PRAVILNIK O METODOLOŠKOM OKVIRU ODREĐIVANJA TEHNIČKE IZVODLJIVOSTI I TROŠKOVNE OPRAVDANOSTI UGRADNJE UREĐAJA ZA MERENJE PREDATE TOPLOTNE ENERGIJE DELOVIMA ZGRADE I DELITELJA TOPLOTE NA SVAKOM GREJNOM TELU U ZGRADAMA KOJE SU PRIKLJUČENE NA SISTEM DALJINSKOG GREJANJA("Sl. glasnik RS", br. 117/2022 i 137/2022 - ispr.) |
Ovim pravilnikom propisuje se metodološki okvir određivanja tehničke izvodljivosti i troškovne opravdanosti ugradnje uređaja za merenje predate toplotne energije delovima zgrade i delitelja toplote na svakom grejnom telu u zgradama koje su priključene na sistem daljinskog grejanja.
Metodološki okvir određivanja tehničke izvodljivosti i troškovne opravdanosti ugradnje uređaja za merenje predate toplotne energije delovima zgrade u zgradama koje su priključene na sistem daljinskog grejanja nalazi se se u Prilogu 1 - Metodološki okvir određivanja tehničke izvodljivosti i troškovne opravdanosti ugradnje uređaja za merenje predate toplotne energije delovima zgrade, koji je odštampan uz ovaj pravilnik i čini njegov sastavni deo.
Metodološki okvir određivanja tehničke izvodljivosti i troškovne opravdanosti ugradnje delitelja toplote na svakom grejnom telu u zgradama koje su priključene na sistem daljinskog grejanja nalazi se u Prilogu 2 - Metodološki okvir određivanja tehničke izvodljivosti i troškovne opravdanosti ugradnje delitelja toplote na svakom grejnom telu, koji je odštampan uz ovaj pravilnik i čini njegov sastavni deo.
Ovaj pravilnik stupa na snagu osmog dana od dana objavljivanja u "Službenom glasniku Republike Srbije".
METODOLOŠKI OKVIR
ODREĐIVANJA TEHNIČKE IZVODLJIVOSTI I TROŠKOVNE OPRAVDANOSTI UGRADNJE UREĐAJA ZA MERENJE PREDATE TOPLOTNE ENERGIJE DELOVIMA ZGRADE
U ovom prilogu utvrđuje se metodološki okvir koji se može koristiti za procenu da li je ugradnja uređaja kojima se vrši merenje predate toplotne energije delovima zgrade, tehnički izvodljiva i troškovno opravdana.
Metoda koja je utvrđena u ovom prilogu usklađena je sa savremenom standardnom praksom i koristi kriterijum neto sadašnje vrednosti. Ekonomska opravdanost ugradnje postoji ako neto sadašnja vrednost jednokratnih i godišnjih troškova investicije nije veća od neto sadašnje vrednosti zbira godišnjih koristi od ušteda koje se ostvaruju. Da bi uštede mogle da se ostvare, svako grejno telo u zgradi mora biti opremljeno uređajem za regulaciju predate količine toplotne energije (termostatski regulacioni ventil).
Dodatne direktne koristi i uštede, koje se mogu uzeti u obzir prilikom proračuna, očekuju se od poboljšane automatizacije, eventualne primene mera energetske efikasnosti na zgradi i drugih mera. Rizik od dodatnih troškova, kao na primer zbog sanacija buđi koja se taloži zbog neadekvatnog grejanja, spada u poboljšano upravljanje zgradom i neće biti razmatran u vezi sa ugradnjom uređaja za merenje.
Ako analiza primenom metode iz ovog priloga za konkretnu zgradu daje pozitivan rezultat, uređaje za merenje predate toplotne energije delovima zgrade treba ugraditi. Pozitivan rezultat ne znači da će ugradnja biti troškovno isplativa za sve zainteresovane strane u zgradi (vlasnike stanova, stanodavce, zakupce itd.), jer isplativost zavisi i od njihovog budućeg ponašanja u pogledu potrošnje toplotne energije.
Ugradnja uređaja kojima se vrši merenje predate toplotne energije delovima zgrade u nekim zgradama nije moguća bez izvođenja manjih ili većih izmena na sistemu za grejanje zgrade, odnosno izmeštanja i/ili zamene delova sistema za grejanje. Iako manje izmene u zgradi koja se sastoji od velikog broja stanova mogu ostati u granicama održivosti, troškovi zamene većih delova sistema kućnih grejnih instalacija najčešće su previsoke u poređenju sa uštedama energije koja se očekuju. U tim slučajevima, ugradnja uređaja za merenje predate toplotne energije delovima zgrade može se smatrati tehnički neizvodljivom, osim ako se ne sprovodi u okviru nekih drugih aktivnosti, npr. rekonstrukcije kompletnih tehničkih instalacija u zgradi.
U okviru toplotne predajne stanice za svaku zgradu ili grupu zgrada, u skladu sa važećom regulativom, distributer toplotne energije dužan je da ugradi uređaj za merenje predate količine toplotne energije, kao i uređaj za automatsku regulaciju predaje toplotne energije. Uređaj za merenje predate količine toplotne energije meri i prikazuje ukupnu predatu količinu toplotne energije, ali ne daje podatak o pojedinačnoj raspodeli potrošnje delovima zgrade.
Za raspodelu troškova grejanja između delova zgrade (pojedinačnih stanova) potrebno je ugraditi uređaje za merenje predate toplotne energije delovima zgrade.
