PRAVILNIK O TEHNIČKIM NORMATIVIMA ZA BETON I ARMIRANI BETON SPRAVLJEN SA PRIRODNOM I VEŠTAČKOM LAKOAGREGATNOM ISPUNOM("Sl. list SFRJ", br. 15/90) |
Ovim pravilnikom propisuju se tehnički normativi koji moraju biti ispunjeni pri projektovanju, izvođenju i održavanju elemenata i konstrukcija od betona i armiranog betona spravljenih sa lakom agregatnom ispunom (u daljem tekstu: LAB i ALAB).
Pod LAB i ALAB, u smislu ovog pravilnika, podrazumevaju se betoni čija je zapreminska masa manja od 1.900 kg/m3, a spravljaju se od lake porozne ispune, sa potpunim ili delimičnim korišćenjem kvarcnog peska kao sitne ispune, sa hidrauličnim vezivom i vodom i aditivom u posebnim okolnostima. Povećanje zapreminske mase od 2.100 kg/m3 prihvata se samo radi poboljšanja mehaničkih karakteristika.
Odredbe ovog pravilnika primenjuju se i na specijalne vrste LAB i ALAB - za hidrotehničke i kolovozne konstrukcije i slično, ako nije drukčije propisano, kao i na monolitne i prefabrikovane elemente i konstrukcije, a posle potrebnih odgovarajućih laboratorijskih ispitivanja.
Kao agregat mogu se koristiti:
1) prirodni materijali (krečnjački i vulkanski tufovi, lava, prirodno pečena glina);
2) prirodni materijali termički tretirani (perlit, vermikulit, ekspandirana glina - EG, ekspandirani škriljac, sinterovana glina i vatrostalne opeke i dr);
3) industrijski neprerađeni i prerađeni otpaci (drobljena i granulisana zgura iz visokih peći, elektrofiltarski pepeo, kotlovska zgura, opekarski sitnež i dr.);
4) organski materijali (granule sintetičkih materijala, ostaci od prerade drveta i žitarica i sl.).
Odredbe ovog pravilnika ne odnose se na elemente i konstrukcije od LAB i ALAB koji su u eksploataciji izloženi temperaturi višoj od 120°C.
Sigurnost i stabilnost elemenata i konstrukcije od betona u celini mogu se utvrditi i na osnovu teorijskih ili eksperimentalnih dokaza, zasnovanih na naučnim dostignućima, ako se time obezbeđuje sigurnost utvrđena ovim pravilnikom.
Projektna dokumentacija za elemente i konstrukcije od LAB i ALAB mora da sadrži: podatke o lakoagregatnoj ispuni u okviru tehničkog izveštaja, statički proračun, planove za izvođenje, tehničke uslove za izvođenje radova sa postupkom ocene i kontrole kvaliteta i projekt osmatranja i održavanja.
Pre spravljanja i ugrađivanja betona u elemente i konstrukcije od betona i armiranog betona mora se izvršiti laboratorijska kontrola agregata i izraditi projekt betona.
Za složene konstrukcije, projektna dokumentacija iz stava 1. ovog člana mora da sadrži izveštaj o detaljnom ispitivanju agregata i projekt skele, a za montažne konstrukcije i projekt montaže.
Navedene oznake, u smislu ovog pravilnika, imaju sledeća značenja:
1) velika slova:
M - moment savijanja;
T - transverzala sila;
N - normalna sila;
S - uticaj;
E - modul elastičnosti;
MB - marka betona;
Č - čelik;
A - površina preseka;
O - obim poprečnog preseka;
D - prečnik;
B - beton;
J - moment inercije;
2) mala slova:
a - odstojanje težišta zategnute armature od ivice preseka;
a' - odstojanje težišta pritisnute armature od ivice preseka;
ao - najmanji zaštitni sloj betona do armature;
b - manja strana pravougaonog preseka;
d - ukupna visina preseka
- debljina ploče;
e - ekscentricitet
- elastična deformacija;
eu - razmak uzengija;
f - čvrstoća:
- fa - čvrstoća čelika pri kidanju;
- fb - čvrstoća betona pri pritisku;
- fbz - čvrstoća betona pri zatezanju;
- fB - računska čvrstoća betona;
- fk - čvrstoća kocke;
- fbc - čvrstoća cilindra;
g - stalno opterećenje;
h - statička visina preseka;
i - poluprečnik inercije;
l - dužina
li - dužina izvijanja;
p - korisno podeljeno opterećenje;
sn - procenjena standardna devijacija;
v - deformacija - ugib;
z - krak unutrašnjih sila;
x - odstojanje neutralne linije od krajnje pritisnute ivice preseka;
3) grčka slova kao oznake:
α - ugao;
αT - koeficijent termičke dilatacije;
gui - parcijalni koeficijenti sigurnosti;
δ - izduženje pri kidanju;
Σ - dilatacija;
- Σa dilatacija čelika;
- Σb dilatacija betona;
λi - vitkost;
µ - koeficijent armiranja;
p - mehanički koeficijent armiranja;
σ - normalni napon; standardna devijacija
t - napon smicanja;
n - Poasonov koeficijent;
c - koeficijent starenja;
ρ - zapreminska masa;
4) slova kao indeksi:
T - oznaka za uticaj torzije; oznaka za uticaj temperature;
a - oznaka za armaturu;
b - oznaka za beton;
g - oznaka za stalno opterećenje;
i - izvijanje
- idealni (npr. Abi - idealni betonski presek);
k - oznaka za kocku;
z - oznaka za uzorak ispitan na zatezanje;
S - oznaka za skupljanje;
t - oznaka za vreme
- oznaka za tečenje betona;
u - oznaka za granicu tečenja (razvlačenja) čelika pri zatezanju;
q - oznaka za granicu tečenja (gnječenja) čelika pri pritisku;
u - oznaka za granični uticaj (na primer Mu, Nu).
Za spravljanje betona upotrebljavaju se agregati koji ispunjavaju uslove kvaliteta prema jugoslovenskim standardima JUS B.B2.010, JUS U.M4.023 i JUS U.M4.024, kao i drugi materijali iz člana 1. ovog pravilnika.
Projektom betona može se predvideti upotreba agregata koji, osim uslova iz stava 1. ovog člana, mora da ispunjava i posebne uslove.
Za izradu konstrukcijskih betona mogu se koristiti frakcije 0 do 4 mm prirodnog peska.
Prirodni, neseparisani agregat može se upotrebiti samo za nearmirani LAB termoizolacionog tipa do najviše MB 5, za ispune, tampon-slojeve ili slojeve izravnavanja i sl.
Granulometrijski sastav mešavine agregata mora biti takav da se njime obezbedi: projektovana zapreminska masa, čvrstoća, dovoljna obradljivost i potrebna zbijenost betona.
Granulometrijski sastav mešavine agregata utvrđuje se ispitivanjem i zavisi od propisanih uslova kvaliteta, načina i uslova transporta i ugrađivanja betona, kao i od drugih činilaca koji mogu uticati na kvalitet betona.
Granulometrijski sastav mešavine agregata, utvrđen na način iz stava 1. ovog člana, ne sme se menjati bez odgovarajućih dopunskih ispitivanja.
Za proizvodnju svih vrsta i klasa LAB i ALAB nije dozvoljena upotreba unapred određene standardne krive.
Procentualna zastupljenost frakcija, zbog raznorodnosti porozne ispune, koristi se samo kao početna pretpostavka pri izradi probnih mešavina.
Za spravljanje LAB sa EG postižu se veće pritisne čvrstoće korišćenjem frakcija do 16 mm, a bolja termoizolaciona svojstva - većom procentualnom zastupljenošću najkrupnije frakcije (22,4 mm i veće). Za betone spravljene sa zgurom visokih peći, efekat krupnoće zrna je suprotan.
Bez prethodnih ispitivanja, ali samo posle izvršenog laboratorijskog ispitivanja, mogu se koristiti samo mešavine za tampon-slojeve i termoizolacione betone, uz povećano procentualno učešće najkrupnije frakcije.
Najveće zrno agregata ne sme biti veće od jedne četvrtine najmanje mere preseka betonskog elementa (kod ploča do jedne trećine debljine ploče), niti veće od 1,25 najmanjeg čistog horizontalnog razmaka profila armature.
Za spravljanje betona upotrebljava se cement koji ispunjava uslove kvaliteta utvrđene jugoslovenskim standardima JUS B.C1.009, JUS B.C1.011, JUS B.C1.013 i JUS B.C1.014.
