ne ugrađuju na mostovima i u tunelima osim kada je to neophodno zbog nepovoljnih terenskih uslova i projektovane korisne dužine koloseka.
Skretnice se mogu planirati na mostu dužine manje od 30 m.
Na mostovima se skretnice ne postavljaju iznad pokretnog ležišta nosača.
Minimalna rastojanja između oblasti menjalice skretnice i pokretnog ležišta mosta, zavisno od dilatacione dužine mosta (ld > 30 m), data su u tabeli 24.
Dužina mosta |
Minimalno rastojanje |
31-60 m |
10 m |
Tabela 24: Minimalna rastojanja menjalice i pokretnog ležišta mosta
Kolosek na putnim prelazima u nivou
Putni prelazi u nivou se izvode prema projektu ili korišćenjem tipskog rešenja.
Dimenzije i oblik putnog prelaza u nivou se projektuju u skladu sa propisima kojima se uređuje način ukrštanja železničke pruge i puta.
Kolosek na putnim prelazima u nivou uređuje se na sledeći način:
1) širina kolovoza na putnom prelazu odgovara širini postojećeg puta;
2) odvodnjavanje prelaza se uklapa u sistem odvodnjavanja koloseka na tom mestu;
3) kolovoz na prelazu se uređuje najmanje na dužini od 3,0 m od ose koloseka levo i desno, po celoj širini kolovoza puta;
4) sastav šina vezan vezicama je udaljen najmanje 5 m od ivice puta na prelazu.
Zaštitne šine se ugrađuju sa unutrašnje strane kolosečnih šina i duže su od širine puta najmanje 50 cm sa svake strane puta, a nakon toga na krajevima, s obe strane putnog prelaza, savijaju se na dužini od po 50 cm ka osi koloseka.
Odstojanje unutrašnje ivice glave savijene kontrašine od unutrašnje ivice glave kolosečne šine je najmanje 110 mm.
Nagibi nivelete puta preko putnog prelaza u nivou, prilagođen je poprečnom nagibu koloseka.
Pri gradnji, obnovi ili unapređenju pruge sa dva ili više koloseka, potrebno je da nivelete susednih koloseka na putnom prelazu budu u istoj ravni, pa je u tom slučaju dozvoljeno odstupanje od poprečnog profila dvokolosečnih pruga u krivini propisanog ovim pravilnikom.
V TEHNIČKI USLOVI ZA ZEMLJANI TRUP PRUGE
Zemljani trup pruge je građevinski objekat ugrađen u teren, izrađen od tla, kamenih, šljunkovitih i peskovitih agregata kao i zamenskih i veštačkih materijala.
U zavisnosti od relativnog visinskog položaja terena i nivelete pruge, zemljani trup pruge može da se nalazi u nasipu, useku ili mešovitom profilu (zaseku).
Sastavni delovi zemljanog trupa su:
1) planum;
2) zaštitni sloj;
3) prelazni sloj;
4) nasip;
5) temeljno tlo;
6) padina na kojoj leži trup kao i padina više i niže u širini pružnog pojasa;
7) potporni zidovi i druge mere i materijali koji poboljšavaju stabilnost planuma i padine nad usekom.
U sastav zemljanog trupa spada i vegetacioni pokrivač na kosinama i padinama kao i veštački objekti, ugrađeni u trup pruge ili pored njega, kao što su:
1) jarkovi i kanali za odvodnjavanje zemljanog trupa sa postojećim objektima za propuštanje vode kroz trup pruge otvora do 1 m;
2) obloge, obložni i potporni zidovi;
3) drenaže.
Tehnički zahtevi za zemljani trup
Geotehničko projektovanje, istraživanje i ispitivanje tla kao i geotehničke konstrukcije, definisane su serijom standarda SRPS EN 1997.
Tehnički uslovi za slojeve donjeg stroja dati su u Prilogu 5 - Tehnički uslovi za slojeve donjeg stroja, koji je odštampan uz ovaj pravilnik i čini njegov sastavni deo.
Agregati za nevezane i hidraulički vezane materijale koji se koriste kod slojeva zemljanog trupa definisani su standardom SRPS EN 13242.
Tehnički uslovi za armirano tlo definisani su standardom SRPS EN 14475.
Tipovi osiguranja kosina nasipa, zaseka, useka i nožice nasipa definisani su standardom SRPS U.S4.064.
Metode ispitivanja slojeva zemljanog trupa
Laboratorijska ispitivanja tla definisana su serijom standarda SRPS EN ISO 17892.
Metode ispitivanja za određivanje odnosa između sadržaja vode i zapreminske mase nevezanih i hidrauličkim vezivom vezanih mešavina definisane su serijom standarda SRPS EN 13286.
Zbijenost i nosivost slojeva zemljanog trupa se ocenjuje statičkim modulom deformacije Ev2, koji se određuje opitom pločom dok se kontrola vrši dinamičkim modulom deformacije Evd koji se određuje opitom s padajućim teretom sa baznom pločom Ø300 mm.
Stepen zbijenosti Dpr predstavlja odnos izmerene zapreminske mase u suvom stanju zbijenog tla i maksimalne zapreminske mase pri optimalnoj vlažnosti dobijene Proktorovim opitom Dpr = γd/γmax × 100 [%].
Određivanje modula deformacije pomoću opterećenja kružnom pločom u pogledu vrednosti stepena zbijenosti Dpr odnosno veličina modula deformacije Ev2, definisano je standardom SRPS U.B1.047.
Planum pruge je gornja površina zaštitnog sloja na koju se polaže zastor, a njegova glavna funkcija je da bude stabilna podloga za podzastorne i zastorne slojeve.
Tehnički uslovi za planum pruge su:
1) ravnost i projektovani nagib gornje površine;
2) izdržljivost na oštećenja;
3) nosivost i sposobnost prenosa opterećenja od gornjeg stroja;
4) stabilnost na zamrzavanje;
5) filterska stabilnost.
Širina planuma pruge, zavisi od broja koloseka, razmaka među njima, zone opasnosti i sigurnosnog prostora.
Dimenzije zone opasnosti kod novih i unapređenih magistralnih pruga zavise od brzine na pruzi i iznose 2,20 m za brzine V ≤ 120 km/h, 2,50 m za brzine V ≤ 160 km/h i 3,0 m za brzine V ˃ 160 km/h.
Sigurnosni prostor ima dimenzije 0,80 m.
Bankina je deo planuma pruge, koji nije pokriven zastornom prizmom. Koristi se za sklanjanje pružnih radnika prilikom nailaska voza, smeštanje temelja i stubova kontaktne mreže, smeštanje signalizacije i pružnih oznaka, hektometarskih stubova i druge opreme pruge.
Širina bankine je ≥ 60 cm, a u oblasti nožice zastorne prizme sa kosinom, može da se smanji do 55 cm.
Planum jednokolosečnih pruga ima jednostrani nagib ka unutrašnjoj strani krivine a planum dvokolosečnih pruga obostrani nagib od 1:20.
U zoni kolosečnih veza poprečni nagib planuma projektuje se u nagibu 1:33.
Promena nagiba planuma sprovodi se na dužini vitoperenja u dužini od približno 5,0 m.
Na nivou planuma pruge se pri gradnji i unapređenju ugrađuje sloj materijala otporan na vremenske uticaje, mraz i kapilarno penjanje vode, sposoban da amortizuje vibracije i sprečava prolazak finih čestica sa koloseka, a debljina sloja zavisi od dubine smrzavanja.
Zaštitni sloj obezbeđuje potrebnu nosivost planuma pruge, ima filtersku funkciju i pruža zaštitu od mraza a izrađuje se od drobljenog agregata, peskovitog šljunka (po potrebi stabilizovanog vezivom) i geosintetičkih materijala.
Kod novih, unapređenih i obnovljenih pruga izvodi se zaštitni sloj.
Površina zaštitnog sloja ispunjava sledeće uslove:
1) ravnost sloja od zemljanog materijala ≤ 20mm/4m;
2) ravnost sloja od kamenog materijala ≤ 30mm/4m;
3) poprečni nagib sloja ≥ 5% sa tolerancijom do ± 0,4%;
4) maksimalno odstupanje kote od projektovane je ± 10mm;
5) minimalna debljina zaštitnog sloja je 20cm a u slučaju debljine > 30cm ugrađuje se i zbija u dva sloja.
Nosivost na nivou planuma pruge ispunjava sledeće uslove:
1) za gradnju i unapređenje koloseka otvorene pruge i glavnih koloseka na magistralnim prugama: Ev2 > 120 MN/m2, Ev2/ Ev1 ≤ 2,2, Evd > 50 MN/m2, 100% ≤ Dpr ≤ 103%;
2) za gradnju i unapređenje koloseka otvorene pruge i glavnih koloseka na regionalnim prugama: Ev2 > 100 MN/m2, Ev2/ Ev1 ≤ 2,2, Evd > 45 MN/m2, Dpr ≥ 100%;
3) za gradnju i unapređenje koloseka na lokalnim prugama i sporednih koloseka na svim prugama: Ev2 > 80 MN/m2, Ev2/ Ev1 ≤ 2,2, Evd > 40 MN/m2, Dpr ≥ 97%. gde odnos Ev2/ Ev1 ≤ 2,2 važi za Ev1 manje od minimalne vrednosti propisane za Ev2.
Zaštitni sloj ispunjava filterske kriterijume:
1) prečnik zrna koji pripada ordinati 15% granulometrijske krive zaštitnog sloja je četiri puta manji od veličine zrna kod ordinate 85%, d85 ≥ 4 × d15;
2) maksimalna veličina zrna je ≤ 60 mm;
3) stepen neravnomernosti (uniformisanosti) je U = d60/d10 ≥ 15;
4) koeficijent vodonepropustljivosti je K ≥ 10-4 m/s pri Dpr=1, što obezbeđuje da procedna kriva treba da završi u zaštitnom sloju na kosini nasipa ili odvodnog jarka pri maksimalnim padavinama.
Zaštitni sloj se dimenzioniše za zaštitu tla od mraza.
Stepen neravnomernosti ne sadrži više od 3% frakcija manjih od 0,02 mm.
Zaštitni sloj se ne nalazi u oblast uticaja podzemnih voda.
Bočne strane se humuziraju u debljini od 20cm.
Prelazni sloj predstavlja zbijen ili poboljšan sloj izrađen od krupnozrnog šljunčanog ili peskovitog materijala i zajedno sa zaštitnim slojem formira zaštitu od mraza.
U prelaznom sloju se ne ugrađuju glinoviti materijali niti materijali koji se sabijaju i konsoliduju.
Površina prelaznog sloja ispunjava sledeće uslove:
1) ravnost sloja od zemljanog materijala ≤ 20mm/4m;
2) ravnost sloja od kamenog materijala ≤ 30mm/4m;
3) poprečni nagib sloja ≥ 5% sa tolerancijom do ± 1%.