Standardni uređaji za merenje toplotne energije mere protok tečnosti koja prenosi toplotu i temperaturu tečnosti na ulazu i izlazu, a zatim određuje količinu toplote kroz proračunski modul i izražava je u jedinicama kWh.
Raspodela troškova putem ugradnje uređaja za merenje toplotne energije polazi od pretpostavke da se potrošnja toplotne energije može kontrolisati u delovima zgrade (pojedinačnim stanovima) i na svakom grejnom telu. Izbor vrste uređaja određuju tehničke karakteristike unutrašnje grejne instalacije zgrade.
Preporučuje se korišćenje uređaja za merenje toplotne energije pod tehničkim uslovima koji su opisani u tehničkim standardima i/ili tehničkoj dokumentaciji koju je obezbedio proizvođač uređaja u hidrauličnim balansiranim sistemima grejanja sa pravilno odabranom temperaturom grejnog medijuma, što omogućava održavanje minimalnog protoka grejnog medijuma u svakom krugu.
Za zgradu bez posebnih delova zgrade, odnosno kada se radi o zgradi koja predstavlja jednu stambenu jedinicu koja se snabdeva energijom iz sistema daljinskog grejanja dovoljna je ugradnja merila toplotne energije u sklopu predajne stanice.
Ako u zgradi koja se snabdeva putem distributivnog sistema daljinskog grejanja postoji više od jednog krajnjeg kupca, distributer toplotne energije obezbeđuje da se ugrade uređaji za merenje potrošnje grejanja svakog krajnjeg kupca, ako je to tehnički izvodljivo i troškovno opravdano.
Utvrđivanje troškovne opravdanosti i tehničke izvodljivosti vrši se u skladu sa ovim prilogom.
Ako se utvrdi da ugradnja uređaja za merenje toplotne energije nije troškovno isplativa ili nije tehnički izvodljiva, ili u međuvremenu nisu ugrađeni delitelji toplote, analizu treba ponoviti u roku od pet godina. Analizu treba ponoviti i ako je prva analiza pokazala isplativost, ali uređaji nisu ugrađeni u roku od pet godina.
Uređaj za merenje toplotne energije mora tačno da meri, pamti i prikazuje potrošnju toplotne energije krajnjeg kupca, u skladu sa tehničkim propisima.
Ako su uređaji za merenje toplotne energije delovima zgrade ugrađeni, obezbeđuje se njihov nesmetan rad, kao i pravilno održavanje, što uključuje periodičnu kalibraciju u skladu sa tehničkim propisima i periodično proveravanje ispravnosti rada.
Smatra se da je troškovno opravdana investicija ugradnje uređaja za merenje potrošnje toplotne energije delovima zgrade ako je neto sadašnja vrednost procenjenih ušteda energije za sve krajnje kupce u zgradi koji se toplotnom energijom snabdevaju iz sistema daljinskog grejanja, tokom perioda od npr. 15 godina nakon ugradnje, veća od neto sadašnje vrednosti procenjenih opravdanih troškova ugradnje uređaja za merenje toplotne energije i termostatskih regulacionih ventila za svaki radijator ukoliko prethodno već nisu ugrađeni.
Troškovi koje treba uzeti u obzir prilikom procene ukupnih troškova ugradnje su investicioni troškovi nabavke opreme i uređaja za merenje toplotne energije, troškovi njihove ugradnje, eventualni troškovi rekonstrukcije unutrašnje grejne instalacije pojedinih delova zgrade da bi se uređaji za merenje toplotne energije mogli ugraditi, operativni troškovi rada i održavanja kada uređaji imaju mogućnost daljinskog očitavanja i drugo. Pritom posebno treba obratiti pažnju na:
1) vrstu i starost zgrade i broj pojedinačnih stanova ili zajedničkih i drugih prostorija u zgradi;
2) broj spratova u zgradi;
3) namenu zgrade, ako nije namenjena za stalno stanovanje;
4) rezultate dobre prakse na primeru slične ili iste zgrade koja se snabdeva iz istog sistema daljinskog grejanja i ima ugrađene uređaje za merenje u skladu sa ovim pravilnikom;
5) troškove pristupa privatnom stanu ili zajedničkim prostorijama, uključujući eventualne administrativne troškove;
6) troškove pristupa kućnoj grejnoj instalaciji;
7) troškove vraćanja građevinskih delova i drugog sadržaja u prvobitno stanje;
8) troškove ugradnje uređaja za upravljanje temperaturom;
9) troškove opreme i softvera za prikupljanje podataka sa uređaja koji će biti osnov za obračun i fakturisanje;
10) troškove izdavanja računa i informacija o naplati;
11) troškove periodične kalibracije uređaja u skladu sa tehničkim propisima.
Smatra se da je tehnički izvodljivo instalirati uređaje za merenje toplotne energije delovima zgrade koja se pretežno sastoji od stambenih jedinica, osim u sledećim slučajevima:
1) ako postoji više od jedne ulazne tačke u zgradu kojom se ona snabdeva toplotnom energijom iz mreže daljinskog grejanja,
2) ako postoji više od jedne ulazne tačke u svaki stan / zasebnu jedinicu unutar zgrade,
3) ako se toplota koja se distribuira iz mreže daljinskog grejanja stvara pomoću vode sa temperaturom iznad 90 °C,
4) ako se toplota distribuira iz mreže daljinskog grejanja pomoću vodene pare.
Pomenuta pravila važe i za zgrade čiji je manji deo namenjen za stanovanje, a veći se koristi za druge namene. Pritom, stambeni deo, ako je to tehnički izvodljivo i troškovno opravdano, treba odvojiti u zasebnu grejnu celinu.
