UREDBA O GRANIČNIM VREDNOSTIMA ZAGAĐUJUĆIH MATERIJA U POVRŠINSKIM I PODZEMNIM VODAMA I SEDIMENTU I ROKOVIMA ZA NJIHOVO DOSTIZANJE("Sl. glasnik RS", br. 50/2012) |
Ovom uredbom utvrđuju se granične vrednosti zagađujućih supstanci (u daljem tekstu: zagađujuća materija) u površinskim i podzemnim vodama i sedimentu, kao i rokovi za njihovo dostizanje.
Pojedini izrazi koji su upotrebljeni u ovoj uredbi imaju sledeće značenje:
1) verifikacioni nivo jeste tip granične vrednosti zagađujuće materije u sedimentu na osnovu koje se vrši ocena kvaliteta sedimenta prilikom njegovog izmuljavanja, u cilju utvrđivanja načina postupanja sa izmuljenim sedimentom i njegova vrednost je ≥ vrednosti limita, a kreće se u rasponu između ciljne i remedijacione vrednosti;
2) vrednost limita jeste tip granične vrednosti zagađujuće materije u sedimentu na osnovu koje se vrši ocena kvaliteta sedimenta prilikom njegovog izmuljavanja, u cilju utvrđivanja načina postupanja sa izmuljenim sedimentom i njegova vrednost je ≤ verifikacionom nivou, a kreće se u rasponu između ciljne i remedijacione vrednosti;
3) granična vrednost jeste standard kvaliteta životne sredine izražen kao koncentracija pojedinačne zagađujuće materije ili grupe zagađujućih materija ili indikatora zagađivanja u površinskoj i podzemnoj vodi i sedimentu, koja ne sme da bude prekoračena u cilju zaštite životne sredine i zdravlja ljudi. Granične vrednosti koje se koriste za prioritetne supstance u površinskim vodama su maksimalno dozvoljene koncentracije (MDK) i prosečne godišnje koncentracije (PGK), granična vrednost zagađujućih materija u podzemnim vodama je prosečna godišnja koncentracija (PGK), a granične vrednosti zagađujućih materija za ocenu kvaliteta sedimenta su: ciljna vrednost, maksimalno dozvoljena koncentracija, remedijaciona vrednost, vrednost limita i verifikacioni nivo;
4) eutrofikacija jeste obogaćivanje površinske vode nutrijentima, naročito jedinjenjima azota i/ili fosfora, koje uzrokuje ubrzan rast algi i viših oblika biljnog života, stvarajući nepoželjan poremećaj ravnoteže organizama prisutnih u vodi i kvaliteta te vode;
5) indikator jeste jedan ili skup više parametara kvaliteta podzemne vode koji ukazuje na postojeći status i trendove u kvalitetu podzemne vode;
6) indirektno ispuštanje u podzemnu vodu jeste ispuštanje zagađujućih materija u podzemnu vodu nakon proceđivanja kroz površinske i podzemne slojeve zemljišta;
7) istraživački monitoring sedimenta jeste monitoring koji se sprovodi u cilju utvrđivanja razloga prekoračenja maksimalno dozvoljenih koncentracija zagađujućih materija i u okviru koga se prate štetni ekotoksični efekti na rezidencijalnu biotu i izluživanje zagađujućih materija;
8) korisnici podzemnih voda jesu pravna lica, preduzetnici i fizička lica koji na bilo koji način utiču na kvalitet i količinu podzemnih voda;
9) maksimalno dozvoljena koncentracija (MDK) jeste maksimalna koncentracija pojedinačne zagađujuće materije ili grupe zagađujućih materija u površinskim vodama koja ne sme da bude prekoračena u cilju sprečavanja ozbiljnih nepovratnih posledica za ekosisteme, a za sediment maksimalno dozvoljena koncentracija je koncentracija pojedinačne zagađujuće materije ili grupe zagađujućih materija iznad koje su negativni uticaji na okolinu verovatni;
10) nadzorni monitoring jeste monitoring koji se vrši radi obezbeđenja kompletnog pregleda statusa voda i davanja informacija o dugoročnim pravcima promena u kvalitetu voda;
11) osnovni (nulti) nivo jeste prosečna vrednost parametra u podzemnim vodama merena svake godine u vremenskom periodu od najmanje 5 godina i služi za utvrđivanje granične vrednosti zagađujućih materija;
12) prosečna godišnja koncentracija (PGK) jeste prosečna vrednost koncentracija izmerenih u toku godine za pojedine zagađujuće materije ili grupe zagađujućih materija u površinskim i podzemnim vodama koja ne sme da se prekorači u cilju sprečavanja ozbiljnih nepovratnih dugoročnih posledica za ekosisteme;
13) prirodni nivo (PN) jeste koncentracija zagađujuće materije koja odgovara takvom stanju tela podzemne vode čiji nenarušeni uslovi ne podležu promenama koje su posledica antropogenog dejstva ili su te promene vrlo male;
14) rezidencijalna biota jesu originalni ili autohtoni stanovnici nekog područja odnosno prirodno prisutne biotičke komponente (flora i fauna) nekog ekosistema, bioma ili staništa;
15) remedijacija jeste proces preduzimanja mera za sprečavanje i uklanjanje zagađenja iz sedimenta i dovođenja njegovog kvaliteta do nivoa koji je bezbedan za buduće korišćenje;
16) remedijaciona vrednost jeste granična vrednost za koncentraciju zagađujuće materije u sedimentu iznad koje postoji rizik po akvatični ekosistem i zdravlje ljudi i životinja koji nije prihvatljiv;
17) sediment jeste esencijalna, dinamička čvrsta komponenta svih vodenih ekosistema koja, zbog snažno izražene tendencije vezivanja zagađujućih materija, predstavlja rezervoar toksičnih i perzistentnih jedinjenja antropogenog porekla;
18) unos zagađujućih materija u podzemne vode jeste direktno ili indirektno unošenje u podzemnu vodu zagađujućih materija koje su rezultat ljudske aktivnosti;
19) hidrološka godina jeste razdoblje punog hidrološkog ciklusa u trajanju od 12 meseci;
20) ciljna vrednost jeste granična vrednost za koncentraciju zagađujuće materije u sedimentu ispod koje su negativni uticaji na okolinu zanemarljivi i ona predstavlja dugoročni cilj kvaliteta sedimenta.