U projektu konstrukcije od LAB i ALAB može se predvideti upotreba specijalnog cementa koji, osim uslova iz stava 1. ovog člana, mora ispunjavati i uslove predviđene projektom konstrukcije.
Portland-cement sa dodatkom pucolana većim od 15% može se upotrebiti samo za izvođenje konstrukcija, odnosno delova konstrukcija od LAB i ALAB koje su stalno u vodi ili u tlu. Taj cement se može izuzetno upotrebiti i za druge konstrukcije od LAB i ALAB ako se prethodnim ispitivanjem betona dokaže da takav beton ispunjava uslove kvaliteta propisane ovim pravilnikom.
Po pravilu, koriste se portland-cementi viših klasa, sa manjom količinom cementa, a za konstrukcije i elemente koji se zaparuju i cementi sa dodatkom pucolana do 15%.
Za spravljanje betona upotrebljava se voda koja zadovoljava uslove utvrđene jugoslovenskim standardom JUS U.M.1.058.
Izuzetno od odredbe stava 1. ovog člana, obična voda za piće može se upotrebiti i bez dokaza o njenoj podobnosti za spravljanje betona.
Morska voda sme se upotrebiti samo za spravljanje LAB za nearmirane konstrukcije.
Upotrebljivost vode za spravljanje nearmiranog betona može se proveriti uporednim ispitivanjem vremena vezivanja i čvrstoće pri pritisku na uzorcima pripremljenim sa odgovarajućom vodom i destilisanom vodom, pri čemu razlike početka i završetka vezivanja ne smeju biti veće od 30 min, a razlike čvrstoće pri pritisku ne smeju biti veće od 10%.
Za spravljanje betona upotrebljavaju se dodaci betonu koji ispunjavaju uslove kvaliteta utvrđene jugoslovenskim standardom JUS U.M1.035.
Pre spravljanja betona sa upotrebom dodataka betonu mora se proveriti da li dodatak betonu odgovara projektovanoj nameni na način utvrđen jugoslovenskim standardom JUS U.M1.037, i to sa dodacima, cementom i agregatom koji će se upotrebiti pri betoniranju.
Dodaci se dodaju na kraju punjenja mešalice, sa poslednjom trećinom vode, da bi se izbeglo povlačenje aditiva kad suva porozna zrna naglo upiju vodu i time sprečilo smanjivanje ili gubljenje predviđenog efekta aditiva.
Prema tehnološko-tehničkoj podeli, zavisno od toga šta se prihvata kao osnovni parametar, urađena je klasifikacija betona, i to: tehnološka klasifikacija - prema sastavu, odnosno strukturi i tehnička klasifikacija - prema upotrebi.
Tehnološkom klasifikacijom predviđaju se dve osnovne grupe:
I - nekompaktni betoni:
- sa međuzonskom poroznošću;
- sa ograničenom međuzonskom poroznošću;
- sa maksimalnom međuzonskom poroznošću;
II - kompaktni betoni (puni betoni):
- mikrokompaktni betoni (nearisani betoni);
- makrokompaktni betoni (različiti stepen aeracije).
Kompaktni, puni betoni su vodonepropustljivi u različitom stepenu i otporni su prema dejstvu mraza, a mogu da budu nearmirani, armirani ili prethodno napregnuti.
Tehničkom klasifikacijom LAB i ALAB predviđaju se tri osnovne grupe i mogućnost ostvarenja četvrte grupe:
I - temroizolaciona;
II - konstrukcijsko-termoizolaciona;
III - konstrukcijska;
IV - konstrukcijska visokog stepena kompaktnosti, koja se može ostvariti pri povećanoj zapreminskoj masi i do 2.100 kg/m3.
Kvalitet betona određuje se projektom konstrukcije na osnovu tehničkih uslova za izvođenje betonskih radova, kao i uslova za tu konstrukciju i elemente u toku eksploatacije.
Projektom konstrukcije od LAB i ALAB, zavisno od statičkih, eksploatacionih, tehnoloških i drugih uslova, određuju se potrebna marka betona (MB) i druga svojstva betona koja uslovljavaju trajnost konstrukcije.
Čvrstoća betona određuje se markom betona (MB), a njegova trajnost obezbeđuje se posebnim svojstvima betona za određene uslove eksploatacije.
U projektnoj dokumentaciji mora se naznačiti klasa betona (grupa prema usvojenoj klasifikaciji) za dati element ili konstrukciju, koja obuhvata ili samo marku betona (MB) ili marku betona (MB) i druga svojstva betona iz člana 19. ovog pravilnika.
Čvrstoća betona pri pritisku ispituje se na kockama ivice 20 cm, prema propisima o jugoslovenskim standardima JUS U.M1.005 i JUS U.M 1.020, koje su čuvane u vodi ili u najmanje 95%-noj relativnoj vlazi pri temperaturi 20 ± 3°C.
Karakteristična čvrstoća pri pritisku je vrednost ispod koje se može očekivati najviše 10% svih čvrstoća pri pritisku ispitanog betona (10%-ni fraktil).
Marka betona je normirana čvrstoća pri pritisku u megapaskalima (MPa), koja se zasniva na karakterističnoj čvrstoći pri starosti betona od 28 dana i označava sa MB.
U projektu konstrukcije može se odrediti karakteristična čvrstoća betona pri pritisku, pri starosti koja može da bude veća ili manja od 28 dana.
Za elemente i konstrukcije od LAB upotrebljavaju se marke betona (MB) 5; 7,5; 10; 15; 20; 25; 30; 35; 40; 45; 50.
Za armirani laki beton ne sme se upotrebiti marka betona niža od 10. Mb 10 može se armirati profilima do 20 mm, a veće marke sa glatkom i rebrastom armaturom i do Ø 32 mm. Zaštitni sloj betona iznad armature povećava se za 5 do 10 mm u odnosu na sloj iznad armature kod normalnih betona.
Svojstva koja moraju imati pojedine grupe betona u posebnim uslovima sredine ispituju se prema sledećim propisima o jugoslovenskim standardima:
1) vodonepropustljivost - prema JUS U.M1.015;
2) otpornost prema habanju - prema JUS B.B8.015;
3) otpornost prema mrazu - prema JUS U.M1.016;
4) otpornost prema mrazu u solima - prema JUS U.M1.055.
Broj ciklusa i pritisak vode u kilopaskalima za pojedine grupe betona ne ocenjuju se prema kriterijumu u navedenim standardima. Na primer, otpornost prema mrazu ne normira se za grupu I, za grupu II je 10 do 35 ciklusa, za grupu III 15 do 100, za grupu IV do 200. Vodonepropustljivost se normira samo za grupu IV 202,65 kPa do 810,60 kPa.
Čvrstoća betona pri pritisku može se ispitati i na probnim telima drugih mera i oblika različitih od kocke ivice 20 cm i preračunava se prema tabeli 1 na čvrstoću kocke 20 cm.
Tabela 1
Odnosi čvrstoće pri pritisku probne kocke ivice 20 cm i betonskih tela drugog oblika i mera
Oblik ispitivanog tela |
Mere ispitivanog tela (u cm) |
Odnos čvrstoće pri pritisku kocke ivice 20 cm i ispitivanog tela |
Kocka |
10 × 10 × 10 |
0,90 |
|
15 × 15 × 15 |
0,95 |
|
20 × 20 × 20 |
1,00 |
|
30 × 30 × 30 |
1,08 |
Valjak |
10 × 20 |
1,17 |
|
15 × 30 |
1,20 |
|
20 × 40 |
1,26 |
|
10 × 10 |
1,02 |
|
15 × 15 |
1,05 |
|
20 × 20 |
1,10 |
Tehnička klasifikacija LAB i ALAB prikazana je u tabeli 2.
Tabela 2
Tehnička klasifikacija lakih betona
Karakteristike |
I |
II |
III |
IV |
Zapreminska masa u suvom stanju (u kg/m3) |
500 do 800 |
900 do 1.400 |
1.400 do 1.800 |
do 2.100 |
Čvrstoća pri pritisku MB (u MPa) |
5 |
5; 7,5; 10 |
10, 15, 20, 25, 30, 35 |
30, 35, 40, 45, 50 i veće |
Koeficijent toplotne provodljivosti (u W/mK) |
0,05 do 0,25 |
0,24 do 0,60 |
0,55 do 0,95 |
ne propisuje se |
Otpornost prema mrazu (broj ciklusa) |
ne propisuje se |
10 do 35 |
15, 25, 35, 50 i 100 |
25, 50, 100, 150 i više |
Vodonepropustljivost (pritisak vode, u kPa) |
ne propisuje se |
ne propisuje se |
ne propisuje se |
B-2, B-4, B-6, B-8 |
Min. utrošak cementa (u kg/m3) |
120 do 175 |
150 do 250 |
250 do 400 |
400 i više |
Struktura |
kompaktni aerirati monozrni |
kompaktni nekompaktni aerirani ćelijasti betoni sa poroznom ispunom |
kompaktni |
kompaktni |
Navedene karakteristike betona pretežno zavise od vrste ispuna. Najbolje se prilagođavaju LAB i ALAB spravljeni sa ispunom od ekspandirane gline (EG).