U slučajevima kada nije tehnički izvodljivo ili nije troškovno opravdano ugraditi uređaje za merenje toplotne energije delovima zgrade, sprovodi se analiza troškovne opravdanosti ugradnje delitelja toplote u skladu sa Prilogom 2 ovog pravilnika.
U smislu ovog priloga, period od 15 godina nakon ugradnje počinje danom nakon završetka ugradnje svih uređaja za predaju toplotne energije delovima zgrade u zgradi.
Preporučuje se primena diskontne stopa u intervalu od 6 do 10% za izračunavanje neto sadašnje vrednosti u smislu ovog priloga.
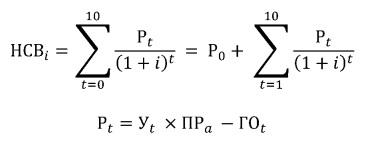
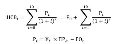
Za procenu troškovne isplativosti ugradnje uređaja kojima se vrši merenje toplotne energije, koristi se sledeća standardna formula za izračunavanje neto sadašnje vrednosti, odnosno ukupne koristi:

gde je:
NSV - neto sadašnja vrednost investicije (RSD);
R0 - početna investicija u periodu kada je uređaj za merenje toplotne energije instaliran (RSD);
Rt - godišnja neto ušteda koja predstavlja zbir troškova uštede energije umanjen za godišnje operativne troškove usluge koje se odnose na očitavanje uređaja i troškove fakturisanja i održavanja (RSD);
t - vek trajanja uređaja za merenje toplotne energije i pripadajuće opreme (npr. za period od 15 godina t=1 do t=15);
Ut (%) - procenjena prosečna godišnja ušteda energije nakon ugradnje uređaja kojima se vrši merenje predate toplotne energije (RSD);
PRa - referentni godišnji trošak za toplotnu energiju pre ugradnje uređaja za merenje toplotne energije (RSD);
GOt - godišnji operativni troškovi (RSD);
I - diskontna stopa, najčešće se koristi vrednost 6 do 10%.
Osnovni scenario primenjuje pretpostavku o konstantnim relativnim cenama energije tokom čitavog životnog veka uređaja kojima se vrši merenje predate toplotne energije i pripadajuće opreme.
Pored osnovnog, mogu se primeniti dva dodatna scenarija sa ciljem sprovođenja analize osetljivosti na potencijalnu varijaciju dva najvažnija faktora:
- pretpostavka da će relativne cene toplotne energije rasti po određenoj godišnjoj stopi;
- primena različite diskontne stope koja se koristi u osnovnom scenariju.
Dodatno, analiza može obuhvatiti i procenu neto sadašnje vrednosti za različite kombinacije početnih energetskih potreba i ušteda koje se postižu nakon ugradnje uređaja za merenje predate toplotne energije.
Eliminacija uticaja faktora različitih vremenskih uslova na efekte ugradnje uređaja vrši se normalizovanjem energije potrebne za grejanje zgrade korišćenjem "broja stepen dana" (SD), u skladu sa propisanom metodologiju za proračun broja stepen dana grejanja i broja stepen dana hlađenja.
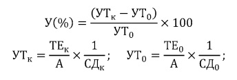
Da bi se izračunale potencijalne uštede, potrebno je pribaviti podatak o prosečnoj temperaturi u prostorijama/stanu i proceniti uštedu energije ako se pomoću termostatskog radijatorskog ventila temperatura svede u granice od oko 20 °C. Ako je zgrada takva da je prosečna temperatura u njoj već oko ove vrednosti (20 °C), investicija je neisplativa. Ako su temperature u prostoriji više od 20 °C i znatno više u prelaznim periodima, troškovna opravdanosti se izračunava putem sledeće formule:

gde je:
U(%) - procenjena prosečna godišnja ušteda energije nakon ugradnje uređaja
Za merenje predate toplotne energije;
UT0 - sadašnja prosečna potrošnja toplotne energije po m2 korigovana za vremenske uslove u grejnim sezonama (pre ugradnje uređaja kojima se vrši merenje predate toplotne energije);
UTk - procenjena prosečna potrošnja toplotne energije po m2 korigovana za vremenske uslove u grejnim sezonama nakon ugradnje uređaja kojima se vrši merenje predate toplotne energije;
TE0 - prosečna potrošnja toplotne energije u grejnim sezonama pre ugradnje uređaja kojima se vrši merenje predate toplotne energije (u kWh);
TEk - procenjena prosečna potrošnja toplotne energije u grejnim sezonama nakon ugradnje uređaja kojima se vrši merenje predate toplotne energije (u kWh);
SD0 - broj stepen dana pre ugradnje uređaja kojima se vrši merenje predate toplotne energije;
SDk - broj stepen dana nakon ugradnje uređaja kojima se vrši merenje predate toplotne energije (pretpostaviti iste vrednosti kao za SD0);
A - površina stanova (u m2).
Nakon izračunavanja ukupne koristi uz poznavanje investicionog troška, može se izračunati pokazatelj K/T koji se definiše kao
K/T = |
ukupna korist |
||
investicioni trošak |
Za potpunu ocenu isplativosti investicije potrebno je odrediti i "internu stopu prinosa" (IRR). Za potrebe određivanja ove stope koriste se posebni programi ili se do nje može doći iterativnim postupkom, pretpostavljanjem vrednosti za "neto sadašnju vrednost" jednaku nuli, pri čemu se koristi gore navedena formula uz uslov da je NSV jednako nuli.