Ova uredba se ne primenjuje:
1) kod posledica nesrećnih slučajeva ili izuzetnih okolnosti prirodnog uzroka koji se realno ne mogu predvideti, izbeći ili ublažiti;
2) u slučaju procene nadležnih organa da unošenje zagađujućih materija u podzemne vode nije tehnički moguće sprečiti ili ograničiti bez korišćenja:
(1) mera koje bi povećale rizik po zdravlje ljudi i životinja ili kvalitet životne sredine u celini, ili
(2) mera za uklanjanje količina zagađujućih materija iz zagađenog zemljišta ili podslojeva zemljišta ili drugačije kontrole njihovog proceđivanja, za čije sprovođenje je neophodno uložiti finansijska sredstva koja daleko premašuju koristi koje proizilaze iz primene tih mera.
Granične vrednosti zagađujućih materija u površinskim vodama date su u Prilogu 1. - Površinske vode, koji je odštampan uz ovu uredbu i čini njen sastavni deo.
Granične vrednosti zagađujućih materija koje su pokazatelji opštih parametara, kiseoničnog režima, nutrijentnih supstanci, saliniteta, metala, organskih supstanci i mikrobioloških parametara u površinskim vodama, za pojedinačne klase površinskih voda utvrđene propisom kojim se određuju parametri ekološkog i hemijskog statusa za površinske vode, date su u Prilogu 1, Tabela 1. - Granične vrednosti zagađujućih materija u površinskim vodama.
Granične vrednosti zagađujućih materija za odličan ekološki status površinskih voda za sve tipove površinskih voda koji su utvrđeni propisom kojim se određuju parametri ekološkog i hemijskog statusa za površinske vode, date su u Prilogu 1, Tabela 2. - Granične vrednosti zagađujućih materija za odličan ekološki status odnosno I klasu površinskih voda.
Granične vrednosti zagađujućih materija za dobar ekološki status površinskih voda za svaki tip površinskih voda koji je utvrđen propisom kojim se određuju parametri ekološkog i hemijskog statusa za površinske vode, date su u Prilogu 1, Tabela 3. - Granične vrednosti zagađujućih materija za dobar ekološki status odnosno II klasu površinskih voda.
Granične vrednosti prioritetnih supstanci, koje su date propisom kojim se određuju granične vrednosti prioritetnih i prioritetnih hazardnih supstanci, primenjuju se na način koji je dat u Prilogu 1, Tabela 4. - Primena graničnih vrednosti prioritetnih i prioritetnih hazardnih supstanci za utvrđivanje klase površinske vode.
Izuzetno od st. 1-4. ovog člana nadležni organ će propisati strožije granične vrednosti u skladu sa planom zaštite voda od zagađivanja za određena vodna tela površinskih voda za koja standardi kvaliteta površinskih voda propisani ovom uredbom mogu dovesti do neispunjavanja ciljeva zaštite životne sredine utvrđenih planom upravljanja vodama ili značajnog opadanja ekološkog ili hemijskog kvaliteta tih voda.
Granične vrednosti zagađujućih materija iz člana 4. menjaju se i/ili dopunjuju sa novim zagađujućim materijama u skladu sa novim podacima o zagađujućim materijama, grupama zagađujućih materija ili indikatorima, u cilju zaštite zdravlja ljudi i životinja i životne sredine, a u skladu sa planom zaštite voda od zagađivanja.
Granične vrednosti zagađujućih materija u podzemnim vodama, date su u Prilogu 2. - Podzemne vode, koji je odštampan uz ovu uredbu i čini njen sastavni deo.
Granične vrednosti zagađujućih materija u podzemnim vodama, na osnovu kojih se vrši ocena hemijskog statusa vodnih tela podzemnih voda u skladu sa propisom kojim se određuju parametri hemijskog i kvantitativnog statusa za podzemne vode, date su u Prilogu 2, Glava I. - Standardi kvaliteta za podzemne vode, Tabela 1. - Granične vrednosti zagađujućih materija u podzemnim vodama.
Korisnici podzemnih voda su dužni da izvrše merenja osnovnog (nultog) nivoa za zagađujuće materije, jone ili indikatore koji su prirodnog porekla i/ili njihovo prisustvo u podzemnim vodama može biti posledica ljudske aktivnosti, i to: arsena, kadmijuma, olova, žive, amonijuma, hlorida, sulfata, trihloretilena, tetrahloretilena, vinilhlorida i elektroprovodljivosti.
Korisnici podzemnih voda dužni su da dostave izveštaj o izvršenim merenjima iz stava 2. ovog člana ministarstvima nadležnim za zaštitu životne sredine i vodoprivrede, najkasnije 30 dana od dana izvršenih merenja.
Izuzetno od stava 1. ovog člana nadležni organ će propisati strožije granične vrednosti u skladu sa planom zaštite voda od zagađivanja za određena vodna tela podzemnih voda za koja standardi kvaliteta podzemnih voda propisani ovom uredbom mogu dovesti do neispunjavanja ciljeva zaštite životne sredine utvrđenih planom upravljanja vodama za povezane celine površinskih voda, ili značajnim narušavanjem ekološkog ili hemijskog kvaliteta takvih celina, ili značajnom štetom po kopnene ekosisteme koji direktno zavise od celine podzemne vode.
Granične vrednosti zagađujućih materija iz člana 6. menjaju se i/ili dopunjuju sa novim zagađujućim materijama u skladu sa novim podacima o zagađujućim materijama, grupama zagađujućih materija ili indikatorima, u cilju zaštite zdravlja ljudi i životinja i životne sredine, a u skladu sa planom zaštite voda od zagađivanja.
Zabranjeno je unošenje zagađujućih materija u podzemne vode ukoliko takva aktivnost može dovesti do pogoršanja stanja odnosno do pogoršanja postojećeg hemijskog statusa podzemne vode, što se procenjuje na osnovu podataka dobijenih sprovođenjem monitoringa, u skladu sa propisima kojima se uređuje oblast voda i zaštita životne sredine.
Zabranjeno je direktno i indirektno ispuštanje u podzemnu vodu zagađujućih materija sa Liste I date u Prilogu 2, Glava II. - Liste zagađujućih materija.
Zabranjeno je direktno ili indirektno ispuštanje u podzemnu vodu zagađujućih materija sa Liste II, date u Prilogu 2, Glava II. - Liste zagađujućih materija, do određivanja osnovnog (nultog) nivoa zagađujućih materija u telu podzemne vode.