Za betone II i IV grupe obavezna su prethodna ispitivanja, u skladu sa članom 28. ovog pravilnika.
Konzistencija LAB je uslovljena prirodom lake porozne ispune koja može da bude više ili manje otvorene, odnosno zatvorene strukture. Merenje konzistencije neposredno zavisi i od vremena kad se obavlja, zbog procesa povlačenja vode iz cementne kaše, tako da je potrebno naglasiti kad je merenje izvršeno: neposredno po spravljanju betona ili posle transporta i pre ugrađivanja.
Sveža betonska masa može biti definisana kao rastresita, grudvasta do povezane i slabo tečna. Kao kriterijumi koriste se "mera zgušnjavanja" ili "mera rasprostiranja" - (JUS U.M8.050 i JUS U.M8.056 za sleganje vibriranjem, odnosno zgrušnjavanje).
U projektu betona, količine sastojaka betonske mešavine (agregat, cement, voda i dodaci) izračunavaju se u jedinicama mase i apsolutne zapremine, a konačni sastav betona - u kilogramima.
Konzistencija betona određuje se tako što je raspoloživim sredstvima za ugrađivanje omogućeno lako ugrađivanje do projektovane zapreminske mase kao osnovne Pretpostavke kvaliteta i dobra završna obrada površine.
Optimalni postupak punjenja mešalice pri spravljanju LAB sprovodi se sledećim redosledom: celokupna količina agregata, od krupnijeg ka sitnom, homogenizuje se u suvom stanju, dodaju se dve trećine predviđene količine vode i cementa, meša se i na kraju mešanja doda se poslednja trećina vode (sa aditivom, po potrebi). Postupak se predlaže kao najpovoljniji zbog toga što laka porozna ispuna povlači vodu već u toku spravljanja betona. Koriste se protivstrujne mešalice, a može se koristiti i tip sa nepokretnim lopaticama koje brazdaju mešavinu pri obrtanju bubnja. Mešalice za klasične betone ne koriste se, jer mogu da razbiju zrna agregata i poremete granulometrijski sastav.
Projektom usvojeni sastav betona može se menjati samo na osnovu statistički obrađenih podataka kontrolnih ispitivanja betona.
Najmanje količine cementa date su orijentaciono u članu 22. ovog pravilnika i tabeli 2, pod pretpostavkom da se koristi cement RS 35. Količina cementa klase 45 može se smanjiti do 5%, a količina cementa klase 25 (koji se ne preporučuje osim za grupu I, izuzetno), mora se povećati za 15 do 20%. Spravljanje betona može se odobriti samo posle izvršenih laboratorijskih ispitivanja.
Za sve grupe betona primenjuje se i postupak određivanja sastava betona prema članu 30. ovog pravilnika, radi obezbeđenja ne samo pravilnog izbora već i stalnosti kvaliteta.
Sastav betona grupa II do IV određuje se na osnovu prethodnih ispitivanja svežeg i očvrslog betona pripremljenog od predviđenih materijala za predviđene uslove građenja i namenu konstrukcije.
Za prethodna ispitivanja mogu se pripremiti mešavine u laboratoriji ili u fabrici betona. Ako su prethodna ispitivanja obavljena u laboratoriji, odabrani sastav mešavine mora se ponovo ispitati u fabrici betona.
Kriterijumi za izbor sastava betona utvrđuju se postupcima tehničke statistike određivanjem gornje i donje granice karakterističnih vrednosti projektovanih svojstava svežeg i očvrslog betona. Pri tom se uzima u obzir rasipanje rezultata ispitivanja u proizvodnji.
Ako se ne raspolaže statističkim podacima o rasipanju rezultata u proizvodnji, vrednosti rezultata prethodnih ispitivanja zahtevanih svojstava moraju se, u odnosu na projektovana svojstva, nalaziti u granicama navedenim u tabeli 3.
Tabela 3
Vrednosti rezultata prethodnih ispitivanja u odnosu na projektovana svojstva betona
Srednja čvrstoća pri pritisku |
fkm > MBpr + 8,0 (MPa) |
Otpornost prema mrazu |
Mmin > Mpr + 50 cikl |
Ukupna količina cementa i zrna agregata manjih od 0,25 mm neposredno zavisi od vrste i poroznosti lake porozne ispune, pa se određuje laboratorijski. Zbog dobre, olakšane ugradivosti, orijentaciono iznosi od 400 do 500 kg/m3 betona, što se konačno utvrđuje ispitivanjem.
Ako je beton izložen delovanju agresivne sredine, pri utvrđivanju njegovog sastava i projektovanju debljine zaštitnog sloja betona iznad armature, kao i pri njegovom negovanju, odnosno ugrađivanju, moraju se preduzeti odgovarajuće mere radi osiguranja trajnosti betona i armature u takvim sredinama.
Betoni izloženi delovanju mraza ili mraza i soli moraju se štititi aerisanjem, kojim se obezbeđuje 5 do 10% pora. Količina uvučenog vazduha ispituje se prema jugoslovenskom standardu JUS U.M1.031.
Ukupna količina hlorid-jona u armiranom betonu, u odnosu na količinu cementa, ne sme iznositi više od 0,4%.
Količina hlorid-jona u betonu sastoji se od zbira sadržaja hlorid-jona u cementu, u dodacima i u vodi. Ispituje se prema jugoslovenskim standardima JUS B.C8.020; JUS U.M1.039 i JUS U.M1.058.
Kontrola kvaliteta sastoji se od kontrole proizvodnje i kontrole usaglašenosti sa uslovima projekta konstrukcije i projekta betona.
Za betone grupa II do IV obavezna je kontrola usaglašenosti sa uslovima kvaliteta na mestu ugrađivanja i kontrola najmanje količine cementa određene u članu 22. tabela 2 ovog pravilnika.
Za beton grupe I obavezna je kontrola proizvodnje betona i kontrola usaglašenosti sa uslovima kvaliteta na mestu ugrađivanja.
Kontrolu proizvodnje vrše: proizvođač betona, do vremena predaje betona izvođaču betonskih radova, i izvođač betonskih radova, od vremena preuzimanja betona do završetka negovanja ugrađenog betona.
Proizvođač mora kontrolisati svaku grupu LAB po članu 36. ovog pravilnika.
Kontrolom kvaliteta betona, saglasno uslovima projekta konstrukcije, proverava se da li su za određenu partiju betona postignuti projektom propisane marke betona (MB) i druga zahtevana svojstva. Posle toga odlučuje se da li se ta partija betona prima ili odbija prema prethodno usvojenom kriterijumu za preuzimanje.
Partija betona je količina iste klase, grupe i vrste betona koja se priprema i ugrađuje pod jednakim uslovima, a odnosi se na beton ugrađen u iste elemente ili u više različitih konstrukcionih elemenata na objektu ili na količinu betona ugrađenog u elemente objekta u određenom periodu.
Veličina partije zavisi od ukupne količine betona iste vrste, od propisane učestalosti uzimanja uzoraka, od uslova pripreme i ugrađivanja betona i od predviđenog trajanja betonskih radova.
Veličina partije betona i broj slučajnih uzoraka uzetih u toj partiji određuje se projektom konstrukcije, odnosno programom kontrole betona, pri čemu jedna partija ne sme da se odnosi na period proizvodnje betona duži od 30 dana.
Broj uzoraka koji se odnosi na jednu partiju betona ne sme biti veći od 30.
Prilikom prijema svake pošiljke sastojaka za beton, proizvođač betona dužan je da vizuelno pregleda materijal i da evidentira dokumentaciju o prijemu materijala.
Sastojke betona ispituje proizvođač.
Granulometrijski sastav i kvalitet porozne ispune ispituju se najmanje jedanput nedeljno; za EG primenjuju se jugoslovenski standardi JUS U.M4.023 i JUS U.M4.024.