Da bi investicija bila isplativa potrebno je da je neto sadašnja vrednost investicije (NSV) veća od nule, da je pokazatelj K/T veći od 1,5 i da je faktor interne stope prinosa (IRR) veći od diskontne stope. Ako pomenuti pokazatelji imaju drukčije vrednosti ali bliske navedenim, potrebno je uraditi dodatne analize osetljivosti.
Potrebni elementi za analizu troškovne opravdanosti ugradnje uređaja za merenje predate toplotne energije delovima zgrade, sa predlogom izvora podataka, dati su u sledećoj tabeli.
Pregled izvora podataka koji se predlažu, promenljivih, primenjenih metodologija i pretpostavki
Karakteristika |
Opis i preporučeni izvor podataka |
Cena toplotne energije |
Zvanični cenovnik preduzeća ovlašćenog za distribuciju toplotne energije iz sistema daljinskog grejanja. Cene se razlikuju u pojedinim opštinama i gradovima u zavisnosti od tehnoloških aspekata i vrsta goriva koje se koriste u proizvodnji toplotne energije. |
Potrošnja toplotne energije |
Ukupnu potrošnju zgrade ili grupe zgrada koje se toplotnom energijom snabdevaju iz jedne toplotno predajne stanice obezbeđuje ovlašćeni distributer toplotne energije. |
Cena uređaja i opreme |
Analiza se zasniva na tržišnim cenama uređaja i opreme u trenutku izrade. |
Operativni troškovi |
Operativne troškove određuju preduzeća koja pružaju uslugu očitavanja uređaja kojima se vrši merenje predate toplotne energije, kao i obračun na osnovu očitane vrednosti stvarne potrošnje. |
Karakteristike zgrade |
Vrednosti se uzimaju na osnovu istorijskih podataka o potrošnji zgrade koju daje preduzeće za distribuciju toplotne energije ili iz tehničke dokumentacije zgrade. |
Spoljašnje temperature |
Vrednosti koje objavljuje Republički hidrometeorološki zavod Srbije |
Podatak o broju stepen dana |
Informacioni sistem ISEM kojim upravlja ministarstvo nadležno za poslove energetike |
Metodologija |
|
Ušteda energije |
Specifična potrošnja toplotne energije korigovana u skladu sa vremenskim uslovima pre i posle ugradnje uređaja za merenje toplotne energije |
Isplativost |
Neto sadašnja vrednost |
Pretpostavke |
|
Potrošnja toplotne energije nakon ugradnje uređaja za merenje toplotne energije |
Procenjena vrednost na bazi podataka o potrošnji na nivou zgrade i prosečnim temperaturama u stanovima pre ugradnje uređaja za merenje toplotne energije |
Vrednost investicije |
Tržišne cene u trenutku izrade analize |
Životni vek uređaja za merenje toplotne energije i opreme |
15 godina |
Preporučena diskontna stopa |
6-10% |
Relativne cene toplotne energije |
Konstanta u osnovnom scenariju; pretpostaviti godišnju stopu rasta relativnih cena toplotne energije u analizi osetljivosti |
Postupak utvrđivanja tehničke izvodljivosti i troškovne opravdanosti pokreće vlasnik zgrade, odnosno organ upravljanja stambenom zajednicom. Analize se ponavlja ako dođe do promene glavnih uticajnih parametara (značajno povećanje cena toplotne energije, promena termičkih karakteristika zgrade i sl.). Ako takvih značajnih promena nema, analizu treba ponoviti nakon pet godina.
Bilo kakve promene na zgradi mogu značajno uticati na rezultate analize. Na primer, ako se poboljša izolacija, koristi od uvođenja merenja utrošene toplotne energije po delovima zgrade biće smanjene. Ako se planira energetska sanacija zgrade, preporučuje se da se procena troškovne isplativosti uradi nakon izvođenja radova, sa novim polaznim podacima. U tom slučaju promena ponašanja korisnika ključni je faktor koji utiče na potencijalne uštede.
Preporučuje se da se analiza za zgradu ponovi svaki put kada se vrši zamena merila toplotne energije koji se lokalno očitavaju, odnosno neposredno pre povećanja troškova sistema za merenje potrošnje toplotne energije. Tada u analizi treba koristiti realne troškove iz prethodnog perioda primene merenja i raspodele troškova na delove zgrade odnosno krajnjeg kupca.
Većina uređaja za merenje toplotne energije ne može da se ugradi ako se grejanje ne obezbeđuje toplom vodom i cevnim razvodom. Ugradnja uređaja kod sistema grejanja toplim vazduhom ili parom ne smatra se tehnički izvodljivom. Prema standardnima, za uređaje za merenje toplotne energije potrebna je određena dužina ravne cevi na odgovarajućem mestu za montažu a može biti ograničen i ugao pod kojim se postavljaju.
Pretpostavlja se da će smanjenje potrošnje toplotne energije proisteći iz promena u ponašanju stanara zgrade i/ili drugih korisnika. Promena ponašanja će se dogoditi ako korisnici imaju mogućnost da upravljaju unutrašnjom temperaturom. Suprotno tome, postoje stanovi opremljeni mehaničkom ventilacijom kod kojih se prozori ne mogu ostvariti, i/ili su sobne temperature postavljene na istu vrednost, tako da korisnici ne mogu da utiču na uštede energije, tj. na smanjenje ventilacije ili temperature. U nekim slučajevima moguća je delimična kontrola temperature ali je dugoročno neefikasna, na primer u slučaju hotelskih soba ili bolnica, domova za stara lica i sl. Nakon uvođenja merenja u stambene delove zgrade, krajnji kupci moraju imati određeni minimalni nivo mogućnosti da upravljaju temperaturom i/ili ventilacijom, da bi promenom ponašanja mogli da ostvare potencijalne uštede. Ako nemaju tu mogućnost, uvođenje raspodele troškova na osnovu potrošnje imaće za posledicu manje uštede.