Izuzetno od st. 1-3. ovog člana, dozvoljeno je ispuštanje zagađujućih materija i zagađujućih materija sa Liste I i Liste II, kada se prethodnim ispitivanjem utvrdi da je podzemna voda u koju se ispuštaju navedene materije trajno neupotrebljiva za druge namene, posebno za potrebe domaćinstva i poljoprivrede, da njihovo prisustvo ne ometa eksploataciju zemljišnih resursa, kao i kada su preduzete sve tehničke mere da te materije ne mogu dospeti do drugih akvatičnih sistema ili ugroziti druge ekosisteme, a u skladu sa planom upravljanja vodama za dato vodno područje.
Granične vrednosti zagađujućih materija u sedimentu date su u Prilogu 3. - Sediment, koji je odštampan uz ovu uredbu i čini njen sastavni deo.
Granične vrednosti zagađujućih materija za ocenu statusa i trenda kvaliteta sedimenta odnosno ciljna vrednost, maksimalno dozvoljena koncentracija i remedijaciona vrednost, date su u Prilogu 3, Glava I. - Granične vrednosti za ocenu kvaliteta sedimenta, Tabela 1. - Granične vrednosti za ocenu statusa i trenda kvaliteta sedimenta.
Granične vrednosti zagađujućih materija koje se koriste pri izmuljavanju i dislokaciji sedimenta iz vodotoka odnosno ciljna i remedijaciona vrednost, vrednost limita i verifikacioni nivo, date su u Prilogu 3, Glava I, Tabela 2. - Granične vrednosti za ocenu kvaliteta sedimenta pri izmuljivanju sedimenta iz vodotoka.
Granične vrednosti iz st. 1. i 2. ovog člana za metale i organske materije odnose se na standardni sediment koji sadrži 10% organske materije i 25% gline.
Prilikom ocene kvaliteta sedimenta, granične vrednosti iz st. 1. i 2. ovog člana koriguju se za dati sediment prema izmerenom sadržaju organske materije i sadržaju gline u datom sedimentu i to na način dat u Prilogu 3, Glava II. - Korekcija graničnih vrednosti.
Korigovane granične vrednosti iz stava 4. ovog člana upoređuju se sa izmerenim koncentracijama zagađujućih materija u sedimentu.
Granične vrednosti zagađujućih materija iz člana 9. menjaju se i/ili dopunjuju sa novim zagađujućim materijama u skladu sa novim podacima o zagađujućim materijama, grupama zagađujućih materija ili indikatorima, u cilju zaštite zdravlja ljudi i životinja i životne sredine, a u skladu sa planom zaštite voda od zagađivanja.
Ako se nadzornim monitoringom utvrdi prekoračenje maksimalno dozvoljene koncentracije ili remedijacione vrednosti za jednu ili više zagađujućih materija u zapremini od 25 m3 sedimenta na datom lokalitetu, ili kada postoji sumnja da vrednost koncentracije zagađujuće materije između ciljne i maksimalno dozvoljene vrednosti izaziva štetne ekotoksične efekte na rezidencijalnu biotu, nadležni organ pokreće sprovođenje istraživačkog monitoringa u okviru koga se utvrđuje postojanje štetnih ekotoksičnih efekata na rezidencijalnu biotu i vrši procena stvarnog rizika.
Kada monitoring iz stava 1. ovog člana potvrdi postojanje štetnih ekotoksičnih efekata na rezidencijalnu biotu i/ili postojanje stvarnog rizika, sprovode se mere u skladu sa planom zaštite voda od zagađivanja.
U slučaju prekoračenja remedijacione vrednosti za jednu ili više zagađujućih materija u zapremini od 25 m3 sedimenta na datom lokalitetu, vrši se dislokacija i/ili remedijacija sedimenta i preduzimaju mere u skladu sa planom zaštite voda od zagađivanja.
Granične vrednosti iz člana 10. stav 2. ove uredbe koriste se u slučaju izmuljavanja sedimenta iz vodotoka, za ocenu kvaliteta sedimenta prema kriterijumima datim u Prilogu 3, Glava III. - Kriterijumi, Tabela 1. - Kriterijumi za ocenu kvaliteta sedimenta i dozvoljeni načini postupanja sa izmuljenim sedimentom.
Ocena kvaliteta se vrši za svaku navedenu zagađujuću materiju odnosno grupu zagađujućih materija.
Konačna ocena kvaliteta sedimenta određuje se na osnovu najlošije ocenjene zagađujuće materije odnosno grupe zagađujućih materija.
Postupanje sa izmuljenim sedimentom u slučaju njegove dislokacije iz vodotoka vrši se u skladu sa graničnim vrednostima iz člana 10. stav 2. ove uredbe i ocenjenim kvalitetom sedimenta, na način koji je dat u Prilogu 3, Glava III, Tabela 1. - Kriterijumi za ocenu kvaliteta sedimenta i dozvoljeni načini postupanja sa izmuljenim sedimentom.
V ROKOVI ZA DOSTIZANJE GRANIČNIH VREDNOSTI
Rokovi za dostizanje graničnih vrednosti zagađujućih materija propisanih ovom uredbom za površinske vode i sediment koji nisu pod uticajem prekograničnog zagađenja, i to za jednu višu klasu u odnosu na sadašnji nivo kvaliteta, osim za dostizanje graničnih vrednosti I klase, određuju se u skladu sa dinamikom utvrđenom planovima upravljanja vodama, a najkasniji rok za njihovo dostizanje je 31. decembar 2032. godine.
Rokovi za postizanje graničnih vrednosti zagađujućih materija za površinske i podzemne vode i sediment koji su pod uticajem prekograničnog zagađenja i podzemne vode koje nisu pod uticajem prekograničnog zagađenja određuju se u skladu sa dinamikom utvrđenom planovima upravljanja vodama.
Ova uredba stupa na snagu osmog dana od dana objavljivanja u "Službenom glasniku Republike Srbije".