Vlažnost agregata betona ispituje se najmanje jedanput nedeljno i prilikom svake uočljive promene.
Uzorci za ispitivanje frakcija agregata betona uzimaju se po završetku transporta.
Programom ispitivanja frakcija agregata mogu se predvideti veća učestalost i širi obim ispitivanja laške porozne ispune (upijanje vode, oblik zrna i sl.).
Standardna konzistencija, početak i kraj vezivanja i stalnost zapremine cementa ispituju se prema jugoslovenskom standardu JUS B.C1.023.
Uzorci cementa ispituju se prilikom svake dnevne isporuke cementa iste vrste ili klase ili ako je cement odležao više od tri meseca.
Jedno ispitivanje može se obaviti na najviše 250 t dopremljenog, odnosno upotrebljenog cementa.
Pri ispitivanju cementa proizvođač mora da odvoji poseban uzorak cementa i da ga čuva prema jugoslovenskom standardu JUS B.C1.012 u trajanju od šest meseci, s tim što se u projektu konstrukcije može predvideti čuvanje uzorka cementa do primopredaje objekta.
Ako se ispitivanjem utvrdi da cement ne ispunjava zahteve kvaliteta iz odredaba ovog člana, upotreba takvog cementa obustavlja se i vrši potpuno ispitivanje svih fizičko-mehaničkih i hemijskih svojstava cementa na posebnom uzorku.
Dodaci betonu ispituju se prema jugoslovenskom standardu JUS U.M1.037 za svaku šaržu prilikom dopreme dodataka betonu na gradilište ili ako je vreme odležavanja dodataka betonu na gradilištu duže od šest meseci.
Rezultati ispitivanja sastojaka betona evidentiraju se u dokumentaciji o ispitivanju.
Konzistenciju svežeg betona LAB proizvođač betona ispituje na početku proizvodnje betona, u smislu člana 22. ovog pravilnika (prema jugoslovenskim standardima JUS U.M8.052, JUS U.M8.056), pri izradi betonskih tela za ispitivanje svojstava očvrslog betona ili najmanje jednom u toku radne smene.
Ispitivanje konzistencije svežeg betona mora se uraditi na mestu ugrađivanja betona radi korekcije vremena ugrađivanja za obezbeđenje zadate zapreminske mase betona.
Ako je to određeno projektom konstrukcije ili programom ispitivanja, količina pora u aeriranom svežem betonu svake vrste betona ispituje se prema jugoslovenskom standardu JUS U.M1.031, a prilikom betoniranja u posebnim uslovima, temperatura svežeg betona ispituje se prema jugoslovenskom standardu JUS U.M1.032.
U proizvodnji betona grupe II do IV proizvođač ispituje čvrstoću pri pritisku na uzorku koji se uzima za svaku vrstu betona, i to svaki dan kad se beton proizvodi ili na svakih 50 m3 proizvedenog betona, odnosno na svakih 75 mešavina, s tim da se uzima primerak koji daje veći broj uzoraka.
Ako je količina proizvedenog betona u vreme ocenjivanja čvrstoće pri pritisku veća od 2.000 m3, uzorci za ispitivanje betona uzimaju se na svakih 100 m3 odnosno na svakih 150 mešavina.
U partiji betona koja se u vreme ocenjivanja proizvodi u količini većoj od 1.000 m3 može se izvršiti najviše 30 ispitivanja.
Za svaku grupu (vrstu) betona koji se u vreme ocenjivanja proizvodi u količini manjoj od 1.000 m3 LAB, vrši se najmanje 10 ispitivanja.
Postignuta marka LAB ocenjuje se prema članu 47. ovog pravilnika.
Ispitivanja vodonepropustljivosti i otpornosti na dejstvo mraza, na štetne uticaje sredine i slično proizvođač obavlja na način određen projektom betona, prema odgovarajućim jugoslovenskim standardima.
Uzorke betona za kontrolu proizvodnje uzima proizvođač LAB u fabrici betona ili iz mešalice za monolitne LAB. Uzorak svežeg betona od koga se izrađuju sva probna tela potrebna za ispitivanje čvrstoća i drugih svojstava betona uzima se iz iste mešavine.
Na mestu na kome se prazne transportna sredstva, odnosno na mestu ugrađivanja betona izvođač betonskih radova mora evidentirati podatke o karakterističnim svojstvima betona i vreme trajanja transporta.
Konzistencija dopremljenog betona mora se kontrolisati kontinuirano, a meri se i evidentira po istom postupku kao u fabrici betona najmanje jednim ispitivanjem u jednoj smeni i mora odgovarati konzistenciji određenoj projektom, a u transportu se mora odrediti vreme zbijanja.
Kvalitet betona ocenjuje se na osnovu rezultata ispitivanja.
Marka betona (MB) ocenjuje se po partijama, u skladu sa programom kontrole prema jednom od navedenih kriterijuma i prema odgovarajućim jugoslovenskim standardima.
Kriterijum 1 primenjuje se ako se raspolaže sa n ≤ 15 rezultata ispitivanja čvrstoće na 3,6 i više uzastopno uzetih uzoraka. Partije čine grupe od tri uzastopna rezultata ispitivanja (x1, x2, x3):
m3³ MB + k1
X1³ MB - k2
gde je:
k1 = k2 = 3 MPa, za uhodanu proizvodnju;
k1 = 4 MPa i k2 = 2 MPa, za vreme uhodavanja proizvodnje;
m3 - aritmetička sredina od tri uzastopna rezultata ispitivanja, u megapaskalima;
x1 - najmanja vrednost od tri uzastopna rezultata ispitivanja, u megapaskalima.
Kriterijum 2 primenjuje se na veće partije iste vrste betona sa brojem rezultata 10 ≤ n ≤ 30, kad je poznata standardna devijacija s iz ranijih ispitivanja određena iz većeg broja rezultata (najmanje no³ 30).
mn³ MB + 1,2 σ
X1³ MB - 4 (MPa)
Kriterijum 3 primenjuje se na partije sa 15 ≤ n ≤ 30, kad se računa sa procenjenom standardnom devijacijom Sn od n rezultata:
mn³ MB + 1,3 ˑ Sn
X1³ MB - 4 (MPa)
gde je:
MB - marka betona;
n - broj rezultata ispitivanja u jednoj partiji;
mn - aritmetička sredina od n rezultata ispitivanja, u megapaskalima;
σ - standardna devijacija određena iz dovoljno velikog broja ranijih ispitivanja iste vrste betona (no³ 30);
![]()
Sn - procenjena standardna devijacija od n rezultata ispitivanja;
![]()
x1 - najmanja vrednost ispitivane čvrstoće (MPa) od n rezultata;
xi - vrednost svake pojedine čvrstoće u partiji od n rezultata, u megapaskalima.
Uzorci za dokaz usaglašenosti sa uslovima kvaliteta betona propisanim ovim pravilnikom uzimaju se na mestu ugrađivanja prema programu kontrole, a čuvaju se i pripremaju prema jugoslovenskom standardu JUS U.M1.005.
Broj uzoraka za ispitivanje čvrstoće betona pri pritisku određuje se prema uslovima, i to:
1) za beton dopremljen iz fabrike betona koji zadovoljava uslove utvrđene jugoslovenskim standardom JUS U.M1.051:
- za svaku vrstu betona najmanje jedan uzorak, za svaki dan betoniranja na objektu;
- jedan uzorak u proseku na 150 mešavina ili na 100 m3 betona;
- najmanje tri uzorka za jednu partiju betona;
- jedan uzorak od svake isporučene količine betona za konstrukcione elemente koji su značajni za sigurnost konstrukcije i u koje se ugrađuju samo manje količine betona;
2) za beton spravljen isključivo za potrebe objekta, odnosno gradilišta, a u pogonu je organizovana kontrola kvaliteta proizvodnje prema jugoslovenskom standardu JUS U.M1.051, rezultati ispitivanja betona u pogonu mogu se koristiti i za dokazivanje saglasnosti sa uslovima kvaliteta betona na mestu ugrađivanja ako je projektom betona to predviđeno;
3) za betone I, II i III grupe do MB 25 koji se proizvode u pogonu za proizvodnju kategorije betona mora se uzeti dvostruko veći broj uzoraka od broja navedenog u tački 1. ovog člana.
Posebna svojstva betona ispituju se i ocenjuju ako je to za odgovarajuću konstrukciju određeno projektom konstrukcije ili programom kontrole.