Nosivost prelaznog sloja ispunjava sledeće uslove:
1) za gradnju i unapređenje koloseka otvorene pruge i glavnih koloseka na magistralnim prugama: Ev2 > 80 MN/m2, Ev2/ Ev1 ≤ 2,2, Evd ≥ 35 MN/m2, Dpr ≥ 100%;
2) za gradnju i unapređenje koloseka otvorene pruge i glavnih koloseka na regionalnim prugama: Ev2 > 60 MN/m2, Ev2/ Ev1 ≤ 2,2, Evd ≥ 30 MN/m2, Dpr ≥ 97%;
3) za gradnju i unapređenje koloseka na lokalnim prugama i sporednih staničnih koloseka na svim prugama: Ev2 > 45 MN/m2, Ev2/ Ev1 ≤ 2,2, Evd ≥ 25 MN/m2, Dpr ≥ 95%. gde odnos Ev2/ Ev1 ≤ 2,2 važi za Ev1 manje od minimalne vrednosti propisane za Ev2.
Pri izradi prelaznog sloja koriste se materijali sa sledećim osobinama:
1) materijal otporan na kapilarno penjanje;
2) nevezani agregat, veličine zrna 0/125 mm;
3) procenat zrna agregata ispod 0,063 mm < 12%;
4) procenat zrna agregata ispod 0,02 mm < 5%;
5) U ≥ 15 ne sadrži više od 3% frakcija manjih od 0,02 mm i U ≤ 5 ne sadrži više od 10% frakcija manjih od 0,02 mm.
Potrebno je da materijal u prelaznom sloju ispunjava filterske kriterijume u odnosu na niželežeći, ili da je zaštićen upotrebom veštačkih materijala za filter, kao što su geotekstili i njemu srodni proizvodi.
Bočne strane se humuziraju u debljini od 20 cm.
Nasip je konstrukcija napravljena od mehanički stabilizovanih nevezanih slojeva agregata kao i, po potrebi, geosintetičkih materijala, koji prenose opterećenja na temeljno tlo.
Kod gradnje novih ili sanacije postojećih nasipa uzima se u obzir:
1) stabilnost i sigurnost nasipa od rasplinjavanja;
2) stabilnost i nosivost temeljnog tla pod nasipom;
3) svojstva materijala za gradnju;
4) način gradnje;
5) način zaštite kosina;
6) održavanje kosina na visokim nasipima;
7) bezbednost od erozije izazvane vodotocima i atmosferskim padavinama;
8) ostali uslovi koji mogu da utiču na nasip.
Osim nosivosti na nivou planuma zaštitnog i prelaznog sloja, nosivost slojeva nasipa kod novih i unapređenih koloseka otvorene pruge na magistralnim i regionalnim prugama, ispunjava sledeće uslove:
1) na nivou planuma nasipa ispod prelaznog sloja: Ev2 > 60 MN/m2, Ev2/ Ev1 ≤ 2,2, Evd ≥ 30 MN/m2, Dpr ≥ 100%;
2) na nivou ispod planuma nasipa do dubine ≤ 2 m: Ev2 > 45 MN/m2, Ev2/ Ev1 ≤ 2,2, Evd > 25 MN/m2 ili Dpr > 100%;
3) na nivou ispod planuma nasipa za dubine > 2 m: Ev2 > 20 MN/m2, Ev2/ Ev1 ≤ 2,2, Evd > 20 MN/m2 ili Dpr > 95%;
4) za pruge u useku: Ev2 > 45 MN/m2, Ev2/ Ev1 ≤ 2,2, Evd > 25 MN/m2 ili Dpr > 95%,
gde odnos Ev2/ Ev1 ≤ 2,2 važi za Ev1 manje od minimalne vrednosti propisane za Ev2.
Nosivost slojeva nasipa koji nisu obuhvaćeni stavom 3. ovog člana, ispunjava sledeće uslove:
1) na nivou nasipa pre prelaznog sloja: Ev2 > 45 MN/m2, Ev2/ Ev1 ≤ 2,2, Evd ≥ 25 MN/m2, Dpr ≥ 100%;
2) na nivou ispod planuma nasipa do dubine ≤ 2 m: Ev2 > 45 MN/m2, Ev2/ Ev1 ≤ 2,2, Evd > 25 MN/m2 ili Dpr > 100%;
3) na nivou ispod planuma nasipa za dubine > 2 m: Ev2 > 20 MN/m2, Ev2/ Ev1 ≤ 2,2, Evd > 20 MN/m2 ili Dpr > 95%;
4) za pruge u useku: Ev2 > 20 MN/m2, Ev2/ Ev1 ≤ 2,2, Evd > 20 MN/m2 ili Dpr > 95%,
gde odnos Ev2/ Ev1 ≤ 2,2 važi za Ev1 manje od minimalne vrednosti propisane za Ev2.
Završni sloj nasipa (posteljica) obezbeđuje potrebnu nosivost nasipa.
Materijali za izradu nasipa ispunjavaju sledeće uslove:
1) maksimalna veličina zrna agregata ≤ 300 mm;
2) maksimalna veličina zrna agregata ≤ 2/3 debljine sloja koji se izvodi;
3) za poboljšanje nosivosti materijala koristi se hemijska stabilizacija.
Ako je nasip izrađen od sitnog materijala koji pod dejstvom saobraćajnog opterećenja može da se probije u gornje slojeve, potrebna je zaštita nasipa ugradnjom filterskog sloja.
Filterski sloj može da bude od filter peska ili plastičnih materijala za filter, kao što su geotekstili.
Materijale za gradnju nasipa potrebno je predvideti prema dostupnim materijalima na trasi ili njenoj blizini.
Dozvoljen nagib kosine nasipa se definiše u zavisnosti od materijala koji su predviđeni da se ugrade.
Ako je nasip veći od 8,0 m a nagib kosine nasipa veći od 1:1,5 tada je radi lakšeg održavanja potrebno napraviti terase ili berme.
Širina berme je ≥ 2,5 m a poprečni nagib ka kosini nasipa ≥ 5%.
Ako je potrebno proširenje postojećeg nasipa, ono se vrši stepenasto a širina stepenika iznosi 0,6-1,0 m, visina ≤ 0,6 m a nagib ≤ 5%.
Za proširenje postojećeg nasipa potrebno je koristiti materijal što sličniji postojećem materijalu u nasipu.
U cilju zaštite nasipa od spoljašnjih uticaja, da bi se sprečilo klizanje i tečenje materijala, kao osnovni vid zaštite koristi se humuziranje.
Kosine nasipa štite se roliranjem (kameni nasip), malterisanjem ili oblaganjem betonskim pločama ili blokovima.
Za dodatnu zaštitu, ili u cilju postizanja većeg nagiba kosine nasipa, izrađuje se sloj od kamenih obloga ili armirane zemlje.
Nasipi se oblažu u sledećim slučajevima:
1) ako nasip tokom poplava preuzima funkciju odbrambenog nasipa;
2) ako kosina nasipa ne može biti obezbeđena odgovarajućim biološkim merama;
3) ako je potrebno proširenje nasipa radi obnove pruge ili unapređenje železničke pruge;
4) ako je nasip izložen dejstvu vodotoka.
Temeljno tlo (podtlo) je površina izvedena na postojećem terenu, uklanjanjem humusa ili iskopom useka, koja je u stanju da preuzme i prenese na tlo projektovano opterećenje na trasi pruge.
Temeljno tlo ispod konstrukcije donjeg stroja može biti samo mehanički zbijeno i/ili ojačano.
Planum temeljnog tla ispunjava geometrijske uslove:
1) ravnost sloja od zemljanog materijala 30mm/4m;
2) ravnost sloja od kamenog materijala 50mm/4m;
3) poprečni nagib sloja ≥ 5% sa tolerancijom do ± 1%;
4) najveće dozvoljeno odstupanje kote planuma temeljnog tla od projektovane kote je kod zemljanog ili poboljšanog tla ± 2,5cm a kod useka u stenskoj masi ± 4,0cm.
Stepen zbijenosti temeljnog tla Dpr treba da je veći od:
1) 98% za sloj ≤ 0,5 m ispod planuma pruge;
2) 95% za sloj 0,5 ≤ 2,0m ispod planuma pruge;
3) 92% za sloj > 2m ispod planuma pruge.
Nosivost temeljnog tla pod nasipom je:
1) ispod gornje površine nasipa do dubine ≤ 1m, Ev2 > 45 MN/m2, Evd > 25 MN/m2;
2) ispod gornje površine nasipa za dubine ≤ 2m, Ev2 > 20 MN/m2, Evd > 20 MN/m2.
Ako se na delu trupa pruge u useku ne izrađuje nasip, na nivou temeljnog tla je potrebno da budu ispunjeni uslovi propisani st. 3. i 4. ovog člana.
Na temeljno tlo u stenskoj masi, koje je otporno na dejstvo mraza i koje zadovoljava uslove propisane za zaštitni i prelazni sloj, zastor se ugrađuje na obrađenu površinu temeljnog tla sa propisanom geometrijom planuma.
Usek u stenskoj masi se izravnava slojem usitnjenog kamenog materijala debljine do 20 cm a zatim sabija.
Pri gradnji nove pruge, sastav slojeva između temeljnog tla i nasipa je potrebno da bude homogen kako bi se postigla ravnomerna raspodela opterećenja i sprečio rizik od oštećenja.
Ako temeljno tlo ne ispunjava propisanu nosivost, potrebno je da se preduzmu odgovarajuće mere za poboljšanje nosivosti ili zamena tla.
Nasip i temeljno tlo, kao i svi slojevi među njima, izrađuju se sa potrebnim poprečnim nagibom kako se voda ne bi zadržavala na planumu nasipa ili temeljnog tla.
Ako je temeljno tlo izloženo uticajima podzemnih voda, potrebno je formiranje odgovarajućeg drenažnog sistema.
Usek je struktura koja se formira iskopavanjem zemljišta ili stenske mase u cilju vođenja nivelete pruge niže od kote terena.
Pri projektovanju useka, u obzir se uzima:
1) stabilnost kosina;
2) otpornost kosina na eroziju;
3) zaštita od urušavanja ili odrona;
4) zaštita od lavina;
5) zaštita od bujičnih i drugih tokova;
6) ograničenje atmosferskih uticaja na trasi, kao što su vetar i snežni nanosi;
7) mogućnosti održavanja kosina;
8) izvođenje bermi kod dubokih useka.
Neophodno je regulisanje nagiba kosina iznad useka i temeljnog tla.
Kosinu useka treba projektovati na takav način da se obezbedi njena stabilnost u svim vremenskim uslovima.
Nagib kosina novih useka određuje se na osnovu geoloških i geotehničkih istraživanja i analize stabilnosti.
Nagib kosine useka zavisi od vrste materijala u stenama, slojevitosti zemljišta i pukotina na padini kao i od same dubine planiranog useka.
Osnovna zaštita kosina useka i padina, gde je zemlja biološki aktivna, je humuziranje.
Zaštitne mere, poput biotorkretiranja, prskanja betona preko čeličnih mreža, ankerisanja i dr, preduzimaju se ako postoji opasnost od:
1) obrušavanja materijala sa padina useka;
2) odrona;
3) erozije kosina useka i padina.
Odvođenje vode sa kosina useka se vrši sistemom odvodnjavanja.
Geosintetički materijali doprinose smanjenju naprezanja i deformacija i poboljšanju nosivosti i trajnosti zaštitnog sloja planuma.
Geosintetički materijali se ugrađuju između tla i zaštitnog sloja ili sloja za zaštitu planuma od mraza, polažu se na zbijeni i isplanirani planum i pokrivaju zaštitnim materijalom.