POVRŠINSKE VODE
Tabela 1. Granične vrednosti zagađujućih materija u površinskim vodama
Parametar |
Jedinica mere |
Granične vrednosti(1) |
||||
Klasa I(2) |
Klasa II(3) |
Klasa III(4) |
Klasa IV(5) |
Klasa V(6) |
||
Opšti |
|
|
|
|
|
|
pH(12) |
|
6,5-8,5 |
6,5-8,5 |
6,5-8,5 |
6,5-8,5 |
<6,5 ili <8,5 |
Suspendovane materije(9) (12) |
mg/l |
25 |
25 |
- |
- |
- |
Kiseonični režim |
|
|
|
|
|
|
Rastvoreni kiseonik |
[mg O2/l] |
-(8) (ili PN) |
-(8) |
5 |
4 |
< 4 |
Zasićenost kiseonikom |
% |
|
|
|
|
|
- epilimnion (stratifikovana voda) |
|
90-110 |
70-90 |
50-70 |
30-50 |
<30 |
- hipolimnion (stratifikovana voda) |
|
70-90 |
70-50 |
30-50 |
10-30 |
<10 |
- nestratifikovana voda |
|
70-90 |
50-70 |
30-50 |
10-30 |
<10 |
BPK5 |
[mg O2/l] |
-(8) (ili PN) |
-(8) |
7 |
25 |
>25 |
HPK (bihromatna metoda) |
[mg O2/l] |
10 (ili PN) |
15 |
30 |
125 |
>125 |
HPK (permanganatna metoda) |
[mg O2/l] |
5 (ili PN) |
10 |
20 |
50 |
>50 |
Ukupni organski ugljenik (TOS) |
[mg/l] |
-(8) (ili PN) |
-(8) |
15 |
50 |
>50 |
Nutrijenti |
|
|
|
|
|
|
Ukupan azot |
[mg N/l] |
1 (ili PN) |
2 |
8 |
15 |
>15 |
Nitrati |
[mg N/l] |
-(8) (ili PN) |
-(8) |
6 |
15 |
>15 |
Nitriti |
[mg N/l] |
0,01 (ili PN) |
0.03 |
0,12 |
0,3 |
>0,3 |
Amonijum jon |
[mg N/l] |
-(8) (ili PN) |
-(8) |
0,6 |
1,5 |
>1,5 |
Ne-jonizovani amonijak(9) |
[mg/l NH3] |
0,005 |
0,025 |
- |
- |
- |
Ukupan fosfor(7) |
[mg P/l] |
-(8) (ili PN) |
-(8) |
0,4 |
1 |
>1 |
Ortofosfati |
[mg P/l] |
-(8) (ili PN) |
-(8) |
0,2 |
0,5 |
>0,5 |
Salinitet |
|
|
|
|
|
|
Hloridi |
[mg/l] |
50 (ili PN) |
-(8) |
150 |
250 |
>250 |
Ukupni zaostali hlor(9) |
[mg/l HOCl] |
0,005 |
0,005 |
- |
- |
- |
Sulfati |
[mg/l] |
50 (ili PN) |
100 |
200 |
300 |
>300 |
Ukupna mineralizacija |
[mg/l] |
<1000 (ili PN) |
1000 |
1300 |
1500 |
>1500 |
Elektroprovodljivost na 20°C |
[mS/cm] |
<1000 (ili PN) |
1000 |
1500 |
3000 |
>3000 |
Metali |
|
|
|
|
|
|
Arsen |
[μg/l] |
<5 (ili PN) |
10 |
50 |
100 |
>100 |
Bor |
[μg/l] |
300 (ili PN) |
1000 |
1000 |
2500 |
>2500 |
Bakar |
[μg/l] |
5 (T=10) |
5 (T=10) |
500 |
1000 |
>1000 |
Cink |
[μg/l] |
30 (T=10) |
300 (T=10) |
2000 |
5000 |
>5000 |
Hrom (ukupni) |
[μg/l] |
25 (ili PN) |
50 |
100 |
250 |
>250 |
Gvožđe (ukupno) |
[μg/l] |
200 |
500 |
1000 |
2000 |
>2000 |
Mangan (ukupni) |
[μg/l] |
50 |
100 |
300 |
1000 |
>1000 |
Organske supstance |
|
|
|
|
|
|
Fenolna jedinjenja (kao C2H5OH) |
[μg/l] |
<1 |
1 |
20 |
50 |
>50 |
Naftni ugljovodonici(9) |
|
(10) |
(10) |
- |
- |
- |
Površinski aktivne materije (kao laurilsulfat) |
[μg/l] |
100 |
200 |
300 |
500 |
>500 |
AOH (adsorbujući organski halogen) |
[μg/l] |
10 |
50 |
100 |
250 |
>250 |
Mikrobiološki parametri |
|
|
|
|
|
|
Fekalni koliformi |
cfu/100ml |
100 |
1000 |
10000 |
100000 |
>100000 |
Ukupni koliformi |
cfu/100ml |
500(11) |
10000 |
100000 |
1000000 |
>1000000 |
Crevne enterokoke |
cfu/100ml |
200 |
400 |
4000 |
40000 |
>40000 |
Broj aerobnih heterotrofa (metoda Kohl) |
cfu/100ml |
500 |
10000 |
100000 |
750000 |
>750000 |
T - tvrdoća vode (mg/l CaCO3)
PN - prirodni nivo
______________
(1)Ako drugačije nije naglašeno vrednosti su izražene kao ukupne koncentracije u uzetoj probi
(2)Opis klase odgovara odličnom ekološkom statusu prema klasifikaciji datoj u pravilniku kojim se propisuju parametri ekološkog i hemijskog statusa za površinske vode. Površinske vode koje pripadaju ovoj klasi obezbeđuju na osnovu graničnih vrednosti elemenata kvaliteta uslove za funkcionisanje ekosistema, život i zaštitu riba (salmonida i ciprinida) i mogu se koristiti u sledeće svrhe: snabdevanje vodom za piće uz prethodni tretman filtracijom i dezinfekcijom, kupanje i rekreaciju, navodnjavanje, industrijsku upotrebu (procesne i rashladne vode).
(3)Opis klase odgovara dobrom ekološkom statusu prema klasifikaciji datoj u pravilniku kojim se propisuju parametri ekološkog i hemijskog statusa za površinske vode. Površinske vode koje pripadaju ovoj klasi obezbeđuju na osnovu graničnih vrednosti elemenata kvaliteta uslove za funkcionisanje ekosistema, život i zaštitu riba (ciprinida) i mogu se koristiti u iste svrhe i pod istim uslovima kao i površinske vode koje pripadaju klasi I.