Čvrstoća pri pritisku betona utvrđuje se na osnovu rezultata ispitivanja, a prema odredbi člana 17. ovog pravilnika.
Ako je ispunjen prethodno izabran kriterijum prijema iz člana 46. ovog pravilnika, takva partija betona smatra se kvalitetnom i prihvata se. Ako taj kriterijum nije zadovoljen, mora se tražiti naknadni dokaz o kvalitetu betona.
Porast čvrstoće betona pri pritisku u toku vremena utvrđuje se uporednim ispitivanjem na uzorcima.
Ako se ne raspolaže rezultatima ispitivanja betona, ne mogu se propisati vrednosti, jer zavise od vrste ispune, njene čvrstoće pri zatezanju ostvarene athezijom i sl.
Kad je značajan tačniji proračun deformacija i uticaja usled kratkotrajnih dejstava, statički modul elastičnosti lakoagregatnih betona pri jednoaksijalnom pritisku određuje se eksperimentalno, prema propisima o jugoslovenskom standardu JUS U.M1.025.
Ako se ne raspolaže rezultatima ispitivanja iz stava 1. ovog člana, za napone pritiska σb≤ 0,45 • fk mogu se usvojiti srednje vrednosti modula elastičnosti prema izrazu (za konstrukcijske betone):
![]()
gde je:
fk - čvrstoća betonske kocke, u megapaskalima;
Eb - modul elastičnosti lakoagregatnog betona, u gigapaskalima;
ρ - zapreminska masa lakoagregatnog betona, u kilogramima po kubnom metru.
Ako su poznate vrednosti modula elastičnosti cementnog maltera Em i agregata Eag, umesto izraza iz stava 2. ovog člana, modul elastičnosti lakoagregatnog betona može se odrediti iz izraza:

gde je:
n - zapremina agregata u jedinici zapremine betona, u procentima.
Modul elastičnosti betona starosti manje ili veće od 28 dana može se odrediti korišćenjem istog izraza, sa pretpostavljenim ili ispitanim vrednostima čvrstoće lakoagregatnog betona pri pritisku fk(t) za odgovarajuće starosti betona.
Vrednosti modula elastičnosti lakoagregatnih betona određene ovim članom koriste se pri ispitivanju zatezanjem lakoagregatnih betona. Za važne investicione objekte obavezno je laboratorijski ispitati modul elastičnosti.
Kad se uticaj poprečnih deformacija lakoagregatnog betona ne može zanemariti, usvaja se vrednost Poasonovog koeficijenta nb = 0,2.
Modul smicanja lakoagregatnih betona izračunava se prema izrazu:
![]()
Za koeficijent termičke dilatacije aT usvaja se vrednost: αT = 5,5 - 7,5 • 10-6
Zavisnost skupljanja i puzanja lakoagregatnih betona od vremena i konačne vrednosti skupljanja i puzanja određuju se eksperimentalno, prema jugoslovenskim standardima JUS U.M1.029 i JUS U.M1.027.
Ako konačne vrednosti skupljanja lakoagregatnih betona εsω = εs (t ω) za vreme t ω nisu određene ispitivanjem, za nearmirani lakoagregatni beton koji se održava u vlažnom stanju najmanje prvih sedam dana i pri temperaturi sredine od približno 293°K (20°C) mogu se, za betone spravljene sa portland-cementom bez dodatka, koristiti vrednosti date u tabeli 4, kojima se ocenjuje veličina deformacije skupljanja posle 365 dana.
Tabela 4
Deformacije skupljanja nearmiranih lakoagregatnih betona posle 365 dana
|
|
Skupljanje betona posle 365 dana |
|||||
Laki agregat |
Klasa cementa |
|
Relativna vlažnost sredine |
||||
40% |
|
|
60% |
|
|||
Doziranje cementa, u kg/m3 očvrslog betona |
|||||||
200 |
350 |
500 |
200 |
350 |
500 |
||
troska visoke peći |
250 |
|
0,55 |
|
|
|
|
350 |
|
0,56 |
|
0,26 |
0,40 |
0,60 |
|
450 |
|
0,50 |
|
|
|
|
|
(kotl.) šljaka |
250 |
|
0,70 |
|
|
|
|
350 |
|
0,50 |
|
0,22 |
0,55 |
1,10 |
|
450 |
|
0,60 |
|
|
|
|
|
ekspandirana glina |
250 |
|
0,60 |
|
|
|
|
350 |
|
0,54 |
|
0,44 |
0,50 |
0,58 |
|
450 |
|
0,65 |
|
|
|
|
|
TUF |
250 |
|
|
|
|
|
|
350 |
|
2,5 do 7 |
|
|
2 do 5 |
|
|
450 |
|
|
|
|
|
|
|
"cementni kamen" |
250 |
|
3,55 |
|
|
1,6 |
|
350 |
|
2,40 |
|
|
1,7 |
|
|
450 |
|
2,40 |
|
|
1,8 |
|
|
Prilikom primene tufova teško se procenjuju deformacije skupljanja, pa se tada uvažavaju rezultati laboratorijskih ispitivanja.
Kod lakoagregatnih betona ne postoji jasna zavisnost deformacije εs, od srednjeg polumera preseka dm kao kod običnog betona, nego ona zavisi od veličine najmanje stranice preseka, pa se može računati kao za prizmu stranice preseka, koja je jednaka manjoj dimenziji preseka betonskog tela.
Tabela 5
Deformacija skupljanja εs prizme površine preseka V (cm2) u odnosu na prizmu površine 100 cm2 (tabela 4), na 20°C i 60% relativne vlažnosti
Vreme (u danima) |
εs (A) εs (100), u % |
|||
V (cm2) |
||||
100 |
225 |
400 |
1.600 |
|
10 |
100 |
70 |
35 |
|
20 |
100 |
67 do 74 |
22 do 42 |
60 |
60 |
100 |
74 do 100 |
42 do 68 |
|
130 |
100 |
88 do 100 |
48 do 84 |
|
300 |
100 |
100 |
67 do 80 |
300 |
Vremenski tok deformacije skupljanja u toku prve godine određuje se prema izrazu:
εs (t) = εs (1) • (1 -e-0.025 t)
gde je:
εs (I) deformacija skupljanja posle jedne godine, prema tabelama 4 i 5;
e - baza prirodnog logaritma (e = 2,7183);
t - dani.
Kod lakoagregatnih betona može se, zavisno od sastava betona, očekivati prirast deformacije skupljanja i posle 20 godina, koji može iznositi i do 20% u odnosu na skupljanje posle jedne godine.
Ako konačne vrednosti koeficijenta puzanja lakoagregatnih betona j¥ = j (¥, t0) za vreme t¥ nisu eksperimentalno određene, za nearmirani beton koji je održavan u vlažnom stanju najmanje prvih sedam dana i pri temperaturama sredine od približno 293 °K (20°C) koriste se vrednosti iz tabele 6.
Tabela 6
Konačne vrednosti koeficijenta puzanja nearmiranih lakoagregatnih betona
Starost betona u trenutku opterećenja (to u danima) |
Konačne vrednosti koeficijenta puzanja jω |
|||||
Relativna vlažnost sredine |
||||||
40% |
70% |
90% |
||||
|
min. |
maks. |
min. |
maks. |
min. |
maks. |
7 |
2,52 |
4,68 |
2,10 |
3,90 |
1,40 |
1,82 |
14 |
2,24 |
4,16 |
1,82 |
3,38 |
1,30 |
1,69 |
28 |
1,96 |
3,64 |
1,54 |
2,86 |
1,20 |
1,56 |
90 |
1,54 |
2,86 |
1,26 |
2,34 |
1,00 |
1,30 |
Minimalne vrednosti iz tabele 6 odnose se na lakoagregatne betone od ekspandirane gline i slično. Ako se za tu vrstu lakoagregatnog betona upotrebi kvarcni pesak, deformacije puzanja se mogu povećati do 17%.
Maksimalne vrednosti koeficijenta j¥ iz tabele 6 odnose se na betone sa troskom visokih peći i sličnim lakim agregatima, kao i na betone sa izuzetno visokim sadržajem cementa i velikim vodocementnim faktorom (w/c).
Za koeficijente puzanja pri zatezanju mogu se uzeti vrednosti iz tabele 6.
Za određivanje zavisnosti koeficijenta puzanja j (t, to) od vremena t, odnosno starosti betona od trenutka opterećenja to i u toku trajanja opterećenja (t - to), za elemente i konstrukcije koje se nalaze u sredini približno stalne vlažnosti (%) i temperature, koriste se vrednosti iz tabele 7.