Nedostatak mogućnosti individualnog upravljanja unutrašnjom temperaturom narušava isplativost uvođenja merenja. Na primer, ugradnja uređaja za merenje toplotne energije bez ugradnje instrumenta za upravljanje (termostatski regulacioni ventil) neće imati za posledicu smanjenje potrošnje toplotne energije nego će samo izazvati dodatne troškove.
Generalno posmatrano, tehnički nije izvodljivo primeniti merenja toplotne energiju u sledećim zgradama:
- hoteli i sličan smeštaj u kojima se većina prostorija zauzima na kratak rok i gde bilo kakvo regulisanje temperature od strane stanara utiče na toplotu uskladištenu u prostoriji, a samim tim i na količinu grejanja koja je potrebna sledećem korisniku;
- bolnice ili druge zgrade slične namene u kojima lica koja borave nemaju mogućnost da promene podešavanje temperature ili ventilaciju kako bi ostvarili željeni nivo udobnosti;
- zgrade sa izmenjivačima toplote koji greju više od jedne prostorije, npr. Ako uređaj za podno grejanje kroz plafon isporučuje veću toplotu prostoriji koja se nalazi ispod plafona;
- zgrade koje imaju centralno upravljanje temperaturom (npr. u toplotnim predajnim stanicama), u kojima stanari nemaju mogućnost upravljanja temperaturom i ne postoje termostatski ventili na radijatorima;
- zgrade sa posebnim sistemima mehaničke ventilacije u kojima stanari ne mogu da provetravaju stanove tako što propuštaju spoljašnji vazduh, npr. otvaranjem prozora, u kojima se ventilacija vrši kanalima koji imaju mogućnost za razmenu toplote sa izlaznim vazduhom.
Konkurentne cene potrebne za analize, posebno za uslugu ugradnje uređaja za merenje i termostatskih regulacionih ventila, imaju tendenciju da variraju tokom vremena u zavisnosti od lokacije, dobavljača opreme, veličine zgrade i slično. Realne cene se mogu dobiti kada se dobiju konkretne ponude ovlašćenih preduzeća.
Ponašanje korisnika ima presudnu ulogu u proceni potencijalnih ušteda. Tamo gde stanari ili drugi korisnici zgrade mogu da upravljaju grejanjem u pojedinačnim prostorijama, očekuje se da raspodela troškova grejanja na osnovu potrošnje, ako postoje ekonomski podsticaji (mogućnost ostvarivanja ušteda), dovede do promena ponašanja koje će uticati na:
- snižavanje nivoa temperature u nastanjenim prostorijama,
- lokalno ograničenje grejanja, snižavanje nivoa temperature u prostorijama koje se ne koriste,
- vremensko ograničenje grejanja, npr. zatvaranje ventila noću ili tokom praznika, ili za vreme dužeg odsustva iz stana.
Sva tri tipa promene ponašanja korisnika doprinose smanjenju prosečne temperature u zgradi i većim uštedama energije. Takođe, povećanje ostvarenih uštede može se postići davanjem češćih informacija krajnjim kupcima (npr. mesečno izveštavanje) o potrošnji energije i pripadajućim troškovima.
Uvođenje merenja toplotne energije koja se predaje delovima zgrade omogućava da se troškovi korišćenja toplotne energije određuju na osnovu ostvarene potrošnje, što je ključno za postizanje značajnih ušteda energije, ali i za pravedniju raspodelu troškova na krajnje kupce.
METODOLOŠKI OKVIR
ODREĐIVANJA TEHNIČKE IZVODLJIVOSTI I TROŠKOVNE OPRAVDANOSTI UGRADNJE DELITELJA TOPLOTE NA SVAKOM GREJNOM TELU
Ovaj prilog postavlja metodološki okvir koji se može koristiti za procenu da li je određena mera kao što je ugradnja delitelja toplote na svakom grejnom telu, tehnički izvodljiva i ekonomski opravdana za predmetnu zgradu.
Metoda koja je utvrđena u ovom prilogu usklađen je sa savremenom standardnom praksom i koristi kriterijum neto sadašnje vrednosti. Troškovna opravdanost ugradnje postoji ako neto sadašnja vrednost jednokratnih i godišnjih troškova investicije nije veća od neto sadašnje vrednosti zbira godišnjih koristi od ušteda koje se ostvaruju. Da bi se uštede ostvarile potrebno je da sva grejna tela u zgradi budu opremljena uređajima za regulaciju predate količine toplotne energije (termostatski regulacioni ventil).
Pritom, korisnici mogu da ostvare prednosti kao što je manji račun za toplotnu energiju tokom životnog veka delitelja toplote, kao rezultat odgovornog ponašanja, na osnovu ostvarene manje potrošnje energije. Na godišnjem nivou, neto koristi za potrošače definišu se kao razlika između uštede energije i godišnjih operativnih troškova u koje spadaju troškovi očitavanja i održavanja opreme.
Za potrebe diskontovanja na neto sadašnju vrednost koriste se odgovarajući diskontni faktori. Procena troškovne opravdanosti zavisi od početnih specifičnih energetskih zahteva, cene opreme i cene toplotne energije.