(4)Opis klase odgovara umerenom ekološkom statusu prema klasifikaciji datoj u pravilniku kojim se propisuju parametri ekološkog i hemijskog statusa za površinske vode. Površinske vode koje pripadaju ovoj klasi obezbeđuju na osnovu graničnih vrednosti elemenata kvaliteta uslove za život i zaštitu ciprinida i mogu se koristiti u sledeće svrhe: snabdevanje vodom za piće uz prethodni tretman koagulacijom, flokulacijom, filtracijom i dezinfekcijom, kupanje i rekreaciju, navodnjavanje, industrijsku upotrebu (procesne i rashladne vode).
(5)Opis klase odgovara slabom ekološkom statusu prema klasifikaciji datoj u pravilniku kojim se propisuju parametri ekološkog i hemijskog statusa za površinske vode. Površinske vode koje pripadaju ovoj klasi na osnovu graničnih vrednosti elemenata kvaliteta mogu se koristiti u sledeće svrhe: snabdevanje vodom za piće uz primenu kombinacije prethodno navedenih tretmana i unapređenih metoda tretmana, navodnjavanje, industrijsku upotrebu (procesne i rashladne vode).
(6)Opis klase odgovara lošem ekološkom statusu prema klasifikaciji datoj u pravilniku kojim se propisuju parametri ekološkog i hemijskog statusa za površinske vode. Površinske vode koje pripadaju ovoj klasi ne mogu se koristiti ni u jednu svrhu.
(7)Ukupan fosfor se analizira iz filtrata, tj. iz rastvorene faze koja je dobijena filtracijom kroz 0,45 mm filter.
(8)Vidi Prilog 1, Tabela 2 i Tabela 3, u kojima su date granične vrednosti zagađujućih supstanci za I odnosno II klasu površinskih voda.
(9)Parametar se prati samo u površinskim vodama koje su imenovane kao salmonidne ili ciprinidne.
(10)Naftni derivati ne smeju biti prisutni u vodi u takvim količinama da:
- formiraju vidljivi film na površini vode ili prevlake na obalama vodotokova i jezera,
- daju prepoznatljivi "ugljovodonični" ukus ribama,
- izazivaju štetne efekte u ribama.
(11)Bazirano na 95% -noj proceni
(12)Dozvoljeno je odstupanje od graničnih vrednosti u slučaju specifičnih geografskih uslova
Tabela 2. Granične vrednosti zagađujućih materija za odličan ekološki status odnosno I klasu(1) površinskih voda
Tipovi površinskih voda |
pH |
Rastvoreni kiseonik (mg/l) |
BPK5 (mg/l) |
Ukupni Organski ugljenik (mg/l) |
Amonijum jon (NH4-N) (mg/l) |
Nitrati (NO3-N) (mg/l) |
Ortofosfati (PO43-) (mg/l) |
Ukupni fosfor (P) (mg/l) |
Hloridi (Cl.) (mg/l) |
Velike nizijske reke, dominacija finog nanosa (Tip 1) |
6,5-8,5 |
8,5(2) |
2,0 |
2,0 |
0,10 |
1,0 |
0,02 |
0,05 |
50 |
Velike reke, dominacija srednjeg nanosa, izuzev reka područja Panonske nizije (Tip 2) |
6,5-8,5 |
8,5 |
1,8 |
2,0 |
0,05 |
1,5 |
0,02 |
0,05 |
50 |
Mali i srednji vodotoci, nadmorska visina do 500 m, dominacija krupne podloge (Tip 3) |
6,5-8,5 |
8,5 |
1,5 |
2,0 |
0,05 |
1,5 |
0,02 |
0,05 |
50 |
Mali i srednji vodotoci, nadmorska visina preko 500m, dominacija krupne podloge (Tip 4) |
6,5-8,5 |
8,5 |
1,8 |
2,0 |
0,10 |
1,5 |
0,02 |
0,05 |
50 |
Vodotoci područja Panonske nizije, izuzev vodotoka svrstanih u tip 1 (Tip 5) |
6,5-8,5 |
8,0 |
2,5 |
3,0 |
0,20 |
1,5 |
0,10 |
0,15 |
50 |
Mali vodotoci izvan područja Panonske nizije koji nisu obuhvaćeni tipovima 3 i 4, kao i vodotoci koji nisu obuhvaćeni Pravilnikom o utvrđivanju vodnih tela površinskih i podzemnih voda ("Službeni glasnik RS", broj 96/10) (Tip 6) |
6,5-8,5 |
8,5 |
1,5 |
2,0 |
0,05 |
1,0 |
0,02 |
0,05 |
50 |
Jezera nadmorske visine do 200 m.n.m, sva plitka jezera (do 10 m dubine), svi barsko-močvarni ekosistemi |
6,5-8,5 |
8,52 |
2,0 |
2,0 |
0,10 |
1,0 |
0,02 |
0,05 |
50 |
Jezera nadmorske visine preko 200 m.n.m, srednje dubine (dubina 10-30 m) i duboka (dubina >30m) |
6,5-8,5 |
8,52 |
1,5 |
2,0 |
0,05 |
1,5 |
0,02 |
0.05 |
50 |
______________
(1)Opis klase odgovara odličnom ekološkom statusu prema klasifikaciji datoj u pravilniku kojim se propisuju parametri ekološkog i hemijskog statusa za površinske vode. Površinske vode koje pripadaju ovoj klasi obezbeđuju na osnovu graničnih vrednosti elemenata kvaliteta uslove za funkcionisanje ekosistema, život i zaštitu riba (salmonida i ciprinida) i mogu se koristiti u sledeće svrhe: snabdevanje vodom za piće uz prethodni tretman filtracijom i dezinfekcijom, kupanje i rekreaciju, navodnjavanje, industrijsku upotrebu (procesne i rashladne).