Tabela 7
Zavisnost koeficijenta puzanja j(t, to) od vremena t
Trajanje
opterećenja |
Odnos koeficijenta puzanja
lakoagregatnog betona u vremenu t i konačne vrednosti tog koeficijenta |
|
7 |
dana |
0,36 |
14 |
|
0,42 |
28 |
|
0,49 |
90 |
|
0,63 |
365 |
|
0,80 |
3 |
godine |
0,97 |
Za određivanje dilatacije usled puzanja pri naponima u elementima i konstrukcijama za koje važi da je sb ≤ 0,5 fk, koriste se osnovne pretpostavke linearne teorije puzanja betona:
a) dilatacije puzanja lakoagregatnog betona εbj (t, to) u trenutku vremena t, pri dejstvu konstantnog napona od trenutka to, linearno su zavisne od tog napona;
b) dilatacije puzanja betona od priraštaja napona u različitim trenucima vremena mogu se sabirati.
Primena integralnog oblika veze napona i dilatacije (deformacije) lakoagregatnog betona zahteva, pri rešavanju praktičnih zadataka, numeričku integraciju u posmatranom intervalu vremena.
Takav računski postupak potreban je samo u slučajevima kad se zahteva posebna tačnost.
Umesto integralnog oblika veze napona i dilatacije (deformacije) u lakoagregatnom betonu, za analizu uticaja puzanja i skupljanja betona u elementima i konstrukcijama od takvog betona "koriste se različite uprošćene algebarske veze napona i dilatacije. Stepen aproksimacije primenjene algebarske veze mora, dovoljnom tačnošću, odgovarati konkretnom poreklu napona, odnosno poreklu deformacije betona u elementu, odnosno u konstrukciji, kao i stepenu pouzdanosti predviđanja puzanja i skupljanja.
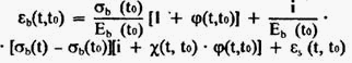
U najopštijem slučaju, algebarska veza napona i deformacije u lakoagregatnom betonu je oblika:

gde je:
εb (t, to) - ukupna dilatacija (deformacija) lakoagregatnog betona u trenutku t usled dejstva napona od trenutka to i uticaja deformacija nezavisnih od napona (skupljanja betona);
σb (to), σb (t) - naponi u lakoagregatnom betonu u trenutku opterećenja to, odnosno u posmatranom trenutku t;
j (t, to) - koeficijent puzanja lakoagregatnog betona;
Eb (to) - modul elastičnosti betona u trenutku opterećenja to;
c (t, to) - koeficijent starenja.
Koeficijent starenja znatno zavisi od starosti betona i porekla napona, odnosno od porekla dilatacija lakoagregatnog betona u elementu, odnosno u konstrukciji. Pri određivanju porekla eksploatacionih opterećenja armiranobetonskih konstrukcija i ako nema znatnih smanjenja dugotrajnih dejstava, odnosno odgovarajućih dilatacija lakoagregatnog betona, mogu se za konačnu vrednost koeficijenta starenja uzeti vrednosti kao i za obični beton
cω = c(tω, to) = 0,65 do 0,85
ako za konkretnu vrstu lakoagregatnog betona nisu poznate druge vrednosti koje bolje odgovaraju geološkim svojstvima te konkretne vrste lakoagregatnog betona.
Za armiranje konstrukcija i elemenata od betona koriste se žice (Ø 12 mm) ili šipke (Ø 12 mm) od glatkog čelika (GA), visokovrednih prirodno tvrdih rebrastih čelika (RA) i hladnovučene glatke i orebrene žice - mrežasta armatura (MAG i MAR) i Bi armatura (BiA).
Osim čelika iz stava 1. ovog člana, mogu se koristiti i drugi oblici i vrste čelika ako se ispitivanjem prethodno dokaže da ispunjavaju uslove propisane ovim pravilnikom i da se njihovom upotrebom obezbeđuje sigurnost i trajnost konstrukcije i elemenata od betona.
Glatka armatura (GA) od mekog betonskog čelika kvaliteta 240/360 izrađuje se u obliku žice i šipki.
Žice i šipke od mekog betonskog čelika su kružnog poprečnog preseka, a koriste se u nazivnim prečnicima od 6, 8, 10, 12, 14, 16, 18, 20, 22, 25, 28, 32 mm. Površina nazivnog prečnika može biti i manja do 5% od nazivne površine poprečnog preseka.
Glatki betonski čelik isporučuje se u pravim šipkama, šipkama savijenim u petlje i u koturovima.
Glatka armatura (GA) od mekog betonskog čelika kvaliteta 220/340 izrađuje se u obliku žice, a koristi se u nazivnim prečnicima od 6, 8, 10 i 12 mm.
Rebrasta armatura (RA) od visokovrednog prirodnog tvrdog čelika kvaliteta 400/500 izrađuje se u obliku žice i šipki.
Žice i šipke rebraste armature imaju podužna i poprečna rebra, koja međusobno zaklapaju različite uglove.
Oblik, veličina i međusobni položaj rebara moraju biti takvi da obezbede potrebnu duktilnost čelika i adheziju šipki i betona u stepenu koji odgovara čvrstoći čelika.
Žice i šipke rebraste armature RA 400/500-1 imaju poprečna rebra nepromenljivog poprečnog preseka, a koriste se u prečnicima od 6, 8, 10, 12 i 14 mm (slika 1a).
Žice i šipke rebraste armature RA-400/500-2 imaju poprečna rebra promenljivog poprečnog preseka u obliku srpa, a koriste se u prečnicima od 6, 8, 10, 12, 14, 16, 19, 22, 25, 28, 32, 36 i 40 mm (slika 1b).


Slika 1
Površina preseka žice i šipke rebraste armature može da bude manja i do 4% od površine preseka nazivnog prečnika.
Zavarene armaturne mreže od hladnovučene žice izrađuju se od glatkog čelika (MAG 500/560) i orebrenog čelika (MAR 500/560).
Zavarene armaturne mreže sastoje se od pravih, međusobno upravnih zavarenih žica. Oznaka mreže, prečnici i rastojanja žica, tolerancije mera i drugo utvrđeni su jugoslovenskim standardom JUS U.M1.091.
Bi-armatura BiA 680/800 je specijalno oblikovana armatura od hladnovučene žice. Sastoji se od dve podužne žice međusobno spojene prečkama, čije su osovine u istoj ravni, a označava se slovima BiA i brojem koji označava prečnik podužih žica izražen u desetim delovima milimetra.
Podužne žice su od glatke, okrugle hladnovučene žice kvaliteta čelika 680/800, a prečke - od čelika kvaliteta 240/360.

Slika 2
Tipovi čelika koji se koriste za Bi - armaturu dati su u tabeli 8. Odstupanje mera, kontrola kvaliteta i isporuke utvrđeni su jugoslovenskim standardom JUS U.M1.092.
Tabela 8
Mere Bi čelika za armaturu BiA 680/800
TIP BiA |
Podužne žice |
|
Prečke |
|||
unutrašnji razmak (e) |
prečnik Ø |
površina (A) |
razmak osovina (c) |
visina (v) |
širina (š) |
|
|
mm |
mm |
cm2 |
mm |
mm |
mm |
BiA 31 |
20 |
3,1 |
0,15 |
95 |
3,0 |
2,5 |
BiA 36 |
20 |
3,6 |
0,20 |
95 |
3,5 |
2,5 |
BiA 40 |
20 |
4,0 |
0,25 |
95 |
4,0 |
3,0 |
BiA 56 |
20 |
5,6 |
0,50 |
95 |
5,5 |
3,5 |
BiA 60 |
20 |
6,9 |
0,75 |
95 |
7,0 |
3,5 |
BiA 80 |
20 |
8,0 |
1,00 |
95 |
8,0 |
4,0 |
BiA 89 |
20 |
8,9 |
1,25 |
95 |
9,0 |
4,5 |
BiA 98 |
20 |
9,8 |
2,50 |
95 |
10,0 |
5,0 |
BiA 113 |
23 |
11,3 |
2,00 |
95 |
12,0 |
6,0 |
Mehaničke karakteristike čelika za armaturu, definisane kao karakteristične vrednosti sa fraktilom od 5%, date su u tabeli 9.
Čelik koji se koristi za izradu armature mora da ispunjava sve propisane uslove date u tabeli 9.