Troškovi investicije mogu varirati u zavisnosti od karakteristika zgrade. Cene toplotne energije u sistemima daljinskog grejanja u nadležnosti su lokalnih samouprava odnosno grada Beograda i znatno se razlikuju, što utiče na procene troškovne opravdanosti.
Troškovi ugradnje delitelja toplote zavise od broja grejnih tela ("radijatora") i mogu se utvrditi za svaki deo zgrade (pojedinačni stan). Ukupna ulaganja za zgradu dodatno uključuju centralne i/ili spratne procesorske jedinice za daljinsko očitavanje uređaja, ako je predviđena njihova ugradnja.
Troškovi investicije za ugradnju delitelja toplote za tipsku zgradu, ako se ugrađuju elektronski delitelji toplote koji se najčešće koristi i zadovoljavaju važeće tehničke propise, obuhvataju troškove noseće ploče i pribora - set za jedno grejno telo (radijator). Programiranje i testiranje uređaja najčešće je uključeno u cenu. U troškove cene centralne procesorske jedinice za očitavanje impulsa spadaju i troškovi ugradnje i programiranja.
Savremeni elektronski delitelj toplote je opremljen sa dva temperaturna senzora i meri temperaturna razliku između određene tačke na površini grejnih tela i okolnog unutrašnjeg vazduha u prostoriji. Delitelj toplote ne određuje toplotu, već udeo svakog grejnog tela u ukupnoj potrošnji toplote.
Proračunski modul delitelja toplote koristi specifičan algoritam i izračunava broj jedinica za dodelu impulsa za jedno grejno telo. Delitelji toplote se ne mogu ugrađivati u sistemima sa skriveno vođenom cevnom mrežom, na grejnim telima bez ventila (cevni registri), u slučaju podnog i panelnog grejanje i u sistemima grejanja sa prinudnom cirkulacijom vazduha.
Preporučuje se korišćenje delitelja toplote pod tehničkim uslovima koji su opisani u tehničkim standardima i/ili tehničkoj dokumentaciji koju je obezbedio proizvođač uređaja u hidrauličnim balansiranim sistemima grejanja sa pravilno odabranom temperaturom grejnog medijuma, što omogućava održavanje minimalnog protoka grejnog medijuma u svakom krugu.
Tamo gde su ugrađeni delitelji toplote, potrebno je obezbediti njihov nesmetan rad, pravilno održavanje u skladu sa tehničkim propisima, kao i periodično proveravanje ispravnost rada uređaja.
Ugradnja delitelja toplote je troškovno opravdana ako je neto sadašnja vrednost pretpostavljenih ušteda energije krajnjih kupaca u zgradi u periodu od deset godina nakon ugradnje veća od neto sadašnje vrednosti procenjenih opravdanih troškova ugradnje delitelja toplote na svakom grejnom telu i termostatskih regulacionih ventila na svakom radijatoru, ukoliko prethodno nisu ugrađeni, u toj zgradi.
Elementi koje treba uzeti u obzir prilikom procene troškova ugradnje delitelja toplote i termostatskih regulacionih ventila su investicioni troškovi opreme i uređaja, troškovi njihove ugradnje, operativni troškovi rada i održavanja delitelja toplote i termostatskih regulacionih ventila, pri čemu treba uzeti u obzir:
1) troškove pristupa privatnom stanu ili zajedničkim prostorijama, uključujući i eventualne administrativne troškove;
2) troškove pristupa kućnoj grejnoj instalaciji;
3) troškove vraćanja građevinskih delova i drugog sadržaja u prvobitno stanje;
4) troškove ugradnje termostatskih regulacionih ventila;
5) opciono troškove ugradnje ventila na povratnom vodu iz radijatora prema vertikali;
6) troškove opreme i softvera za prikupljanje podataka sa delitelja toplote koji će biti osnov za obračun i fakturisanje;
7) troškove izdavanja računa i informacija o naplati;
8) troškove periodične zamene delitelja toplote u skladu sa tehničkim propisima.
Smatra se da je tehnički izvodljiva ugradnja delitelja toplote u zgradi koja se pretežno sastoji od stambenih jedinica, osim u sledećim slučajevima:
1) sistem grejanja je bez radijatora ili drugih izmenjivača toplote za prostorije, na koju se uređaj može montirati;
2) projektovane površinske temperature radijatora ili drugih izmenjivača toplote premašuju radni opseg uređaja, i
3) toplotna snaga radijatora ili drugog izmenjivača toplote za prostorije ne može se pouzdano odrediti jer, na primer, postoje pokretni otvori za kontrolu protoka toplote ili druge promenljive prepreke protoku vazduha preko izmenjivača toplote.
U smislu ovog priloga, period od deset godina nakon ugradnje počinje da teče danom nakon završetka ugradnje svih delitelja toplote u zgradi.
Potrebno je pre ugradnje prikupiti informacije o troškovima energije po delovima zgrade i o mogućnostima racionalnijeg ponašanja kojim se mogu ostvariti uštede energije.