(2)Vrednost parametra može biti i manja ako je prirodna vrednost manja
Tabela 3. Granične vrednosti zagađujućih materija za dobar ekološki status odnosno II klasu(1) površinskih voda
Tipovi površinskih voda |
pH |
Rastvoreni kiseonik (mg/l) |
BPK5 (mg/l) |
Ukupni Organski ugljenik (mg/l) |
Amonijum jon (NH4-N) (mg/l) |
Nitrati (NO3-N) (mg/l) |
Ortofosfati (PO43-) (mg/l) |
Ukupni fosfor (P) (mg/l) |
Hloridi (Cl.) (mg/l) |
Velike nizijske reke, dominacija finog nanosa (Tip 1) |
6,5-8,5 |
7,0 |
5,0 |
5,0 |
0,30 |
3,0 |
0,10 |
0,20 |
100 |
Velike reke, dominacija srednjeg nanosa, izuzev reka područja Panonske nizije (Tip 2) |
6,5-8,5 |
7,0 |
4,5 |
5,0 |
0,10 |
3,0 |
0,10 |
0,20 |
100 |
Mali i srednji vodotoci, nadmorska visina do 500 m, dominacija krupne podloge (Tip 3) |
6,5-8,5 |
7,0 |
5,0 |
6,0 |
0,10 |
3,0 |
0,10 |
0,20 |
100 |
Mali i srednji vodotoci, nadmorska visina preko 500 m, dominacija krupne podloge (Tip 4) |
6,5-8,5 |
7,0 |
4,0 |
5,0 |
0,30 |
3,0 |
0,05 |
0,10 |
100 |
Vodotoci područja Panonske nizije, izuzev vodotoka svrstanih u tip 1 (Tip 5) |
6,5-8,5 |
6,0 |
5,0 |
6,0 |
0,40 |
3,0 |
0,20 |
0,30 |
100 |
Mali vodotoci izvan područja Panonske nizije koji nisu obuhvaćeni tipovima 3 i 4, kao i vodotoci koji nisu obuhvaćeni Pravilnikom o utvrđivanju vodnih tela površinskih i podzemnih voda ("Službeni glasnik RS", broj 96/10) (Tip 6) |
6,5-8,5 |
7,0 |
4,0 |
5,0 |
0,10 |
3,0 |
0,10 |
0,15 |
100 |
Jezera nadmorske visine do 200 m.n.m, sva plitka jezera (do 10 m dubine), svi barsko-močvarni ekosistemi |
6,5-8,5 |
7,0 |
5,0 |
6,0 |
0,30 |
3,0 |
0,10 |
0,20 |
100 |
Jezera nadmorske visine preko 200 m.n.m, srednje dubine (dubina 10-30 m) i duboka (dubina >30m) |
6,5-8,5 |
7,0 |
5,0 |
6,0 |
0,10 |
3,0 |
0,10 |
0,20 |
100 |
Akumulacije formirane na vodnim telima tipa 1 |
6,5-8,5 |
7,0 |
5,0 |
6,0 |
0,30 |
3,0 |
0,10 |
0,20 |
100 |
Akumulacije formirane na vodnim telima tipa 2 |
6,5-8,5 |
7,0 |
4,5 |
5,0 |
0,10 |
3,0 |
0,10 |
0,20 |
100 |
Akumulacije formirane na vodnim telima TIPA 3 i TIPA 4 |
6,5-8,5 |
8,51 |
1,5 |
2,0 |
0,05 |
1,5 |
0,02 |
0,05 |
100 |
Akumulacije formirane na vodnim telima TIPA 5 i TIPA 6 |
6,5-8,5 |
5,0 |
4,0 |
5,0 |
0,40 |
4,0 |
0,10 |
0,15 |
100 |
Veštačka vodna tela |
6,5-8,5 |
5,0 |
6,0 |
7,0 |
0,20 |
3,0 |
0,20 |
0,30 |
100 |
______________
(1)Opis klase odgovara dobrom ekološkom statusu prema klasifikaciji datoj u pravilniku kojim se propisuju parametri ekološkog i hemijskog statusa za površinske vode. Površinske vode koje pripadaju ovoj klasi obezbeđuju na osnovu graničnih vrednosti elemenata kvaliteta uslove za funkcionisanje ekosistema, život i zaštitu riba (ciprinida) i mogu se koristiti u iste svrhe i pod istim uslovima kao i površinske vode koje pripadaju klasi I.
Tabela 4. Primena graničnih vrednosti prioritetnih i prioritetnih hazardnih supstanci za utvrđivanje klase površinske vode
Klasa |
Sadržaj prioritetnih i prioritetnih hazardnih supstanci u površinskim vodama |
Klasa I(1) |
U toku godišnjeg ispitivanja izmerena vrednost ne sme da prekorači prosečnu godišnju koncentraciju (PGK) |
Klasa II(2) |
Izmerena vrednost je ≤PGK |
Klasa III(3) i klasa IV(4) |
Izmerena vrednost je >PGK i ≤MDK |
Klasa V(5) |
Izmerena vrednost je >MDK |
______________
(1)Opis klase odgovara odličnom ekološkom statusu prema klasifikaciji datoj u pravilniku kojim se propisuju parametri ekološkog i hemijskog statusa za površinske vode. Površinske vode koje pripadaju ovoj klasi obezbeđuju na osnovu graničnih vrednosti elemenata kvaliteta uslove za funkcionisanje ekosistema, život i zaštitu riba (salmonida i ciprinida) i mogu se koristiti u sledeće svrhe: snabdevanje vodom za piće uz prethodni tretman filtracijom i dezinfekcijom, kupanje i rekreaciju, navodnjavanje, industrijsku upotrebu (procesne i rashladne vode).
(2)Opis klase odgovara dobrom ekološkom statusu prema klasifikaciji datoj u pravilniku kojim se propisuju parametri ekološkog i hemijskog statusa za površinske vode. Površinske vode koje pripadaju ovoj klasi obezbeđuju na osnovu graničnih vrednosti elemenata kvaliteta uslove za funkcionisanje ekosistema, život i zaštitu riba (ciprinida) i mogu se koristiti u iste svrhe i pod istim uslovima kao i površinske vode koje pripadaju klasi I.
(3)Opis klase odgovara umerenom ekološkom statusu prema klasifikaciji datoj u pravilniku kojim se propisuju parametri ekološkog i hemijskog statusa za površinske vode. Površinske vode koje pripadaju ovoj klasi obezbeđuju na osnovu graničnih vrednosti elemenata kvaliteta uslove za život i zaštitu ciprinida i mogu se koristiti u sledeće svrhe: snabdevanje vodom za piće uz prethodni tretman koagulacijom, flokulacijom, filtracijom i dezinfekcijom, kupanje i rekreaciju, navodnjavanje, industrijsku upotrebu (procesne i rashladne vode).