Potrebno je da geosintetički materijali ispunjavaju mehaničke i hidrauličke zahteve i spreče prolaz finih čestica tla u gornje slojeve.
Geosintetički materijali se primenjuju ako:
1) ne postoji filterska stabilnost između tla i zaštitnog sloja;
2) odvodnjavanje poprečnim nagibom planuma tla nije dovoljno;
3) postoje mesta sa smanjenom nosivošću zemljanog trupa;
4) treba poboljšati donji stroj na jako opterećenim prugama.
Karakteristike geosintetičkih materijala koje se zahtevaju za izgradnju železničkih pruga definisane su standardom SRPS EN 13250.
Karakteristike geosintetičkih materijala za korišćenje kod zemljanih radova i potpornih objekata definisane su standardom SRPS EN 13251.
Karakteristike geosintetičkih materijala koji se koriste kod sistema za odvodnjavanje definisane su standardom SRPS EN 13252.
Karakteristike geosintetičkih materijala koji se koriste za zaštitu od erozije definisane su standardom SRPS EN 13253.
Karakteristike geotekstila i srodnih materijala, koje se zahtevaju pri izgradnji tunela ili drugih podzemnih konstrukcija, definisane su standardom SRPS EN 13256.
Karakteristike geomembrana koje se zahtevaju pri izgradnji tunela i drugih podzemnih konstrukcija definisane su standardom SRPS EN 13491.
Ivične staze se postavljaju:
1) kod jednokolosečnih pruga sa obe strane pored zastorne prizme;
2) kod višekolosečnih pruga pored zastora spoljnog koloseka;
3) u stanicama pored spoljnih koloseka (izuzimajući područje perona i rampi).
Ivične staze se postavljaju u visini i nagibu planuma i služe pored ostalog za:
1) održavanje stabilnosti položaja koloseka;
2) prenošenje opterećenja od železničkog saobraćaja;
3) bezbednost personala pri kontrolama i radovima na održavanju za vreme prolaza vozova;
4) privremeno ostavljanje građevinskog materijala i uređaja za rad.
Srednje staze služe za osiguranje bezbednosti pri kontrolama i radovima na održavanju za vreme prolaza vozova i postavljaju se:
1) pored glavnih prolaznih koloseka u stanici;
2) između svakog drugog koloseka.
Srednje staze se postavljaju u visini planuma kada se zastorna prizma završava kosinom, a kada je zastorna prizma neprekidna u visini gornje ivice praga.
Širina ivičnih i srednjih staza iznosi 0,80 m, ali se u oblasti nožice zastorne prizme sa kosinom može suziti do 0,55 m.
U ivičnim i srednjim stazama u visini do 2,20 m iznad staze se ne gradi.
Unutar ivičnih i srednjih staza, postavljaju se samo telefonske govornice, stubovi za KM, signali i postavni uređaji.
Ivične staze pored kosina nasipa pod uglom α > 45 ° ili na potpornim zidovima visine više od 1,0 m, osiguravaju se ogradama, od mogućeg pada osoblja.
Ukoliko se staze nalaze u usecima na pruzi iznad potpornih zidova ili kosina sa uglom α > 45 °, izvodi se ograda kao zaštita od pada na prugu.
VI TEHNIČKI USLOVI ZA VEŠTAČKE OBJEKTE DONJEG STROJA
Opšti zahtevi za projektovanje veštačkih objekata
Veštački objekti donjeg stroja projektuju se u skladu sa propisima kojima se uređuje projektovanje građevinskih konstrukcija.
Zidovi, sa aspekta uloge u konstrukciji donjeg stroja mogu biti:
1) potporni zidovi;
2) zaštitni zidovi;
3) obložni zidovi;
4) zidovi za stabilizaciju stenskih masa.
Potporni zidovi se grade u slučajevima kada je potrebno da se u zemljanom trupu ili na padini prihvati pritisak zemlje, kao i da se suprotstavi oburvavanjima brdske mase ili deformaciji stene.
Prema niveleti pruge, zidovi se dele na:
1) potporne zidove ispod nivelete pruge, u nožici nasipa, u kosini nasipa do planuma ili do gornje ivice praga;
2) potporne zidove iznad nivelete pruge u kombinaciji sa odvodnim jarkovima, čija gornja površina zida jarka prema osi koloseka može biti u ravni planuma ili u ravni gornje ivice praga (u daljem tekstu: GIP).
Gradnja potpornih zidova se vrši ako postoji opasnost od podlokavanja nasipa, kada treba skratiti nožicu nasipa na terenu sa nagibom većim od 1:3 ili kada u nožici ili kosini nasipa treba izvesti drugi objekat (put i slično).
Zidovi se izvode u skladu sa projektnom dokumentacijom.
Zidovi se projektuju, izvode i održavaju tako da omoguće:
1) stabilnost useka ili nasipa;
2) odvodnjavanje površinskih i oborinskih voda;
3) da promena režima podzemnih voda ne ugrožava bezbednost objekta;
4) trajnost metalnih delova usled opasnosti od elektrokorozije zbog lutajućih struja na elektrificiranim prugama;
5) ugradnju zaštite od elektrokorozije tokom gradnje, unapređenja ili obnavljanja zidova na trasama na kojima je predviđena elektrifikacija.
Pri projektovanju zidova, uzima se u obzir slobodni profil određen projektom.
Udaljenost potpornog zida od slobodnog profila određuje se uzimajući u obzir uređaje i veštačke objekte između ivice planuma pruge i zida, vodeći računa o osiguranju vidljivosti signala i signalnih oznaka.
U veštačke objekte za premošćavanje prirodnih ili veštačkih prepreka na trasi železničke pruge, spadaju:
1) mostovi, vijadukti i propusti;
2) podvožnjaci i nadvožnjaci;
3) pešački prelazi iznad i ispod pruge;
4) prolazi ka peronima;
5) signalni mostovi;
6) signalne konzole.
Propusti su objekti sa rasponom glavnih nosača ≤ 5 m na ležištima ili sa zglobovima, a ako nemaju ležišta ili zglobove, data mera se odnosi na otvor.
Mostovi su objekti sa rasponom glavnih nosača > 5 m na ležištima ili sa zglobovima, a ako nemaju ležišta ili zglobove, data mera se odnosi na otvor.
Cevovodi, vodovodi i druge slične instalacije, koje sa svojim zaštitnim konstrukcijama, odnosno cevima, prolaze ispod pruge, premošćuju se, zavisno od svojih dimenzija, mostovima ili propustima.
Tehnički uslovi za mostovske konstrukcije
Mostovske konstrukcije se projektuju, grade, unapređuju i obnavljaju tako da se:
1) omoguće ekonomična konstruktivna rešenja pri gradnji novog, unapređenju i obnovi postojećeg kao i tokom održavanja;
2) obezbedi sigurnost na graničnim stanjima nosivosti i upotrebljivost tokom gradnje i eksploatacije;
3) obezbedi zaštita od udara drumskih i plovnih vozila u konstrukciju;
4) smanji ometanje železničkog saobraćaja pri gradnji i održavanju;
5) minimalizuje uticaj na životnu sredinu tokom i posle gradnje;
6) obezbede zaštitne mere protiv rizika od dodira vodova pod naponom kao i druge neophodne mere zaštite KM na elektrificiranim prugama;
7) odvodnjavanje reši funkcionalno;
8) obezbedi dobra preglednost signala i signalnih oznaka.
Kod objekata na elektrificiranim prugama, s obzirom na lokaciju i vrstu objekta, potrebno je voditi računa o efekatu lutajućih struja (elektrokorozije) i preduzeti neophodne mere zaštite.
Kod projektovanja mostova, uzima se u obzir šema opterećenja 71 a kod kontinualne mostovske konstrukcije, uzima se u obzir i šema opterećenja SW/0.
Slobodni profil objekata na prugama određuje se na osnovu gabarita, položaja i broja koloseka, nadvišenja koloseka u krivini, instalacija koje prelaze preko objekta, rešenja pešačkih i službenih staza itd.
Ako na objektima ne postoji pešačka staza, potrebno je predvideti stazu za službena lica.
Unutrašnja ivica ograde tj. spoljna ivica staze je najmanje 3 m od ose krajnjeg koloseka.
Ako na objektima dužim od 50 m uslov prethodnog stava nije ispunjen, na svakih 25-30 m formiraju se niše.
Visina ograde mostovskih konstrukcija iznosi najmanje 1,10 m.
Konstruktivni elementi železničkih mostova koji se nalaze iznad koloseka (glavni nosači ili lukovi) udaljeni su od ose krajnjeg koloseka najmanje 2,5 m.
Pri projektovanju novih mostova preko reke potrebno je da donja ivica konstrukcije bude na koti koja je:
1) kod plovnih vodotoka maksimalne kote vode uvećane za plovidbeni gabarit;
2) kod neplovnih vodotoka stogodišnje vode uvećane za sigurnosnu visinu od 1,0 m ili hiljadugodišnja voda;
3) kod konstrukcija sa ležištima gornja ivica ležišnjeg bloka je najmanje 0,25 m iznad kote najviše visoke vode.
Visina prolaza za pešake pod mostovskom konstrukcijom iznosi najmanje 2,5 m.
Potrebno je da mostovske konstrukcije imaju pristupni put do obalnih stubova, koji se završava platoom odgovarajućih dimenzija van horizontalne projekcije mosta.
Tehnički uslovi propisani ovim članom važe i za:
1) zajedničke stubove mostova sa posebnim konstrukcijama za prugu i javni put;
2) zajedničke stubove i zajedničke konstrukcije mostova za prugu i javni put gde je železnički kolosek potpuno odvojen od koloseka za javni put;
3) postojeće mostove za prugu i javni put sa zajedničkim stubovima, zajedničkom konstrukcijom i zajedničkim kolosekom.
Podloga zastora na masivnim mostovima
Zastor se na masivnim betonskim i čeličnim mostovima, postavlja u masivna ili čelična korita.
Poluširina zastora je udaljenost od ose krajnjeg koloseka do bočne strane korita i iznosi najmanje 2,2 m.
Ako se ose koloseka i konstrukcije preklapaju, kod jednokolosečnih objekata, korito je širine 4,4 m.
Ako se ose koloseka ne poklapaju, kao kod mostova u krivini, povećava se širina korita tako da u svakom poprečnom preseku celom dužinom objekta tražena poluširina bude najmanje 2,2 m.
Kod višekolosečnih pruga, širina korita se povećava za rastojanje među kolosecima.
Preko dna korita postavlja se zaštitni sloj, obično od armiranog betona debljine 5-7 cm, preko hidroizolacije konstrukcije.
Tepih napravljen od elastičnog sintetičkog materijala, postavlja se na zaštitnom sloju betona ili direktno na hidroizolaciji, u zavisnosti od proračuna.
Nagib dna korita je horizontalan, pod jednostranim ili dvostranim padom.
Kada postoji nadvišenje koloseka pruge u krivini, zbog smanjenja debljine zastora od tucanika, može se izvesti gornja površina konstrukcije sa jednostranim padom, koji ne može biti veći od 5%.
Kablovi, koji omogućuju funkcionisanje delova strukturnih podsistema, polažu se u namenske kanale.
Kod novih i obnovljenih objekata, kablovi se postavljaju u kanale na prostoru između ograde i korita kolosečnog zastora.