Prianjanje betona i čelika određuje se na gredicama izloženim savijanju, na način utvrđen jugoslovenskim standardom JUS U.M1.090.
Žice ili šipke koje se nastavljaju zavarivanjem ne smeju na mestu vara imati lošije mehaničke osobine od osobina propisanih za odgovarajuću vrstu čelika. Podesnost zavarivanja utvrđena je jugoslovenskim standardom JUS C.K6.020.
Karakteristična čvrstoća pri zatezanju fak i granica razvlačenja σuk čelika za armiranje utvrđuju se ispitivanjem najmanje 30 uzoraka, primenom teorije matematičke statistike.
Karakteristična vrednost rezultata ispitivanja čvrstoće čelika pri zatezanju i granice razvlačenja čelika, ako je ispunjen uslov normalne raspodele, mora biti jednaka odgovarajućim vrednostima datim u tabeli 9 ili veća od njih. Karakteristične vrednosti rezultata ispitivanja utvrđuju se pod pretpostavkom da je samo 5% rezultata manjih od karakteristične vrednosti.
Karakteristična vrednost rezultata ispitivanja čvrstoće čelika pri zatezanju fak određuje se iz izraza:
fak = fam - 1,64 • Sa
Karakteristična vrednost rezultata ispitivanja granice razvlačenja σvk određuje se iz izraza:
σvk = σvm - 1,64 • Sv
gde je:
fak - karakteristična vrednost rezultata ispitivanja čvrstoće pri zatezanju;
fam - aritmetička sredina od n rezultata ispitivanja čvrstoće pri zatezanju na uzorcima;
n - broj rezultata ispitivanja u jednoj partiji (grupi);
-
procenjena standardna devijacija čvrstoće pri zatezanju za n rezultata ispitivanja;
σvm - aritmetička sredina n rezultata ispitivanja granice razvlačenja na uzorcima;
σvi - pojedinačna vrednost rezultata ispitivanja granice razvlačenja;
fai - pojedinačna vrednost rezultata ispitivanja;
-
procenjena standardna devijacija granice razvlačenja n rezultata ispitivanja.
Tabela 9
Karakteristike čelika za armirani beton
Oznaka vrste čelika |
Oznaka armature i mehaničkih karakteristika |
Bliži naziv armature |
Nazivni prečnik |
Karakteristična granica razvlačenja σvk, odnosno granica σ02 |
Karakteristična čvrstoća pri zatezanju fak |
Izduženje na 10 Æ |
Savijanje |
Dinamička čvrstoća |
Modul elastičnosti |
|
prečnik trna |
ugao savijanja |
|||||||||
mm |
MPa |
MPa |
% |
Ø |
° |
MPa |
GPa |
|||
č. 0200 |
GA 220/340 |
Glatka armatura od mekog betonskog čelika |
5 do 12 |
220 |
340 |
18 |
2 Ø |
180° |
- |
|
č. 0300 |
GA 240/360 2) |
5 do 36 |
240 |
360 |
18 |
2Ø |
180° |
- |
|
|
č. 0550 |
RA 400/500- -1 |
Rebrasta armatura od visokovrednog prirodno tvrdog čelika |
6 do 14 |
400 |
500 |
10 |
5Ø |
90° 3) |
|
od 200 |
č. 0551 |
RA 400/500- -2 |
6 do 40 |
200 4) |
|||||||
|
MAG 500/560 |
Zavarene armaturne mreže od hladnovučene glatke ili orebrene žice |
4 do 12 |
500 |
560 |
6 |
4Ø 1) |
180° |
120 4) |
|
|
MAR 500/560 |
|||||||||
|
BiA 680/800 |
Armatura specijalnog oblika, od hladnovučene žice |
3,1 do 11,3 |
680 |
800 |
5 |
6Ø 5) |
180° 5) |
170 4) |
od 180 |
1) Ispitivanje
savijanjem potrebno je i obavezno samo za mreže koje se upotrebljavaju kao
savijene (za uzengije).
2) Ovaj čelik ima garantovanu
zavarljivost (za Si, < 0,6 %).
3) Pored savijanja, ovaj čelik
ispituje se na povratno savijanje oko trna prečnika 7 Æ,
sa uglom savijanja od 45°i uglom povratnog savijanja 22, 5°.
4) Dinamička čvrstoća se dokazuje
na uzorcima ugrađene armature u betonu prema standardu JUS C.K6.020 za RA
400/500-2, a za zavarene armature mreže MAG i MAR, kao i za BiA na samim
armaturama, uključujući i zavarene čvorove.
5) Odnosi se na savijanje žice
na mestu vara.
Ako ne postoje rezultati ispitivanja prema članu 72. ovog pravilnika, pre ugrađivanja se vrši kontrolno ispitivanje glatkog betonskog čelika i rebrastog visokovrednog prirodno tvrdog čelika.
Kontrolno ispitivanje čelika za armiranje pre ugrađivanja vrši se utvrđivanjem čvrstoće pri zatezanju fak i granice razvlačenja σv na najmanje 10 slučajno odabranih uzoraka iz svake grupe čelika za količinu do 100 t. Za partije čelika veće od 100 t, za svaku količinu od 10 t preko 100 t, uzima se još po jedan uzorak.
Čelik za armiranje ispunjava uslove u pogledu propisane čvrstoće pri zatezanju i granice razvlačenja ako najmanja vrednost rezultata ispitivanja nije manja od karakterističnih vrednosti fak i δvk datih u tabeli 9 ovog pravilnika.
Kad je broj uzoraka koji se ispituju veći od 10 a manji od 30, dozvoljeno je da na svakih pet uzoraka preko prvih 10 uzoraka po jedan rezultat ispitivanja bude niži od odgovarajuće karakteristične vrednosti.
Kad je broj uzoraka jednak ili veći od 30, čvrstoća pri zatezanju i granica razvlačenja utvrđuju se prema članu 72. ovog pravilnika.
Vrednosti ostalih karakteristika čelika za armiranje određenih u tabeli 9 utvrđuju se na najmanje šest uzoraka. Smatra se da čelik ispunjava uslove u pogledu tih osobina ako ni jedna vrednost rezultata ispitivanja nije nepovoljnija od vrednosti propisanih ovim pravilnikom.
Uticaji u presecima armiranobetonskih elemenata i konstrukcija proračunavaju se po teoriji konstrukcija. Za proračunavanje uticaja u statički neodređenim sistemima, po pravilu, u račun se uvode krutosti zavisno od stanja prslina elementa, kao i procenta armiranja preseka, ali se mogu određivati i zavisno od krutosti betonskog elementa bez prslina i bez uzimanja u račun uticaja armature, osim za zategnute elemente. Ako su procenti armiranja osetni, vodi se računa i o uticaju armature pri određivanju krutosti pojedinog elementa.
Izuzetno, uticaji u presecima mogu se odrediti i na osnovu rezultata ispitivanja na konstrukcijama ili na modelima.
U proračun uticaja betonskih i armiranobetonskih elemenata od lakoagregatnog betona koriste se opterećenja prema propisima za opterećenja konstrukcija.
Preseci armiranobetonskih elemenata proračunavaju se prema graničnim stanjima nosivosti i prema graničnim stanjima upotrebljivosti. Proračun prema graničnim stanjima upotrebljivosti obuhvata proračun prema graničnim stanjima prslina i graničnim stanjima deformacija.
Proračun preseka prema graničnim stanjima nosivosti
Osnovne pretpostavke za proračun preseka prema graničnom stanju nosivosti - lomu, od uticaja graničnih vrednosti momenata i normalnih sila, jesu sledeće:
1) raspodela deformacija po preseku je linearna (hipoteza ravnih preseka);
2) beton u zategnutoj zoni pri lomu ne prima sile zatezanja;
3) raspodela napona u betonu i čeliku usvaja se prema idealizovanim radnim dijagramima napon-dilatacija (σ/ε) lakoagregatnog betona i čelika koji su definisani u čl. 82. do 86. ovog pravilnika.