(4)Opis klase odgovara slabom ekološkom statusu prema klasifikaciji datoj u pravilniku kojim se propisuju parametri ekološkog i hemijskog statusa za površinske vode. Površinske vode koje pripadaju ovoj klasi na osnovu graničnih vrednosti elemenata kvaliteta mogu se koristiti u sledeće svrhe: snabdevanje vodom za piće uz primenu kombinacije prethodno navedenih tretmana i unapređenih metoda tretmana, navodnjavanje, industrijsku upotrebu (procesne i rashladne vode).
(5)Opis klase odgovara lošem ekološkom statusu prema klasifikaciji datoj u pravilniku kojim se propisuju parametri ekološkog i hemijskog statusa za površinske vode. Površinske vode koje pripadaju ovoj klasi ne mogu se koristiti ni u jednu svrhu.
PODZEMNE VODE
I. Standardi kvaliteta za podzemne vode
Tabela 1. Granične vrednosti zagađujućih materija u podzemnim vodama
Parametar |
Jedinica mere |
Prosečna godišnja koncentracija (PGK) |
Nitrati |
[mg/l] |
50 |
Aktivne supstance u pesticidima(1), uključujući njihove relevantne metabolite, produkte degradacije i reakcija |
[μg/l] |
0,1 |
______________
(1)"Pesticidi" obuhvataju: organske insekticide, herbicide, fungicide, nematocide, akricide, algicide, slimicide i druge slične proizvode kao što su npr. regulatori rasta, njihove metabolite i proizvode reakcije razgradnje.
(2)"Ukupan" znači sumu svih individualnih pesticida detektovanih i kvantifikovanih u procedurama monitoringa, uključujući i njihove relevantne metabolite, produkte degradacije i reakcije.
II. Liste zagađujućih materija
Lista I
- organohalogena jedinjenja i materije koje mogu obrazovati takva jedinjenja u vodenoj sredini;
- organofosforna jedinjenja;
- organokalajna jedinjenja;
- kancerogene, mutagene i teratogene materije, koje imaju te osobine ili ih ispoljavaju kroz ili preko vode;
- živa i njena jedinjenja;
- kadmijum i njegova jedinjenja;
- mineralna ulja i ugljovodonici;
- cijanidi.
Lista II
- metali, metaloidi i njihova jedinjenja: Zn, Cu, Ni, Cr, Pb, Se, As, Sb, Mo, Ti, Sn, Ba, Be, B, U, V, Co, Tl, Te i Ag;
- biocidi i derivati;
- materije koje daju miris i ukus, ili obrazuju takve materije u podzemnoj vodi i čine je neupotrebljivom za ljudsku upotrebu;
- toksična ili postojana jedinjenja silikona, ili ona koja formiraju takva jedinjenja, izuzev onih koja su biološki neškodljiva ili se pretvaraju u neškodljive materije;
- neorganska jedinjenja fosfora i elementarni fosfor;
- fluoridi;
- amonijak i nitrati.
SEDIMENT
I. Granične vrednosti za ocenu kvaliteta sedimenta
Tabela 1. Granične vrednosti za ocenu statusa i trenda kvaliteta sedimenta
Parametar |
Jedinica mere |
Ciljna vrednost |
Maksimalno dozvoljena koncentracija |
Remedijaciona vrednost |
Arsen (As) |
mg/kg |
29 |
42 |
55 |
Kadmijum (Cd) |
mg/kg |
0,8 |
6,4 |
12 |
Hrom (Cr) |
mg/kg |
100 |
240 |
380 |
Bakar (Cu) |
mg/kg |
36 |
110 |
190 |
Živa (Hg) |
mg/kg |
0,3 |
1,6 |
10 |
Olovo (Pb) |
mg/kg |
85 |
310 |
530 |
Nikal (Ni) |
mg/kg |
35 |
44 |
210 |
Cink (Zn) |
mg/kg |
140 |
430 |
720 |
Mineralna ulja |
mg/kg |
50 |
3000 |
5000 |
Policiklični aromatični ugljovodonici (PAH)(1) |
mg/kg |
1 |
10 |
40 |
Naftalen |
mg/kg |
0,001 |
0,1 |
|
Antracen |
mg/kg |
0,001 |
0,1 |
|
Fenantren |
mg/kg |
0,005 |
0,5 |
|
Fluoranten |
mg/kg |
0,03 |
3 |
|
Benzo(a)antracen |
mg/kg |
0,003 |
0,4 |
|
Krizen |
mg/kg |
0,1 |
11 |
|
Benzo(k)fluoranten |
mg/kg |
0,02 |
2 |
|
Benzo(a)piren |
mg/kg |
0,003 |
3 |
|
Benzo(g,h,i)perilen |
mg/kg |
0,08 |
8 |
|
Indeno(1,2,3-cd)piren |
mg/kg |
0,06 |
6 |
|
Polihlorovani bifenili (PCB)(2) |
µg/kg |
20 |
200 |
1 |
DDD |
µg/kg |
0,02 |
2 |
|
DDE |
µg/kg |
0,01 |
1 |
|
DDT |
µg/kg |
0,09 |
9 |
|
DDT ukupni(3) |
µg/kg |
10 |
- |
4000 |
Aldrin |
µg/kg |
0,06 |
6 |
|
Dieldrin |
µg/kg |
0,5 |
450 |
|
Endrin |
µg/kg |
0,04 |
40 |
|
Ciklodien pesticidi (4) |
µg/kg |
5 |
- |
4000 |
α-HCH |
µg/kg |
3 |
20 |
|
β-HCH |
µg/kg |
9 |
20 |
|
γ-HCH (lindan) |
µg/kg |
0,05 |
20 |
|
HCH ukupni(5) |
µg/kg |
10 |
- |
2000 |
Alfa-endosulfan |
µg/kg |
0,01 |
1 |
4000 |
Heptahlor |
µg/kg |
0,7 |
68 |
4000 |
Heptahlor-epoksid |
µg/kg |
0,0002 |
0,002 |
4000 |
______________
(1)parametar se odnosi na sumu sledećih jedinjenja: naftalen, antracen, fenantren, fluoranten, benzo(a)antracen, krizen, benzo(k)fluoranten, benzo(a)piren, benzo(g,h,i)perilen, indeno(1,2,3-cd)piren
(2)parametar se odnosi na sumu sledećih pojedinačnih jedinjenja: PCB 28, 52, 101, 118, 138, 153 i 180.