Potrebno je da kablovi budu dostupni celom dužinom konstrukcije i u tu svrhu se postavljaju revizioni otvori zaštićeni poklopcima.
Odvodnjavanje mostovskih konstrukcija
Odvodnjavanje korita zastora od tucanika na mostovskim konstrukcijama železničke pruge, projektuje se i izvodi tako da se obezbedi kontinuirano oticanje atmosferskih padavina i izbegne negativan uticaj vode na mostovskoj konstrukciji i na svim sastavnim delovima železničke pruge na i pod njom.
Planum prilaznog nasipa i/ili zaštitnog sloja nasipa na objekat se formira tako da voda sa njega ne otiče na objekat.
Broj i raspored slivnika zavisi od intenziteta padavina na posmatranom prostoru i od uzdužnog nagiba na objektu.
Prečnik odvodnih cevi slivnika je najmanje 150 mm.
Slivnici se nameštaju tako da budu dostupni sa vrha i ne ugrađuju se direktno ispod koloseka.
Slivnici su poprečno ili uzdužno povezani na vertikalni odvod sa priključnom cevi, izvedenom u padu koji iznosi najmanje 5‰, ili na podužnu kanalizaciju instaliranu u objektu ili ispod njega.
Prečnik kanalizacione cevi određuje se hidrauličkim proračunom, ali nije manji od 200 mm.
Na mestima dilatacije na objektu treba predvideti fleksibilne delove među cevima.
Ako postoji potreba za odvodnjavanjem dugih objekata, može se izvesti slobodan odliv ispod objekta ako to dozvoljava lokacija objekta, vodoprivredni uslovi i uslovi za zaštitu životne sredine.
U slučaju izvođenja odliva ispod objekta, odvodna cev odmiče od strukture objekta tako da voda koja ističe, pod uticajem vetra, ne podliva noseću konstrukciju.
Otvori i kanali u trupu objekta odvodnjavaju se u korito zastora poprečnim cevima prečnika 30-50 mm instaliranim na odgovarajućim udaljenostima.
U cilju sprečavanja plavljenja ležišta uređuje se odvodnjavanje zemljišta oko ležišta.
Radi sprečavanja formiranja kondenza, u konstrukcijama sa šupljim jezgrom, obezbeđuju se ventilacioni otvori čiji uzdužni razmak nije veći od 20 m.
U najnižim tačkama unutrašnjosti šupljeg poprečnog preseka obezbeđuje se izlivanje vode u slučaju da je oštećen sistem odvodnjavanja.
Za sisteme odvodnjavanja objekata koriste se materijali otporni na koroziju.
Sistem odvodnjavanja se projektuje i izvodi tako da se omogući jednostavno čišćenje i održavanje.
Oznake na mostovskim konstrukcijama
Mostovske konstrukcije duže od 5 m imaju sledeće oznake:
1) stacionažu objekta;
2) stalne geodetske tačke (repere) prema projektu;
3) godinu gradnje ili obnove;
4) oznake negabaritnih mesta;
5) stalne oznake prelaznih i kružnih krivina kao i prelome nivelete;
6) oznake niša.
U tunelske konstrukcije spadaju tuneli i galerije.
Tunel je veštački podzemni objekat na trasi pruge, koji omogućava provođenje trase, u propisanim granicama svojih geometrijskih i tehničkih elemenata, kroz brdsku masu.
Portali su konstrukcije na ulaz ili izlazu tunelske konstrukcije u/iz stenske mase i sastavni su deo tunela.
Galerija je veštački objekat koji je izveden sistemom otvorene gradnje za obezbeđenje pruge.
Na mestima gde se utvrde česta obrušavanja snežnih masa, sa ili bez drobine, ili osuline, podižu se galerije, i to:
1) tunelskog tipa, izrađene kroz brdsku masu, zatvorene, odnosno obzidane ili neobzidane odozgo i sa brdske strane, dok su sa suprotne strane ili potpuno otvorene ili se oslanjaju na kratke ili duže stubove od brdskog materijala;
2) izrađene kao veštačke građevine od kamena, betona, armiranog betona, čelika i slično u usecima i zasecima.
Tehnički uslovi za tunelske konstrukcije
Projektovanje i gradnja tunelskih konstrukcija vrši se na osnovu podataka koji su dobijeni hidrogeološkim, geološkim, geotehničkim i seizmičkim ispitivanjima.
Tunelske konstrukcije se projektuju i grade sa slobodnim profilom koji je definisan u projektnom zadatku.
Projekat tunelskih konstrukcija sadrži planove za odvodnjavanje, ventilaciju i pravilno održavanje svih tunelskih sistema i uređaja.
Pri planiranju tunelskih konstrukcija potrebno je izvršiti izbor odgovarajuće tehnologije iskopa i podgrade.
Potrebno je predvideti sve aspekte važne za izvođenje radova, kao što su izrada privremenih tunela, pristup gradilištu, raspored i organizacija rada deponija za iskopani materijal itd.
Za tunele dužine preko 1 km, portalske delove tunelske konstrukcije treba projektovati kao zaštitne konstrukcije za smanjenje negativnih uticaja talasa mikro pritisaka.
Aerodinamika u tunelima definisana je standardom SRPS EN 14067-3, a zahtevi i postupci ocenjivanja aerodinamike u tunelima standardom SRPS EN 14067-5.
Ispitivanje stenskih masa obuhvata geološko, geotehničko, hidrološko, ekološko i seizmičko istraživanje.
Ispitivanje stenskih masa deli se na:
1) preliminarna ispitivanja;
2) ispitivanja u cilju projektovanja i gradnje;
3) kontrolna ispitivanja tokom gradnje.
Ispitivanja iz stava 2. ovog člana obuhvataju:
1) utvrđivanje glavnih litoloških, tektonskih i hidroloških karakteristika šireg područja tunela;
2) utvrđivanje detaljnih litoloških i tektonskih struktura kao i hidrogeoloških karakteristika oblasti ispod tunela;
3) određivanje geoloških, geotehničkih, fizičkih i hemijskih svojstva u datom zemljištu i steni;
4) utvrđivanje čvrstoće stena;
5) mogućnost prisustva opasnih gasova u stenama;
6) određivanje prisustva pećina, kraških pojava i drugih osobenosti u oblasti planiranog tunela;
7) utvrđivanje hemijskog sastava i nivoa podzemnih voda.
Poprečni profil tunelske konstrukcije
Poprečni profil tunelske konstrukcije je takvog oblika da prenosi stenski pritisak i dovoljno veliki da obezbedi projektom predviđen slobodni profil i izvođenje instalacija KM, ventilacije, odvodnjavanja i puta za evakuaciju kao i da omogućava nesmetano održavanje pruge.
U poprečnim profilima treba uzeti u obzir i proširenje za:
1) bezbedonosni prostor;
2) tunelske niše;
3) prostor za montažu instalacija;
4) prostor za građevinsko tehničke intervencije i dr.
Putevi za evakuaciju se izvode u tunelskim konstrukcijama na novim magistralnim prugama i namenjeni su evakuaciji u slučaju opasnosti, vanrednih situacija, nesreća ili nezgoda.
Put za evakuaciju se može koristiti i kao službeni put za preglede stanja tunelske konstrukcije.
Put za evakuaciju je udaljen od ose krajnjeg koloseka najmanje 2,5 m.
Potrebno je da staza puta za evakuaciju bude u visini GIŠ.
Visina slobodnog prolaza duž puta za evakuaciju iznosi najmanje 2,25 m, a širina najmanje 0,75 m.
Kod dvokolosečnih pruga put za evakuaciju se izvodi sa obe strane.
Izlazi za evakuaciju se izvode kod dugih tunela i vode na površinu po najkraćoj mogućoj putanji.
Dužina putanje za evakuaciju je polovina udaljenosti između:
1) portala tunela;
2) dva uzastopna izlaza za evakuaciju ili
3) izlaza za evakuaciju i portala.
U slučaju puta za evakuaciju koji vodi ka izlazu za evakuaciju, meri se srednja dužina putanje do vrata izlaza.
Dužina putanje za evakuaciju nije duža od 500 m.
Potrebno je da putanja evakuacije bude precizno naznačena (smer najbliže izlazu) i osvetljena kao i da rasveta ima nezavisno spoljno napajanje.
U izlazima u slučaju opasnosti mogu da se ugrađuju samo materijali koji zadovoljavaju zahteve definisane standardom SRPS EN 13501.
Projektovanje i gradnja portala temelje se na podacima koji su dobijeni na osnovu hidrogeoloških, geotehničkih i seizmoloških istraživanja.
Pri projektovanju portala uzima se u obzir:
1) morfologija terena;
2) geološki sastav i svojstva tla i stena u širem području uticaja portala;
3) geometrijski elementi trase pruge;
4) zaštita pruge od obrušavanja materijala sa padina;
5) pejzaž i druge karakteristike terena.
Portali se izvode kao:
1) čeoni portal - u osnovnim ili vršnim tunelima, ako je kosina nad portalom stabilna; potrebna je zaštita od pada sa visine, lavina kao i zaštita od erozije;
2) istureni portal - u osnovnim i vršnim tunelima, ako je padina nad tunelom podvrgnuta snažnoj eroziji ili ako je povećana opasnost od lavina; potrebna je zaštita od pada sa visine;
3) portal sa isturenim uzdužnim zidom - kod padinskih i depresijskih tunela bez obzira na tip izvedenog portala; potrebna je zaštita od pada sa visine.
S obzirom na položaj tunela u prostoru, gde god je to moguće, potrebno je ispuniti sledeće zahteve:
1) da portali tunela budu na stabilnoj padini;
2) da portalni ukop bude što kraći;
3) da je osa pruge u oblasti portala koliko je god moguće upravna na pravac kontura terena.
Pri planiranju portala potrebno je obezbediti da područje tokom gradnje može da primi potrebnu građevinsku infrastrukturu i da je ispred i iza tunela potreban prostor za građevinsku mehanizaciju dužine 40 m i širine najmanje 2,5 m.
Pri planiranju portala, u zavisnosti od karakteristika mikrolokacije, potrebno je predvideti i:
1) zaštitu od erozije padina;
2) zaštitu od klizišta i lavina;
3) odvodnjavanje površinskih voda.
Ako je područje portala zaštićeno potpornim konstrukcijama, potrebno je obezbediti odvodnjavanje njihovog zaleđa.
Infrastruktura izvan tunelskih konstrukcija
Izvan tunela uređuju se prostori, objekti i instalirana oprema koja omogućava brzu evakuaciju, gašenje požara i otklanjanje posledica vanrednih situacija, nesreća ili nezgoda u tunelu.
Na prilaznim putevima u blizini tunela se obezbeđuju intervencijske površine veličine najmanje 500 m2.
Ako prilaz sa drumskog puta nije moguć, u konsultaciji sa nadležnim službama obezbeđuju se druga rešenja za pristup.
Tunelima dužim od 3 km treba predvideti pristup do oba portala, a kraćim tunelima bar do jednog portala.
Potrebno je da se pristupni put tunelu završi u ivičnoj stazi najdalje 500 m od portala.
Kada nije moguće izvesti direktan pristup tunelu, u istoj ravni sa ulazom u tunel, pristupni put se završava okretnicom, a veza sa portalom tunela se ostvaruje stepeništem.