Vek trajanja opreme za delitelje toplote određen je na deset godina. Nakon isteka tog perioda nema preostale vrednosti investicije. Za finansijsku isplativost ugradnje delitelja toplote, metodološki pristup koristi sledeću standardnu formulu za izračunavanje neto sadašnje vrednosti, odnosno ukupne koristi:

gde je:
NSV - neto sadašnja vrednost investicije (RSD);
R0 - početna investicija u periodu kada je delitelj toplote ugrađen (RSD);
Rt - godišnja neto ušteda koja predstavlja zbir troškova uštede energije umanjen za godišnje operativne troškove, tj. troškove usluga očitavanja uređaja, fakturisanja i održavanja (RSD);
t - vek trajanja delitelja toplote i pripadajuće opreme je deset godina (t=1 do t=10);
Ut(%) - procenjena prosečna godišnja ušteda energije nakon ugradnje delitelja toplote (RSD);
PRa - referentni godišnji trošak za toplotnu energiju pre ugradnje delitelja toplote (RSD);
GOt - godišnji operativni troškovi (RSD);
i - diskontna stopa, najčešće se koristi vrednost 6-10%.
Osnovni scenario primenjuje pretpostavku o konstantnim relativnim cenama energije tokom čitavog životnog veka delitelja toplote.
Pored osnovnog scenarija, mogu se primeniti dva dodatna scenarija sa ciljem sprovođenja analize osetljivosti na potencijalnu varijaciju dva najvažnija faktora:
- pretpostavka da će relativne cene toplotne energije rasti po određenoj godišnjoj stopi;
- primena različite diskontne stope koja se koristi u osnovnom scenariju.
Dodatno, analiza može biti proširena na procenu neto sadašnje vrednosti za različite kombinacije koje se odnose na početne energetske potrebe i različite mogućnosti ušteda koje se postižu nakon ugradnje delitelja toplote.
Eliminacija uticaja faktora različitih vremenskih uslova na efekte ugradnje delitelja toplote vrši se normalizovanjem energije potrebne za grejanje zgrade korišćenjem "broja stepen dana" (SD), u skladu sa propisanom metodologije za proračun broja stepen dana grejanja i broja stepen dana hlađenja.
Da bi se izračunale potencijalne uštede, potrebno je pribaviti podatak o prosečnoj temperaturi u prostorijama/stanu i proceniti uštedu energije ako se pomoću uređaja za regulaciju temperature (termostatskog radijatorskog ventila) koji je neophodan za ostvarivanje ušteda, temperatura svede u granice od oko 20 °C. Ako je zgrada takva da je prosečna temperatura u njoj veća od ove vrednosti (20 °C), investicija je neisplativa. U slučaju temperatura viših od 20 °C i značajno viših u prelaznim periodima, potrebno je izračunati troškovnu opravdanost ugradnje putem sledeće formule:

gde je:
U(%) - procenjena prosečna godišnja ušteda energije nakon ugradnje delitelja toplote;
UT0 - sadašnja prosečna potrošnja toplotne energije po m2 korigovana za vremenske uslove u grejnim sezonama (pre ugradnje delitelja toplote);
UTk - procenjena prosečna potrošnja toplotne energije po m2 korigovana za vremenske uslove u grejnim sezonama nakon ugradnje delitelja toplote;
TE0 - prosečna potrošnja toplotne energije u grejnim sezonama pre ugradnje delitelja toplote (u kWh);
TEk - procenjena prosečna potrošnja toplotne energije u grejnim sezonama nakon ugradnje delitelja toplote (u kWh);
SD0 - broj stepen dana pre ugradnje delitelja toplote;
SDk - broj stepen dana nakon ugradnje delitelja toplote;
A - površina stanova (u m2).
Nakon izračunavanja ukupne koristi i uz poznavanje investicionog troška, može se izračunati pokazatelj K/T koji se definiše kao:
K/T = |
ukupna korist |
||
investicioni trošak |
Za potpuni ocenu isplativosti investicije potrebno je odrediti i "internu stopu prinosa" (IRR). Za potrebe određivanja ove stope koriste se posebni programi ili se do nje može doći iterativnim postupkom pretpostavljanjem vrednosti za "neto sadašnju vrednost" jednaku nuli, pri čemu se koristi gore navedena formula uz uslov da je NSV jednako nuli. Drugim rečima, traži se onaj vremenski trenutak kada (diskontovana) ukupna korist dostiže vrednost investicionog troška.
Da bi investicija bila troškovno isplativa potrebno je da neto sadašnja vrednost investicije (NSV) bude veća od nule, da je pokazatelj K/T veći od 1,5 i da je faktor interne stope prinosa (IRR) veći od diskontne stope. Ako pomenuti pokazatelji imaju drukčije vrednosti ali bliske navedenim, potrebno je uraditi dodatne analize osetljivosti.
Potrebni elementi za sprovođenje analize ekonomske isplativosti ugradnje delitelja toplote sa predlogom izvora podataka dati su u sledećoj tabeli.