(3)parametar se odnosi na sumu DDT, DDD i DDE
(4)parametar se odnosi na sumu aldrina, dieldrina i endrina
(5)parametar se odnosi na sumu četiri izomera heksahlorcikloheksana: α-HCH, β-HCH, γ-HCH, δ-HCH
Tabela 2. Granične vrednosti za ocenu kvaliteta sedimenta pri izmuljivanju sedimenta iz vodotoka
Parametar |
Jedinica mere |
Ciljna vrednost |
Vrednost limita |
Verifikacioni Nivo |
Remedijaciona vrednost |
Arsen (As) |
mg/kg |
29 |
55 |
55 |
55 |
Kadmijum (Cd) |
mg/kg |
0,8 |
2 |
7,5 |
12 |
Hrom (Cr) |
mg/kg |
100 |
380 |
380 |
380 |
Bakar (Cu) |
mg/kg |
36 |
36 |
90 |
190 |
Živa (Hg) |
mg/kg |
0,3 |
0,5 |
1,6 |
10 |
Olovo (Pb) |
mg/kg |
85 |
530 |
530 |
530 |
Nikl (Ni) |
mg/kg |
35 |
35 |
45 |
210 |
Cink (Zn) |
mg/kg |
140 |
480 |
720 |
720 |
Mineralna ulja |
mg/kg |
50 |
1000 |
3000 |
5000 |
Policiklični aromatični ugljovodonici (PAH)1 |
mg/kg |
1 |
1 |
10 |
40 |
Polihlorovani bifenili (PCB)2 |
mg/kg |
0,02 |
|
0,2 |
1 |
DDT ukupni3 |
µg/kg |
10 |
10 |
40 |
4000 |
Ciklodien pesticidi4 |
µg/kg |
5 |
|
|
4000 |
HCH ukupni5 |
µg/kg |
10 |
|
|
2000 |
Alfa-endosulfan |
µg/kg |
0,01 |
|
|
4000 |
Heptahlor |
µg/kg |
0,7 |
|
|
4000 |
Heptahlor-epoksid |
µg/kg |
0,0002 |
|
|
4000 |
______________
1parametar se odnosi na sumu sledećih jedinjenja: naftalen, antracen, fenantren, fluoranten, benzo(a)antracen, krizen, benzo(k)fluoranten, benzo(a)piren, benzo(g,h,i)perilen, indeno(1,2,3-cd)piren
2parametar se odnosi na sumu sledećih pojedinačnih jedinjenja: PCB 28, 52, 101, 118, 138, 153 i 180.
3parametar se odnosi na sumu DDT, DDD i DDE
4parametar se odnosi na sumu aldrina, dieldrina i endrina
5parametar se odnosi na sumu četiri izomera heksahlorcikloheksana: α-HCH, β/HCH, γ-HCH, δ-HCH
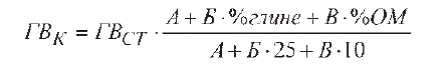
II. Korekcija graničnih vrednosti
Korekcija sadržaja metala za dati sediment.
Za korekciju graničnih vrednosti za sadržaj metala u zavisnosti od sadržaja gline i organske materije u datom sedimentu koristi se sledeća korekciona formula:

gde su:
GVK - korigovana granična vrednost za određeni sediment kada se u obzir uzme sadržaj gline i sadržaj organske materije
GVST - granična vrednost za standardni sediment sa 25% gline i 10% organske materije (vrednosti iz tabela 1 i 2)
%gline - izmereni sadržaj gline (mineralne frakcije < 2 µm) u datom sedimentu izražen u procentima u odnosu na masu suvog sedimenta
%OM - izmereni sadržaj organske materije u datom sedimentu izražen u procentima u odnosu na masu suvog sedimenta
A, B i V - konstante koje zavise od vrste metala (tabela 1)
Tabela 1. Konstante u zavisnosti od vrste metala
Metal |
Konstanta |
||
A |
B |
V |
|
Arsen (As) |
15 |
0,4 |
0,4 |
Kadmijum (Cd) |
0,4 |
0,007 |
0,021 |
Hrom (Cr) |
50 |
2 |
0 |
Bakar (Cu) |
15 |
0,6 |
0,6 |
Živa (Hg) |
0,2 |
0,0034 |
0,0017 |
Olovo (Pb) |
50 |
1 |
1 |
Nikl (Ni) |
10 |
1 |
0 |
Cink (Zn) |
50 |
3 |
1,5 |
Korekcija sadržaja organskih supstanci za dati sediment.
Za korekciju graničnih vrednosti za sve organske supstance, osim za policiklične aromatične ugljovodonike (PAH), u zavisnosti od sadržaja organske materije u datom sedimentu, koristi se sledeća korekciona formula:

gde su:
GVK - korigovana granična vrednost za određeni sediment kada se u obzir uzme sadržaj organske materije
GVST - granična vrednost za standardni sediment sa 25% gline i 10% organske materije (vrednosti iz tabelama 1 i 2)
%OM - izmereni sadržaj organske materije u datom sedimentu izražen u procentima u odnosu na masu suvog sedimenta
Tabela 1. Kriterijumi za ocenu kvaliteta sedimenta i dozvoljeni načini postupanja sa izmuljenim sedimentom
Klasa |
Kriterijum |
Načini postupanja sa izmuljenim sedimentom |
0 |
≤ Ciljna vrednost |
Koncentracije zagađujućih materija u sedimentu su na nivou prirodnog fona. Sedimenti mogu biti dislocirani bez posebnih mera zaštite. |
1 |
> Ciljna vrednost i ≤ Vrednost limita |
Sediment je neznatno zagađen. Prilikom dislokacije dozvoljeno je odlaganje bez posebnih mera zaštite u pojasu širine do 20 m u okolini vodotoka. |
2 |
> Vrednost limita i ≤ Verifikacioni limita |
|
3 |
> Verifikacioni nivo ≤ Remedijaciona vrednost |
Sediment je zagađen. Nije dozvoljeno njegovo odlaganje bez posebnih mera zaštite. Neophodno je čuvanje u kontrolisanim uslovima uz posebne mere zaštite kako bi se sprečilo rasprostiranje zagađujućih materija u okolinu. |
s4 |
> Remedijaciona vrednost |
Izuzetno zagađeni sedimenti. Obavezna je remedijacija ili čuvanje izmuljenog materijala u kontrolisanim uslovima uz posebne mere zaštite kako bi se sprečilo rasprostiranje zagađujućih materija u okolinu. |