Potrebno je da tuneli duži od 3 km, u blizini portala imaju platoe za sletanje helikoptera (heliodrom).
Između heliodroma, pristupnih puteva i portala potreban je uređen pristup za kretanje vozila ili bar pešaka.
Snabdevanje vodom za gašenje požara obavlja se preko:
1) dovođenja vode iz vodovoda do portala tunela;
2) korišćenja vodnih resursa i dovođenja do portala tunela;
3) vodovodnih instalacija za gašenje mogućeg požara u samom tunelu ili
4) rezervoara u blizini izlaza u slučaju opasnosti i portala tunela.
Kapacitet dotoka vode za gašenje požara iznosi najmanje 800 litara u minuti za neprekidan dovod od najmanje dva sata.
Izvor vode može biti hidrant ili neki drugi izvor vode sa kapacitetom većim od 100 m3, kao što su rezervoar ili reka.
Površinska voda je voda sa površine pruge i padine nad prugom kao i voda iz zaleđa, koja teče sa površine padine nad usekom padine.
Sistemi za odvodnjavanje u tunelima su namenjeni za odvodnjavanje površinskih i procednih voda.
Sistem odvodnjavanja se projektuje posebno za gradnju a posebno za korišćenje.
Drenažni kanali u tunelu se konstruišu u zavisnosti od nagiba i od količine vode koja se očekuje pri najnepovoljnijim okolnostima.
Nagib odvodnog kanala iznosi najmanje 0,2%.
Kod jednokolosečnih tunela odvodni kanali se nalaze pored koloseka, kao i kanali za komunalne instalacije.
Procedna voda se prikuplja i ispušta odvodnim cevima koje su instalirane na obe strane tunela između unutrašnje obloge i tunelske konstrukcije.
Prečnik odvodnih cevi za procednu vodu iznosi najmanje 200 mm.
Ako je propust cevi prekoračen, procedna voda se odvodi u sistem centralnog odvodnjavanja.
Veličina prečnika cevi centralnog sistema za odvodnjavanje procedne vode, određuje se hidrauličkim obračunom po očekivanom prilivu, ali nije manji od 300 mm.
Prikupljena voda se ispušta u prirodno okruženje ili u najbliži vodotok.
Nagib sistema za odvodnjavanje je prema jednom ili prema oba portala.
Ako se odvodnjavanje voda ne može izvesti gravitacijski, ugrađuje se drenažni sistem sa pumpama za vodu.
Hidroizolacija je namenjena sprečavanju uticanja podzemnih voda u tunel i projektuje se i izvodi tako da trajno spreči curenje i ceđenje vode u unutrašnju betonsku oblogu kao i da osigura da obloga nije izložena štetnim hemijskim uticajima, koji mogu biti povezani sa agresivnim jedinjenjima u podzemnoj vodi.
U tunelima sa elektrovučom sprečava se kapljanje vode na vozni vod KM i pantograf železničkog vozila.
Hidroizolacija tunela se postavlja između primarne i unutrašnje tunelske obloge.
Pre postavljanja hidroizolacije, površina noseće konstrukcije se izravnjava finim mlazom cement betona i oblaže filterskim slojem geotekstila da se hidroizolacija ne bi oštetila i da bi se obezbedio odliv vode u drenažu.
Izbor hidroizolacije zavisi od agresivnosti podzemnih voda, stenskog pritiska i hidrostatičkog pritiska vode.
Hidroizolacija se može sprovesti kao:
1) sloj zaštitnog geotekstila, koji se polaže na oblogu od mlaznog cementnog betona i sprečava oštećenja unutrašnjeg vodonepropusnog sloja;
2) vodonepropusna geomembrana.
Planiranje i izvođenje iskopa za tunelske konstrukcije
Za stabilne uslove na čelu iskopa potrebno je:
1) podeliti poprečni presek iskopa na manje delove;
2) podupreti čelo iskopa stenskim sidrima, armaturnim mrežama i mlaznim cement betonom, primenom čeličnih lukova ili nekim drugim potpornim elementima koji sprečavaju lomove ili povećanu deformaciju tla.
Prilikom planiranja redosleda faza iskopa treba uzeti u obzir:
1) veličinu poprečnog preseka tunela;
2) kategoriju stenske mase;
3) ograničenja vremenskog razvoja deformacija;
4) ograničenja zbog vibracija (usled miniranja).
Planirani sistem podupiranja i redosled iskopa tokom izvođenja radova prilagođava se utvrđenim geotehničkim uslovima i drugim mogućim zahtevima koje definiše projekat tunela ili su posledica više sile.
Primarna obloga postavlja se odmah ili vrlo kratko nakon iskopa.
Kao dodatak stabilnosti tokom gradnje, primarna obloga postaje deo celokupnog sistema obloge.
Primarna obloga stabilizuje deformacije tla.
Primarna obloga je kruta ili fleksibilna.
Tuneli sa plitkim nadslojem i oni koji su smešteni ispod stambenih objekata ili drugih građevina, zahtevaju čvrstu oblogu kako bi se ograničile ili smanjile deformacije tla i sleganja na površini.
Kod tunela sa srednjim do visokim nadslojem, dopuštena je fleksibilna obloga.
Svaki od geološkim modelom predviđenih tipova stena ili tla pripadaju određenom potpornom tipu.
Potporni tipovi se razlikuju u debljini mlaznog betona, broju slojeva žičane mreže, položaju i razmeštaju čeličnih lukova, vrsti i dužini stenskih ankera, dužini koraka iskopavanja, redosledu iskopavanja, načinu raspodele iskopnog profila i drugim potpornim merama.
Mlazni beton se primenjuje kako bi se izbeglo popuštanje stenske mase i kao nosivi element.
Obloga mlaznog betona pokriva i zatvara pukotine u kamenu i sprečava otpadanje i pucanje.
Održavanje početne čvrstoće stene je presudno za formiranje stenskog svoda oko profila iskopa.
Mlazni cement beton može biti sa nearmiranim, armiranim čeličnim mrežama ili mikroarmiran čeličnim kompozitnim vlaknima.
Unutrašnja obloga tunela izvodi se nakon što se deformacije tla umire.
Kod tunela sa plitkim nadslojem predviđa se da primarna obloga izgubi deo svog opterećenja, a deo tereta se prenosi na unutrašnju oblogu.
U tunelima, koje nisu izloženi pritisku vode, unutrašnja obloga se izrađuje od nearmiranog betona.
Unutrašnja obloga tunela na 100 m dužine od portala tunela izrađuje se od betona otpornih na mraz.
U slučaju tunela koji su opterećeni pritiskom vode, ili tunela u urbanim sredinama, unutrašnja obloga izrađuje se od armiranog betona.
U urbanim sredinama, gde su tuneli ispod nivoa podzemnih voda, izrađuje se vodonepropusna betonska obloga.
Tehnički uslovi za unutrašnje obloge dati su u Prilogu 6 - Tehnički uslovi za unutrašnje obloge, koji je odštampan uz ovaj pravilnik i čini njegov sastavni deo i važe za tunele čija je veličina preseka iskopa od 30-120 m2.
Kod dimenzionisanja unutrašnje obloge tunela sa plitkim nadslojem uzimaju se u obzir i dodatna opterećenja:
1) opterećenje saobraćaja na površini nad tunelom;
2) opterećenje od objekta nad tunelom;
3) promene napona u steni zbog blizine velikih iskopavanja;
4) seizmičke aktivnosti u tunelima, kod nevezanih ili slabo vezanih zemljišta ispod nivoa podzemnih voda, kada su stenske mase od čvrstih i mekih naslaga kao i kada su na spoju između tvrdog i mekog sloja.
Vodonepropusna unutrašnja obloga zadovoljava zahteve vodonepropusnosti bez ugradnje hidroizolacije.
Količina svežeg vazduha, koji je neophodan za ventilaciju tunela, određuje se izračunavanjem i zavisi od dužine tunela, tipa vuče, gustine saobraćaja, dozvoljene koncentracije štetnih gasova i drugih faktora.
Potrebno je da oprema za ventilaciju kod novih tunela bude automatizovana sa mogućnošću manuelnog podešavanja.
Sistemi za odvodnjavanje se sastoje od:
1) odvodnih jarkova za odvodnjavanje zemljanog trupa i kosina useka;
2) odvodnih jarkova na kosinama useka i nasipa;
3) zaštitnih jarkova;
4) drenaža;
5) propusta, šahti i atmosferskih kanalizacija.
Svi elementi za odvodnjavanje se projektuju i izvode u odgovarajućim dimenzijama i poprečnim nagibima, u zavisnosti od uslova na terenu, meteoroloških podataka, geoloških uslova i veličine zone za prikupljanje.
Projekat odvodnjavanja je sastavni deo projekta zemljanog trupa ili donjeg stroja.
U zavisnosti od položaja u odnosu na zemljani trup, odvodni jarkovi se grade pored planuma pruge u:
1) useku i zaseku;
2) pored nasipa.
Odvodni jarkovi pored planuma pruge u useku i zaseku primaju vodu:
1) sa kosine useka i zaseka;
2) iz drenaža postavljenih u kosine useka iza potpornih zidova;
3) sa nožice nasipa koja se nalazi uz padinu;
4) sa padina oko trupa pruge, gde povremeno izvire ili se sakuplja oborinska voda;
5) sa planuma pruge;
6) iz drenaža ugrađenih u trup pruge.
Odvodni jarkovi se obziđuju.
Odstojanje odvodnog jarka od ose koloseka na prugama, gde se ugrađuju temelji za električne stubove, određuje se prema terenskim uslovima, uzimajući u obzir devijaciju jarka, propuštanje jarka kroz temelj stubova i slično.
Zaštitni jarkovi se izvode u cilju ograničavanja uticaja poremećenih kosina useka i zaštite od uticaje klizišta.
Potrebno je da sistem zaštitnih jarkova obuhvati celo klizno područje.
Padina uzvodno od zaštitnog jarka se planira tako da omogući pravilan uliv vode u zaštitni jarak.
Zaštitni jarkovi se izvode u pravcu, a gde to nije moguće, u krivinama sa što većim poluprečnikom, kako bi voda što bolje oticala i odnosila mulj.
Voda iz jarkova se odvodi najkraćim putem niz padinu neposredno do propusta i mostova.
Jarkovi su najmanje 5 m udaljeni od gornje ivice kosine useka ili zaseka.
Poluprečnik krivine jarka nije manji od 10 m, da bi se izbeglo usporavanje vode i taloženje nanosa.
Jarak se izvodi u kontinualnom podužnom padu od 2-25 ‰.
Podužni pad zaštitnog jarka iznad poremećenih kosina useka nije manji od 4‰, a zaštitnog jarka iznad klizišta i njihovih odvodnih jarkova niz padinu veći od 50‰, pri čemu kod određivanja najvećeg pada jarka treba voditi računa o količini vode, načinu osiguranja i vrsti terena.
Nagib stranica neobzidanih jarkova određuje se prema vrsti zemljišta, tako da u slučaju sitnog peska i slabo vezanih materijala, nagib stranica nije strmiji od 1:2, u vezanom materijalu 2:3, u stenovitom materijalu 1:1 do 2:1.
Nagibi stranica obzidanih jarkova kreću se u rasponu od 1:1 do 5:1.