Pregled izvora podataka koji se predlažu, promenljivih, primenjenih metodologija i pretpostavki
Karakteristika |
Opis i preporučeni izvor podataka |
Cena toplotne energije |
Zvanični cenovnik preduzeća ovlašćenog za distribuciju toplotne energije iz sistema daljinskog grejanja. Cene se razlikuju u pojedinim gradovima u zavisnosti od tehnoloških aspekata i vrsta goriva koje se koriste u proizvodnji toplotne energije. |
Potrošnja toplotne energije |
Potrošnju zgrade ili grupe zgrada koja se toplotnom energijom snabdevaju iz jedne toplotno predajne stanice obezbeđuje ovlašćeni distributer toplotne energije. |
Cena opreme |
Analiza se zasniva na tržišnim cenama opreme u trenutku izrade. |
Operativni troškovi |
Operativne troškove određuju preduzeća koja pružaju uslugu očitavanja delitelja toplote, na osnovu očitane vrednosti stvarne potrošnje. |
Karakteristike zgrade |
Vrednosti se uzimaju na osnovu istorijskih podataka o potrošnji zgrade koju daje preduzeće za distribuciju toplotne energije ili iz tehničke dokumentacije zgrade. |
Spoljašnje temperature |
Vrednosti koje objavljuje Republički hidrometeorološki zavod Srbije. |
Podatak o broju stepen dana |
Informacioni sistem ISEM kojim upravlja ministarstvo nadležno za poslove energetike. |
Metodologija |
|
Ušteda energije |
Specifična potrošnja toplotne energije korigovana za vremenske uslove pre i posle ugradnje delitelja toplote. |
Isplativost |
Neto sadašnja vrednost |
Pretpostavke |
|
Potrošnja toplotne energije nakon ugradnje delitelja toplote |
Procenjena vrednost na bazi podataka o potrošnji na nivou zgrade i prosečnim temperaturama u stanovima pre ugradnje delitelja toplote. |
Vrednost investicije |
Tržišne cene u trenutku izrade analize |
Životni vek delitelja toplote i opreme |
10 godina |
Preporučena diskontna stopa |
6-10% |
Relativne cene toplotne energije |
Konstanta u osnovnom scenariju; pretpostaviti godišnju stopu rasta relativnih cena toplotne energije u analizi osetljivosti. |
Troškovi ugradnje delitelja toplote mogu se značajno razlikovati usled različitih tehničkih karakteristika zgrade / stanova. Dosadašnja praksa je pokazala da ugradnja delitelja toplote bez prethodnog postojanja ili istovremene ugradnje uređaja za regulaciju predate toplote svakom grejnom telu (termostatski regulacioni ventili) nema smisla, jer ne postoji mogućnost regulacije unutrašnje temperature, a time ni količine preuzete energije, odnosno ostvarivanja ušteda.
Najuticajniji faktor koji utiče na visinu investicionih troškova u zgradi vezan je za tehničke karakteristike: veličinu zgrade i pojedinačnih stanova, unutrašnjeg sistema grejanja, broj grejnih jedinica po stanu i drugo.
Visoka početna specifična potrošnja toplotne energije daje pozitivnu neto sadašnju vrednost, pa je ugradnja delitelja toplote opravdana i za postizanje umerenih ušteda energije. Niska početna specifična potrošnja postiže pozitivnu neto sadašnju vrednost samo ako će se ostvariti izuzetno visoke uštede energije. Stvarna potrošnja energije zavisi od niza faktora: karakteristika stana (veličina, izolacija), položaja stana u zgradi (geografska orijentacija, unutrašnja lokacija stana), ponašanja korisnika i dr.
Pri izradi analiza osetljivosti primena nižeg diskontnog faktora ili pretpostavljeno povećanje relativnih cena toplotne energije pozitivno utiče na procenu troškovne opravdanosti ugradnje delitelja toplote. Rezultati su osetljivi na potencijalni rast cena toplotne energije.
Prilikom određivanja troškova investicije ugradnje delitelja toplote i termostatskih regulacionih ventila, ako prethodno nisu ugrađeni, sa pripadajućim sistemima u postojećim objektima, postoji određeni rizik od skrivenih troškova, naročito ako su grejne instalacije u dugotrajnoj, možda i višedecenijskoj upotrebi. Rizik za povećanje troškova predstavljaju mogući dodatni radovi na prepravci priključaka pri ugradnji termostatskih regulacionih ventila usled oštećenja prilikom demontaže starih ventila ili usled dotrajalosti cevi. Pored toga, u zgradama sa velikim brojem stanova, često ima stanova bez stanara, ili neki stanari odbijaju svaki vid saradnje.
Preporučuje se da se analiza za zgradu ponovi svaki put kada se priprema zamena delitelja toplote koji se lokalno očitavaju, ili pre bilo kakvih većih ulaganja u sisteme za merenje potrošnje toplotne energije. Tada u analizi treba koristiti realne troškove iz prethodnog perioda primene merenja i raspodele troškova na delove zgrade odnosno krajnje kupce.
Da bi raspodela troškova za grejanje na osnovu potrošnje putem delitelja toplote bila tehnički izvodljiva potrebno je da se energija za grejanje distribuira u zgradi pomoću tople vode (a ne pomoću vazduha ili vodene pare). U zgradama koje koriste topli vazduh ili paru za prenos energije za grejanje tehnički nije izvodljiva ugradnja delitelja toplote. Isto važi i u slučaju kada se može očekivati da delitelji toplote ne mere pouzdano toplotni tok, npr. kada su izmenjivači toplote ugrađeni u plafon prostorije pa zagrevaju i pod prostorije koja se nalazi ispod plafona, ili u zidove zgrada sa sličnim efektom, kao i u slučajevima podnog i panelnog grejanja.
Konkurentne cene potrebne za analize, naročito za usluge ugradnje delitelja toplote i termostatskih regulacionih ventila, imaju tendenciju da variraju tokom vremena i u zavisnosti od lokacije, dobavljača opreme, veličine zgrade i slično. Realne cene se mogu dobiti kada se dobiju konkretne ponude ovlašćenih preduzeća.
Uvođenje raspodele potrošnje pomoću delitelja toplote u zgradi omogućava da se troškovi korišćenja toplotne energije određuju na osnovu ostvarene potrošnje, što je ključno za postizanje značajnih ušteda energije, ali i za pravedniju raspodelu troškova na krajnje kupce.