Oblaganje dna jarka kaldrmom, betonom i dr. izvodi se i u slučaju malog pada u vodonepropustljivom zemljištu, da ne bi došlo do razaranja i stvaranja mulja u jarku.
Za prijem i odvođenje podzemne vode iz padina i trupa pruge, koje nije moguće odvesti odvodnim jarkovima, koriste se sistemi podzemnih građevina tj. drenaža.
Za odvodnjavanje staničnih platoa, perona, putnih prelaza i skretnica, koriste se plitke drenaže, kao i na mestima gde nema uslova da se izrade propisni odvodni jarkovi.
Za odvodnjavanje vode sa gornjeg stroja izvodi se kišna kanalizacija, oblika i dimenzija koje pružaju efikasno odvodnjavanje.
Pri projektovanju kišne kanalizacije na području ukrštanja sa prugom ili drugim sistemima, potrebno je uzeti u obzir sve efekte opterećenja koji deluju na kanalizaciju.
Povezivanje kišne kanalizacije sa postojećim komunalnim objektima usaglašava se sa nadležnim organom jedinice lokalne samouprave.
Na cevnim sistemima svih vrsta ugrađuju se revizione šahte, koje omogućavaju čišćenje cevi.
Šahte su jasno označene i zapečaćene, sa poklopcima odgovarajuće nosivosti.
Prečnik šahte iznosi najmanje 80 cm.
Ako su šahte dublje onda se u njih instaliraju stepenice.
Šahte, u kojima su ugrađene stepenice, imaju ulaz sa prečnikom od najmanje 80 cm a nadalje se širi do prečnika od najmanje 110 cm.
Revizione šahte postavljaju se na mestima spoja dve ili više cevi ili gde dolazi do promene poprečnog preseka, pravca ili pada cevi.
Najveći razmak između dve susedne šahte je 50 m.
Propusti su objekti za protok potoka, kanala i odvodnih jaraka kroz trup pruge.
Potrebno je da propust bude pod pravim uglom u odnosu na trasu pruge ili pod manjim uglom ukrštanja, pod uslovom da je potrebna korekcija vodotoka koji prolazi kroz propust.
Prema obliku poprečnog preseka propusti se dele na:
1) cevaste;
2) sandučaste;
3) pločaste (zasvođene).
Cevasti propusti se obično grade od prefabrikovanih tipskih cevi koje mogu da budu sa ili bez armature, ali je potrebno da beton bude vodonepropustan.
Obično se izrađuju sa prečnikom od 100, 150 i 200 cm, ali su u opticaju i međudimenzije prečnika 110, 140, 180, 210 i 240 cm.
Noseća konstrukcija sandučastog propusta je zatvoreni armirano-betonski okvir sa svetlim otvorom 2-5 m sa betoniranjem na licu mesta u monolitnoj izradi.
Kod pločastih propusta noseća konstrukcija je sastavljena od temeljne ploče i gornjeg dela u obliku svoda.
Gornji deo noseće konstrukcije može da ima oblik dela kruga, parabole ili kombinacije više krivih.
Veza temeljne ploče i svoda može biti čvrsta - uklještena ili zglobna, a koja će se veza primeniti zavisi od izabrane tehnologije gradnje objekta (montažna ili monolitna).
Svetla širina i visina propusta u obliku svoda varira između 2 i 5 m.
Kod propusta sa velikim uzdužnim nagibom i većim brzinama vode, izvodi se obloga dna od lomljenog kamena u betonu ili drugog materijala (beton sa vlaknima) čime se sprečava pojava abrazije dna.
Obloge iz stava 11. ovog člana se izvode samo kod propusta čiji je prečnik veći od 150 cm.
Minimalna debljina pokrivača hn iznad vrha cevastog propusta do GIP, zavisi od prečnika cevi i iznosi:
1) hn ≥ 1,50 m za cev Ø ≤ 1,50 m;
2) hn ≥ prečnika cevi, za cevi Ø > 1,50 m.
Minimalna debljina pokrivača hn iznad vrha sandučastog propusta iznosi 0,4 - 4 m a iznad zasvođenih propusta 0,2 - 0,3 m, u zavisnosti od svetle širine i visine propusta.
Objekti za zaštitu podsistema infrastruktura
Za zaštitu podsistema infrastruktura koriste se:
1) objekti za zaštitu od nanosa bujičnih tokova;
2) biotehničke mere;
3) objekti za regulisanje rečnih tokova;
4) objekti za zaštitu od jezerskih talasa;
5) objekti za zaštitu od zavejavanja;
6) objekti za zaštitu od snežnih lavina;
7) objekti za zaštitu od vetra;
8) objekti za zaštitu okoline od buke izazvane saobraćajem.
Objekti za zaštitu od nanosa bujičnih tokova
Projektovanje i gradnja zaštite pruge od bujičnih tokova osigurava i sprečava štetno delovanje nanosa bujičnih tokova na prugu.
Nanosi bujičnih tokova se drže na odstojanju od pruge poprečnim građevinama ili regulacionim kanalima, na onim delovima korita gde je konfiguracija terena takva da se mogu javiti aktivne promene (rušenje, podlokavanje) ili gde je moguće najveće zadržavanje nanosa.
Poprečne građevine (predgrade, pragovi, konsolidacioni pojasevi) se projektuju i izvode poprečno na tok bujičnog korita i mehanički stabilizuju poprečni profil korita, zadržavaju nanos i smanjuju pad dna korita i brzinu kretanja poplavnih talasa.
Regulacioni kanali (zemljani kanali, korekcije, kinete) izrađuju se uzvodno i nizvodno od pruge do glavnog odvodnog toka, u slučaju kada se utvrdi da je proticanje bujičnih voda i pronošenje nanosa kroz otvore propusta i mostova otežano.
Regulacioni kanali ispunjavaju sledeće uslove:
1) novo korito preseca prugu pod pravim uglom, gde god je to moguće;
2) usvojeni profil poprečnog preseka kanala je isti na celoj dužini kanala, što je moguće više;
3) kanal se izvodi do glavnog odvodnog toka sa kotom ušća višom od nivoa male vode, približno na koti srednje male vode u glavnom odvodnom toku.
Paralelno sa gradnjom hidrograđevinskih objekata u koritu potrebno je regulisati i ušće vodotoka.
U biotehničke mere spadaju proste pregradne građevine za stabilizaciju korita jaruga u kombinaciji sa radovima na pošumljavanju i zatravljivanju erodiranih brdskih padina i kosina obala.
Biotehničke mere se izvode po projektu.
Pošumljavanje erodiranih terena se vrši u zavisnosti od klimatskih i pedoloških uslova na kosinama.
Udaljenost zasada je takva da vrh zrelog stabla, u slučaju prevrtanja, ne prilazi više od 3 m od ose krajnjeg koloseka kao i da se obezbedi vidljivost signala i signalnih oznaka.
Objekti za regulisanje rečnih tokova
U slučaju da je stabilnost zemljanog trupa pruge ugrožena razornim dejstvom velikih voda, vrši se regulacija rečnog toka i zaštita kosina nasipa, odnosno terena na kome je položena pruga izradom različitih obaloutvrda, paralelnih i poprečnih građevina, u zavisnosti od svrhe koja se želi postići.
Obaloutvrde (kameni nabačaji, kamena naslaga, kaldrma, obloga od kamena, betona, busena, popleta, fašina, pruća, gabiona) se planiraju za utvrđivanje nestabilnih kosina obala i kao oslonac obalama protiv podlokavanja u nožici, a primenjuju se na deonicama toka u pravcu i u krivini.
U širim profilima korita sa niskim obalama, efikasna i trajna zaštita od erozije postiže se naizmeničnom sadnjom drveća.
Paralelne ili uzdužne građevine izvode se kada se želi postići formiranje nove obale po utvrđenoj regulatornoj trasi, najčešće na spoljnoj strani krivine.
Građevine, iz stava 4. ovog člana, solidno su izvedene a na uzvodnom i nizvodnom kraju postavljene u obalu i mestimično za obalu povezane poprečnim građevinama - traverzama.
Naperi su poprečne građevine koje se koriste za zaštitu obala, korekciju rečnih tokova svih kategorija.
Naperi se ne primenjuju u slučaju kada se ne sužava profil korita, zato što je korito vodotoka već suviše usko, kada se ne menja linija obale ili u slučaju da je obala napadnuta poprečnim vodenim strujama koje se ne mogu naperima otkloniti.
Po pravilu glava napera je iznad nivoa male vode ili radne vode.
U korenu se naper može izvoditi i iznad kote velike vode, u slučaju kada se želi otkloniti opasnost zaobilaženja građevine i oštećenja obale, pri čemu se glava napera, radi ublažavanja udara vode izvodi u blažem nagibu od 1:3 do 1:10, a koren građevine dobro ukopava.
Klasičan tip napera krute strukture od kamena u cementnom malteru se primenjuje u brdskim tokovima sa jakom koncentracijom vučenih nanosa krupnih frakcija i gde se ne očekuju jači procesi erozije dna korita, pri čemu se građevine dobro fundiraju.
Naperi od žičanih korpi postavljaju se direktno po terenu po prethodno isplaniranom ležištu do kote najnižih depresija korita ili se u podlogu polaže jastuk od žičanih korpi radi osiguranja glave napera od erozije po dnu rečnog korita.
Pragovi - pregrade primenjuju se za fiksiranje rečnog dna od daljeg produbljivanja, kao i za zaštitu podužnih građevina od podlokavanja izrađuju se od kamenog nabačaja ili u vidu zida od kamena ili betona.
Objekti za zaštitu od jezerskih talasa
Za zaštitu pruga od udarne snage jezerskih talasa izvode se građevine koje se koriste da se razbije i umanji udarna snaga talasa, kao što su:
1) trup od kamena sa jakom oblogom;
2) posebne zaštitne građevine - valobrani;
3) nabačaj krupnih kamenih ili betonskih blokova ispred nožice trupa.
Isisavajuće dejstvo talasa sprečava se izradom filtera ispod kamene ili betonske obloge, u kome najsitnije čestice dođu do trupa.
Način zaštite trupa pruge od oscilacija nivoa veštačkih jezera, u slučaju da su podloga i trup izrađeni od nevezanih materijala, određuje se posebnim projektima.
Objekti za zaštitu od zavejavanja
Zaštita pruga od zavejavanja i taloženja snega nošenog vetrom u vidu smetova na prugu, postiže se podizanjem odgovarajućih zaštitnih objekata, čiji je zadatak da zadrže sneg ispred pruge ili da ga prenesu preko pruge.
Položaji i dimenzije zaštitnih objekata, za svako mesto ugroženo zavejavanjem, određuju se prema pravcu dominantnog vetra, brzini i jačini vetra da bi se u krajnjoj liniji mogla odrediti veličina snežnog nanosa.
Veličina snežnog nanosa zavisi od:
1) količine snega koji je napadao i nanesenog snega;
2) pravca, brzine i trajanja vetra;
3) konfiguracije terena bliže i dalje okoline;
4) pružnih objekata, koji su uslovljeni trasom pruge ili su naknadno podignuti.
Za ugroženo mesto utvrđuje se uzrok nanošenja snega i određuje veličina zavejavanja prema najvećoj utvrđenoj količini nanesenog snega u metrima po dužnom metru tog dela pruge.
Objekti za zaštitu od zavejavanja su:
1) prenosni snegobrani;
2) stalni snegobrani;
3) šumski snegozaštitni pojasevi;
4) galerije.
Prenosni snegobrani koriste se na mestima koja su izložena vetrovima jačine do 15 m/s, kao i na mestima gde su snežni nanosi povremeni i manje ugrožavaju saobraćaj.
Prenosni snegobrani postavljaju se sa one strane pruge sa koje vetar nosi sneg, a po potrebi i s obe strane pruge.
Linija za postavljanje prenosnog snegobrana određuje se za svako ugroženo mesto, kao i prema visini samog snegobrana koji se postavlja od ose bližeg koloseka, odnosno od gornje ivice kosine useka, na daljini 8-15 puta visine snegobrana.
Snegobrani se izrađuju od drveta rešetkaste konstrukcije sa površinama šupljina 30 - 40% od ukupne površine snegobrana, a mogu se izrađivati i od pruća i žice.
Stalni snegobrani (nepokretne pregrade) podižu se na mestima, koja su zimi stalno zavejana, gde je otežan pristup i gde terenski uslovi omogućavaju podizanje šumskih snegozaštitnih pojaseva. Visina stalnih snegobrana je 3-7 m.
Odstojanje od bližeg koloseka iznosi 8-12 visina snegobrana.
Stalni snegobrani mogu biti drveni, od čeličnih stubova sa drvenim tablama, zidani ili betonski, a s obzirom na kratkotrajnost, drvene snegobrane treba izbegavati i postavljati samo na nepristupačnim mestima gde drugi način zaštite ne bi bio ekonomski opravdan.
Šumski snegozaštitni pojas, kao potpuna i trajna zaštita od zavejavanja, podiže se na mestima gde se utvrde stalna zavejavanja i gde terenski, pedološki i klimatski uslovi omogućavaju opstanak rastinja.
Širina pojasa je 10-25 m, osim na mestima koja su izložena vrlo jakom zavejavanju, a imaju i veoma nepovoljne terenske i klimatske uslove, gde je potrebno da širina pojasa bude veća od 25 m.
Raspored rastinja u pojasu planira se na način da pojas bude prizemno neprobojan, a pri vrhu produvni, pri čemu se zadnji red šumskog pojasa, koji je najbliži do pruge sadi na daljini 15-25 m od bližeg koloseka i najmanje 4 m od gornje ivice useka, u zavisnosti od reljefa terena.
Galerije i veštački tuneli podižu se radi obezbeđenja saobraćaja na delovima pruga, gde su zavejavanja izuzetno velika i dugotrajna, a obzirom na konfiguraciju terena, ne postoji mogućnost da se zaštite na drugi način.
Objekti za zaštitu od snežnih lavina
U slučaju pokretanja snežnih masa u vidu lavina, koje ugrožavaju prugu i objekte, preduzimaju se sledeće radnje:
1) sprečava se stvaranje lavina;
2) skreću se lavine od pruge;
3) štite se ugroženi delove pruge.
Na strmim padinama visokih predela, radi sprečavanja pokretanja lavina, postavljaju se po izohipsama prepreke od kamena, drveta, starih šina, pruća i rastinja.
Skretanje lavina sa prirodnog pravca sprovodi se na mestima gde to terenski uslovi dozvoljavaju i gde se skretanjem od pruge postiže potpuna zaštita pruge, a skretanje se postiže postavljanjem pregrada pod uglom od 30° do 60° prema pravcu kretanja lavina.
Pregrade za skretanje lavina najčešće se izrađuju kao suvi zidovi, a na blažim padinama kao zemljani nasipi ili drvene pregrade, pri čemu se zemljani nasipi sa strane toka lavine zaštićuju obložnim ili potpornim zidovima.
Na mestima gde se lavine ne mogu sprečiti da dospeju na prugu, podižu se zaštitni objekti u obliku galerija ili veštačkih tunela različitih tipova od impregnisanog drveta, čelika, armiranog i prednapregnutog betona, posebno ili u kombinaciji, i koji prevode lavinu preko pruge.
Za mesta na prugama koja su izložena udarima vetra utvrđuju se mere zaštite od vetra kao i vrste i obim tih mera radi obezbeđenja redovnog odvijanja saobraćaja.
Zaštitne mere su:
1) kameni zidovi;
2) armirano-betonski zidovi;
3) prepreke za vetar napravljene od sintetičkih materijala;
4) drveni zasadi.
U oblastima gde su istovremeno predviđene zaštita okoline od saobraćajne buke i zaštita pruge od vetra, barijere za zaštitu od buke preuzimaju ulogu zaštite od vetra.
Objekti za zaštitu od vetra postavljaju se direktno pored pruge uzimajući u obzir slobodni profil i sve uređaje pored pruge.
Objekti za zaštitu od vetra projektuju se i grade tako da se obezbedi preglednost signala i signalnih oznaka i omogući prolaz mehanizacije za održavanje gornjeg stroja.
Drveni zasadi se postavljaju na mestima gde su povoljni terenski i pedološki uslovi.
Širina pojasa zasada je 5-15 m, a zasadi na međusobnom rastojanju 1-5 m.
Objekti za zaštitu okoline od buke
Objekti za zaštitu od buke se postavljaju što bliže pruzi, ali ne bliže od 3,3 m od ose krajnjih koloseka.
Za zaštitu se koriste zvučne barijere ili zaštitni nasipi sa odgovarajućim zasadima duž trase pruge.
Projekat barijera za zaštitu od buke uzima u obzir i opterećenja izazvana vetrom, dinamički pritisak vazduha kod prolaza vozila, opterećenje od snega i dinamičkih uticaja usled udaraca kamenja ili otpalih delova sistema za kočenje.
Tehničke mere zaštite od uticaja buke:
1) zaštitni zid tipa ekrana;
2) zemljani zaštitni nasip;
3) zemljani zaštitni nasip sa zaštitnim zidom tipa ekrana;
4) zemljani zaštitni nasip sa potpornim zidom;
5) montažni objekti - paneli za zaštitu od buke.
Oblik, visina i udaljenost tehničkih mera zaštite iz stava 4. ovog člana od ose koloseka projektuju se prema proračunima i zahtevanim efektima i urbanističko tehničkim uslovima za pojedine deonice pruge.
Postupci ispitivanja koji se koriste za određivanje akustičkih svojstava objekata za zaštitu od buke, definisani su serijom standarda SRPS EN 16272.
Najviši dozvoljeni nivoi spoljne buke Leq u dB (A):
1) područja za odmor i rekreaciju, bolničke zone i oporavilišta, kulturno-istorijski lokaliteti danju - 50 dB, a noću - 40 dB;
2) turistička područja, mala i seoska naselja, kampovi i školske zone danju - 50 dB, a noću - 45 dB;
3) isključivo stambena područja danju - 55 dB, a noću - 45 dB;
4) poslovno-stambena područja, trgovačko-stambena područja i dečija igrališta danju - 60 dB, a noću - 50 dB;
5) gradski centar, zanatska, trgovačka, administrativno-upravna zona sa stanovima, zone duž autoputeva, magistralnih i gradskih saobraćajnica danju - 65 dB, a noću - 55 dB;
6) industrijska, skladišna i servisna područja i transportni terminali bez stambenih zgrada - na granici ove zone buka ne može prelaziti dozvoljene nivoe u zoni sa kojom se graniči.
Pri izgradnji, obnovi ili unapređenju pruge, sprovode se mere zaštite tako da buka u naseljenim područjima ne prelazi dozvoljeni nivo.
Ako se kao mera zaštite od buke predvide zemljani zaštitni nasipi, sa ili bez zaštitnog zida tipa ekrana, potrebna je izrada projekta.
Projektom je potrebno predvideti adekvatno uzemljenje noseće konstrukcije zaštitnog zida tipa ekrana u odnosu na postojeću ili planiranu elektrifikaciju pruge.
Tokom izrade projekta, poželjno je uklapanje zemljanih zaštitnih nasipa u postojeći teren.
Postavljene mere protiv buke ne ometaju održavanje železničkih pruga, ne utiču na postojeći sistem odvodnjavanja, vidljivost signala i signalnih oznaka.
Nakon sprovođenja mera za zaštitu od buke, prati se nivo buke.
Zaštitni zid tipa ekrana projektuje se uz ivične staze sa maksimalnom visinom od 2 m iznad GIŠ, a na rastojanju od ose koloseka od 4 m za V ˃ 160 km/h tj. 3,3 m V ≤ 160 km/h.
Zaštitni zid tipa ekrana na mostovima projektuje se uz ogradu na udaljenosti od ose koloseka 4 m za V ˃ 160 km/h tj. 3,3 m V ≤ 160 km/h, a sa maksimalnom visinom od 2 m iznad GIŠ.
Tokom proračuna zaštitnih zidova tipa ekrana, kao i panela kao zaštitne obloge, uzima se u obzir brzina 1,25 Vmax.
Projekat uzima u obzir i opterećenja izazvana vetrom, dinamički pritisak vazduha kod prolaza vozila, opterećenje od snega i dinamičkih uticaja usled udaraca kamenja ili otpalih delova sistema za kočenje.
Ako se na postojeće objekte od nevezanog agregata postavljaju novi zaštitni zidovi tipa ekrana, potrebno je ispitivanje kvaliteta materijala ugrađenog u njih.
Na zaštitnim zidovima tipa ekrana potrebno je postaviti vrata na odgovarajućim prilaznim tačkama, bez umanjenja korisnog dejstva zaštitnog zida.
Rastojanja vrata se utvrđuju prema potrebi.
Prilaze pomoću vrata treba postavljati na rastojanju od približno 300 m (sa 1,5 m čistog otvora), a servisne prilazne puteve pomoću dvostrukih vrata na svakih 900 m (sa 3 m čistog otvora).
Kilometarske oznake na vratima i kapijama se prikazuju na spoljnoj strani zaštitnog zida tipa ekrana.
Mogućnost prolaza kroz zaštitne zidove obeležena je na odgovarajući način.
Na prolazima kroz zaštitne zidove potrebno je postaviti stepenice ili rampe za savladavanje visinske razlike između planuma pruge i zemljišta van pružnog pojasa.
Kod postavljanja više od jednog zaštitnog zida, potrebno je omogućiti prolaz kroz njih na istoj stacionaži, pri čemu je pravac otvaranja vrata ka spolja od strane koloseka a kvake sa strane koloseka.
Zemljani zaštitni nasip projektuje se sa minimalnom širinom krune nasipa od 1,5 m, maksimalnom visinom nasipa 3 m iznad GIŠ i minimalnim nagibom kosine nasipa prema kolosecima od 1:1,5.
Nagib kosine nasipa prema granici pružnog pojasa odnosno regulacionoj liniji pruge projektuje se u skladu sa urbanističko-tehničkim uslovima koji važe za tu deonice pruge.
Zemljani zaštitni nasip sa zaštitnim zidom tipa ekrana projektuje se sa maksimalnom visinom nasipa od 3 m iznad GIŠ i najvećom visinom zida od 2 m, odnosno sa maksimalnom ukupnom visinom od 5 m iznad GIŠ.
U slučaju kada se urbanističko-tehničkim uslovima zahteva veće smanjenje nivoa buke, projektuje se zemljani zaštitni nasip sa potpornim zidom obloženim apsorbujoćom oblogom prema koloseku i maksimalnim nagibom kosine zida od 5:1, ali sa obezbeđenjem obaveznih elemenata poprečnog profila pruge (odvodnih jarkova i drenaža) i najvećeg visinom zemljanog zaštitnog nasipa od 3 m iznad GIŠ.
U slučaju projektovanja zaštitnih montažnih konstrukcija, bez obzira na oblik i nagibe kosina, potrebno je obezbediti odvodne kanale i drenaže, a maksimalna visina zaštitne montažne konstrukcije iznad GIŠ iznosi 3 m.
Propisane maksimalne visine objekata za zaštitu od buke mogu se povećati u područjima gde pruga prolazi na manje od 100 m od postojećih objekata koji zahtevaju zaštitu od buke, a u skladu sa urbanističko-tehničkim uslovima.
VII TEHNIČKI USLOVI ZA STANIČNE OBJEKTE I POSTROJENJA
Peroni se projektuju i grade tako da se omogući bezbedan ulazak/izlazak putnika.
Kod novih, unapređenih ili obnovljenih pruga, visina perona iznad GIŠ može da bude 0,55 m i 0,76 m.
Dužina perona se utvrđuje kao dužina najdužeg voza, koji je predviđen da se zaustavi na peronu pri normalnim uslovima, uz dodatak 10 m, ali nije manja od dužine najdužeg sastava dve motorne garniture voza koji saobraća na odnosnoj pruzi.
Na novim službenim mestima, na prugama od značaja za međunarodni saobraćaj, namenjenim mešovitom i putničkom saobraćaju, u kojima je predviđeno bavljenje vozova za prevoz putnika, dužina perona za prijem putničkih vozova iznosi najmanje 400 m.
Na unapređenim ili obnovljenim službenim mestima, na prugama od značaja za međunarodni saobraćaj, namenjenim mešovitom i putničkom saobraćaju, u kojima je predviđeno bavljenje vozova za prevoz putnika, dužina perona za prijem putničkih vozova iznosi najmanje 300 m.
Minimalna širina bočnih perona iznosi 2,5 m.
Minimalna širina srednjih perona iznosi 3,3 m a na krajevima se može smanjiti do 2,5 m.
Peron se izvodi od armirano-betonskih profila postavljenih na sloj zbijenog materijala nosivosti Ev2 > 60 MN/m2, sa peronskim zidom koji se sastoji od stabilne, vodopropustljive i na zamrzavanje otporne agregatne mešavine.
Pod zidanih perona se popločava kamenim ili betonskim pločicama na sloju nabijene kamene sitneži a u slučaju većeg opterećenja, podloga perona se radi od betona, sa pločicama zalivenim cementnim malterom, ili sa asfaltnom košuljicom.
Ako se pod perona asfaltira, površina asfalta je ravna a debljina asfaltne košuljice je najmanje 6 cm.
Gornja površina perona je čvrsta i ravna, nije klizava i ima poprečni nagib od najmanje 1%.
Hrapavost poda perona, sa izuzetkom taktilnih staza i horizontalne signalizacije, je manja od 0,5 cm.
Površina perona za kretanje putnika je u ravni sa ivicom perona.
Peronski zidovi su čvrsti, stabilni i otporni na udarce.
Ivice perona se osiguravaju od stalnog mehaničkog oštećivanja kamenim ivičnjacima, čeličnim ugaonicima itd.
Poklopci šahti i ostalih instalacija ugrađuju se u visini poda perona.
Radi bezbednosti saobraćaja i bezbednosti putnika, na peronu se postavlja horizontalna signalizacija u obliku žuto obojene trake, najmanje širine 0,1 m.
Udaljenost trake od ose koloseka uz peron određuje se zavisno od najveće projektovane brzine na koloseku, a nije veća od 2,4 m.
Na celoj dužini perona postavlja se taktilna staza najmanje širine 0,2 m s užljebljenjima normalnim na smer ulaska u voz.
Udaljenost taktilne staze od ivice perona određuje se zavisno od najveće projektovane brzine na koloseku uz peron, a nije manja od 0,8 m.
Tehnički zahtevi za projektovanje, konstrukciju i rad sistema ograda postavljenih na ivici staničnog perona kao i za sisteme ograda van ivice perona, definisani su standardom SRPS EN 17168.
Pri gradnji i obnovi stajališta izvodi se adekvatna zaštita putnika od vremenskih uticaja pomoću nadstrešnica ili skloništa.
Najmanja visina nadstrešnice iznosi 2,6 m.
Rastojanja perona od nepokretnih objekata
Razmak koloseka između kojih se postavlja peron zavisi od sledećih elemenata:
1) opasnog područja, zavisno od brzine vozova, i iznosi 2,5 - 3 m;
2) rastojanja ivice perona od osovine koloseka, i iznosi 1,7 m;
3) širine zone za kretanje putnika, najmanje 2 x 0,8 m;
4) širine stepeništa, koja zavisi od planiranog broja putnika, planiranih eskalatora i rampi za invalidna lica, a najmanje 1,6 m;
5) konstrukcije stepeništa na sredini perona, na najmanje 0,8 m od opasne zone.
Na novim peronima, rastojanje između nepokretnih objekata i ivice perona nije manje od:
1) 1,6 m, za predmete dužine do 1 m;
2) 2 m, za predmete dužine od 1 m do 10 m;
3) 2,4 m, za predmete dužine veće od 10 m.
Na novim peronima, rastojanje između nepokretnih objekata i spoljnje ivice taktilne trake nije manje od:
1) 0,8 m, za predmete dužine do 1 m;
2) 1,2 m, za predmete dužine od 1 m do 10 m;
3) 1,6 m, za predmete dužine veće od 10 m.
Na novim peronima međusobno rastojanje između nepokretnih objekata na peronu nije manje od 2,4 m.
Ako je razmak između stabilnih predmeta na peronu manji od 2,4 m, potrebno ih je međusobno povezati u zajedničku celinu.
Nepokretni objekti na peronu do visine 3,05 m iznad GIŠ, su najmanje 3 m udaljeni od od ose koloseka.
Postojeći nepokretni objekti mogu se zadržati i ako su na udaljenosti manjoj od 3 m od ose koloseka.
Odvodnjavanje peronskih površina se izvodi sa poprečnim nagibom koji može biti jednostrani ili obostrani.
Veličina poprečnog nagiba perona zavisi od vrste hodne površine, klimatskih karakteristika i pokrivenosti perona.
Poprečni nagib perona iznosi 2-4%.
Kod bočnih perona sprovodi se jednostrani nagib ka koloseku, a kod srednjih perona obostrani nagib ka kolosecima.
Atmosferske padavine sa perona se odvode kanalom po ivici perona.
Voda sa nadstrešnice se ispušta u staničnu kanalizaciju kroz šuplje noseće stubove ili vertikalne odvodne cevi u stubovima.
Ako je nadstrešnica u nagibu prema koloseku, ima instaliran žljeb duž ivice.
Voda sa perona i nadstrešnica se ispušta u staničnu kanalizaciju.
U podnožju zida perona izrađuje se drenaža ili betonski kanal pokriven perforiranim pločama u cilju odvodnjavanja koloseka između perona.
Prilaz peronu može biti u nivou ili denivelisan.
Objekti za denivelisan pristup peronu u službenim mestima su pothodnici i pasarele.
Denivelisani pristupi peronima projektuju se i grade tako da omoguće jednostavan pristup putnika i osoba sa invaliditetom.
Rastojanje konstruktivnih elemenata pasarela od ose krajnjeg koloseka je najmanje 3 m.
Najmanja udaljenost konstruktivnih elemenata iznad GIP omogućava primenu mera zaštite od dodira nadzemnih vodova KM koji su pod naponom.
Hodnu površinu pothodnika i pasarela je otporna na klizanje i zamrzavanje u svim vremenskim uslovima.
Ako je hodna površina napravljena od neklizajućeg eruptivnog materijala, debljina sloja je najmanje 3 cm.
Voda iz pothodnika se podužnim kanalima odvodi u atmosfersku kanalizaciju.
Voda sa nadstrešnica pasarela se kroz šuplje noseće stubove ili vertikalne odvodne cevi u stubovima, ispušta se u staničnu kanalizaciju.
Radi lakšeg i bržeg utovara i istovara robe na železničkim stanicama, koriste se utovarno-istovarne rampe, kao i magacinske rampe.
Utovarno-istovarna rampa se projektuje i izvodi tako da omogućava jednostavan pristup drumskim vozilom i bezbedan utovar/istovar tereta u kola.
Dužina bočne rampe za utovar iznosi najmanje 25 m.
Širina rampe je dovoljna za manevar najvećeg vozila, koje je predviđeno da je koristi, a najmanje 4 m.
Rampe se projektuju da izdrže pritisak vozila do 10 t po osovini.
Ivice rampe su zaštićene od mehaničkih oštećenja kamenim ivičnjacima, čeličnim ugaonikom dimenzija od 120/120 mm do 150/150 mm, čeličnim profilima 5x5x50 cm ili ubetoniravanjem šine lakšeg tipa.
Površina rampe je od materijala otpornog na zamrzavanje i uticaj soli.
Najpogodnija površina za rampe je liveni asfalt.
Odvodnjavanje površine rampe se izvodi sa jednostranim poprečnim nagibom prema koloseku u nagibu 1-4%.
Pristupni putevi duž pruge služe za kretanje vozila u službi eksploatacije, održavanja i hitnih intervencija.
Pristupni putevi se priključuju na mrežu lokalnih javnih puteva.
Pristupni putevi se izvode do ivičnih staza planuma pruge i završavaju se okretnicama.
Elementi trasa i kolovoznih konstrukcija pristupnih puteva biraju se na osnovu merodavnih vozila (inspekcijska kola).
Pristupne puteve treba predvideti i za: postavnice, "AV" veze, rasputnice, elektrovučne podstanice, postrojenja za sekcionisanje i dr.
Stanična postrojenja se konstruišu, izvode i održavaju u skladu sa projektom.
VIII PRELAZNE I ZAVRŠNE ODREDBE
Na postojeće železničke pruge, izgrađene, unapređene ili obnovljene pre stupanja na snagu ovog pravilnika, primenjuju se tehnički uslovi koji su bili na snazi u vreme gradnje, poslednjeg unapređenja ili obnove.
Odredbe ovog pravilnika primenjuju se na obnovu i unapređenje postojećih železničkih pruga koji će se vršiti posle stupanja na snagu ovog pravilnika.
Danom stupanja na snagu ovog pravilnika prestaju da važe:
1) čl. 1-65. Pravilnika o tehničkim uslovima i održavanju gornjeg stroja železničkih pruga ("Službeni glasnik RS", br. 39/16 i 74/16);
2) čl. 1-61. i Prilog 1 - Tehnički uslovi za slojeve donjeg stroja i Prilog 2 - Tehnički uslovi za unutrašnje obloge Pravilnika o tehničkim uslovima i održavanju donjeg stroja železničkih pruga ("Službeni glasnik RS", br. 39/16 i 74/16).
Ovaj pravilnik stupa na snagu osmog dana od dana objavljivanja u "Službenom glasniku Republike Srbije".
Priloge 1-6, koji su sastavni deo ovog pravilnika, objavljene u "Sl. glasniku RS", br. 39/2023, možete pogledati OVDE