Sile u presecima linijskih nosača određuju se, po pravilu, prema teoriji elastičnosti. Za statički neodređene konstrukcije ti uticaji mogu se odrediti i prema teoriji elastičnosti sa ograničenom preraspodelom za granično stanje loma, i to tako da se momenti savijanja u najopterećenijim presecima, izračunati po teoriji elastičnosti, smanjuju ili povećavaju za veličinu, u procentima:
20(1 - |
µ - µ' |
) |
µlim |
gde je:
µ - koeficijent armiranja za zategnutu armaturu;
µ' - koeficijent armiranja za pritisnutu armaturu;
µlim - balansirani koeficijent armiranja, koji se izračunava iz izraza:
µlim = 0,33 • |
fb |
|
σv |
Preraspodelom negativnog oslonačkog momenta savijanja može se vršiti samo u slučaju ako je u tom preseku koeficijent armiranja:
µ≤ 0,5 µlim
odnosno
µ - µ' ≤ 0,5 µlim
Za proračun preseka prema graničnom stanju nosivosti - lomu za elemente konstrukcija uzimaju se uticaji:
Sg - uticaji sopstvene težine i stalnog opterećenja;
Sp - uticaji promenljivih opterećenja: korisnog pokretnog opterećenja - statičkog ili dinamičkog, opterećenja snegom i opterećenja vetrom;
SD - uticaji ostalih opterećenja: promena temperature, skupljanje lakoagregatnog betona, razmicanje i sleganje oslonaca tokom vremena i drugo.
Sigurnost pri lomu je zadovoljena ako je nosivost preseka, zavisno od oblika preseka i mehaničkih karakteristika materijala, veća od nosivosti tog preseka za granične uticaje, gde je:
Nu (B, fB, σv) ³ Ns
gde je:
Nu - granična nosivost - kao odgovarajuća ukupna sila (normalna ili poprečna sila, moment savijanja, moment torzije);
Ns - granična računska ukupna sila, tj. granični uticaj;
B - geometrijska karakteristika preseka (površina, moment otpora itd.).
Za određivanje granične nosivosti preseka koriste se granični uticaji
Su = Σgui • Si
gde se za stalno i promenljivo opterećenje granični uticaji izračunavaju izrazima:
Su = 1,6 Sg + 1,8 Sp ………………………………………………………………………………………. za εa³ 3‰
Su = 1,9 Sg + 2,1 Sp ………………………………………………………………………………………. za εa≤ 0‰
Za ukupne uticaje od stalnog i promenljivog opterećenja i ostalih opterećenja, granični uticaji se izračunavaju prema:
Su = 1,3 Sg + 1,5 Sp + 1,3 SD …………………………………………………………………….……. za εa³ 0‰
Su = 1,5 Sg + 1,8 Sp + 1,5 SD …………………………………………………………………….……. za εa≤ 0‰
Za dilatacije čelika εa od 0‰ do 3‰ uzima se linearna interpolacija za određivanje koeficijenata gui.
Ako sopstvena težina i stalno opterećenje deluju povoljno u smislu povećanja granične nosivosti, u proračun se koriste uticaji:
Su = Sg + 1,8 Sp …………::::::……………………………………………………………………………. za εa³ 3‰
Su = 1,2 Sg + 2,1 Sp ………………………………………………………………………………………. za εa≤ 0‰
odnosno
Su = Sg + 1,5 Sp + 1,3 SD …………………………………………………………………….…….……. za εa³ 3‰
Su = 1,2 Sg + 1,8 Sp + 1,5 SD ……………………………………………………………..……….……. za εa≤ 0‰.
U slučaju složenog savijanja, ukupni granični uticaji Su određuju se posebno za momente savijanja, a posebno za normalne sile, pri čemu se vodi računa o mogućnom istovremenom delovanju tih uticaja, kao i veličinama graničnih uticaja koji deluju na smanjenje nosivosti preseka.
Uticaji od seizmičkih sila proračunavaju se prema propisima za izgradnju objekata u seizmički aktivnim područjima.
Armiranobetonska skloništa ne izgrađuju se od lakoagregatnih betona.
Za proračun preseka prema graničnom stanju nosivosti - lomu, koji su napregnuti na savijanje, savijanje normalnom silom ili samo normalnom silom pritiska, u zima se naponsko-deformacijski dijagram (σb/εb) pritisnutog lakoagregatnog betona u obliku bilinearnog dijagrama, prema slici 3.

Slika 3
Na slici je fB računska čvrstoća pri pritisku i zavisi od marke betona, a brojne vrednosti te zavisnosti date su u tabeli 10.
Tabela 10
Računska čvrstoća lakoagregatnog betona pri pritisku fB zavisno od marke betona
MB |
5 |
10 |
15 |
20 |
30 |
40 |
50 |
fB (MPa) |
3,5 |
7 |
10,5 |
14 |
20 |
25,5 |
31 |
Za elemente konstrukcije visine preseka manje od 12 cm, računska čvrstoća umanjuje se za 10% u odnosu na vrednosti iz tabele 10.
Kad su u pitanju poprečni preseci, gde je pritisnuta zona betona kružnog ili trougaonog oblika, preseci nepravilnih oblika, kao i pravougaoni preseci napregnuti na savijanje normalnom silom ili bez nje sa položajem neutralne linije unutar preseka, pri proračunu preseka po graničnoj nosivosti - lomu može se umesto bilinearnog dijagrama koristiti uprošćeni pravougaoni dijagram prema slici 4, na kojoj je označen i način određivanja položaja neutralne linije.
Za računsku čvrstoću lakoagregatnog betona uzima se:
0,8 • fB - za pritisnute zone konstantne širine ili zone čija se širina povećava prema pritisnutoj ivici;
0,75 • fB - za pritisnute zone se širina smanjuje u pravcu pritisnute zone.

Slika 4
Za lakoagregatne betone može se koristiti i dijagram u obliku kvadratne parabole i prave, prema slici 5, ako se opravdanost primene takvog dijagrama dokaže izvršenim eksperimentalnim ispitivanjem.

Slika 5
Parabolično-pravougaoni dijagram ne sme se koristiti pri proračunu stabilnosti.
Za računski dijagram čelika (σa/εa) koristi se bilinearni radni dijagram, sa graničnom čvrstoćom čelika jednakom granici razvlačenja σv, odnosno σ02 i najvećim dopuštenim dilatacijama čelika εa = 10‰.

Slika 6
Za elemente napregnute na savijanje, savijanje normalnom silom i centričnom normalnom silom, granične vrednosti dilatacija betona εb i čelika εa prikazane su na slici 7 za odgovarajuća naponska stanja preseka za područja 1 do 5, gde je:

Slika 7
Područje 1 - centrično zatezanje i ekscentrično zatezanje (sa malim ekscentricitetom)
Područje 2 - savijanje sa normalnom silom ili bez nje, sa iskorišćenom i neiskorišćenom nosivošću betonskog preseka (εb≤ 3,5‰) i iskorišćenjem najveće dilatacije čelika pri granici razvlačenja (εa = 10‰).
Područje 3 - savijanje sa normalnom silom ili bez nje, sa punim iskorišćenjem nosivosti betonskog preseka (εv = 3,5‰) i nosivosti čelika pri granici razvlačenja sa εv≤ 3,5‰ εa≤ 10‰, gde je εv = σv/Ea.
Područje 4 - savijanje sa normalnom silom pritiska, sa iskorišćenjem računske čvrstoće betona (εb = 3,5‰) i dilatacije čelika 0 ≤εa≤εv.
Područje 5 - centrični pritisak ili ekscentrični pritisak (sa malim ekscentricitetom).
Za to područje je εb1 = 3,5 - 0,75 εb2, gde je
0 ≤εb2≤ 2‰
Za centrični pritisak je εb1 = eb2 = 2,0‰.
Kod dvostruko armiranih preseka uticaj pritisnute armature može se uzeti u proračun nosivosti preseka ako je ta armatura na linijskim elementima (greda i stubova) povezana uzengijama čiji razmak ne sme biti veći od 20 cm niti veći od 15 Ø, gde je Ø najmanji prečnik podužne pritisnute armature.
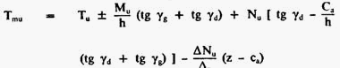
Za dimenzionisanje preseka izloženih uticaju transverzalnih sila koristi se kao merodavna sila:

gde su transverzalna sila Tu, moment Mu i normalna sila Nu određeni kao uticaji za granična opterećenja pri istovremenom dejstvu (član 80), dok su h (statička visina preseka), ca, gg i gd geometrijske veličine prikazane na slici 8.

Slika 8
Nazivni smičući napon definisan je izrazom:
![]()
gde je:
b - minimalna širina poprečnog preseka, na delu od neutralne linije do zategnute armature;
z - krak unutarnjih normalnih sila u preseku.
Veličine računskih čvrstoća pri zatezanju tr koje se upoređuju sa nazivnim naponom tn (T) date su u tabeli 11, zavisno od marke betona.
Tabela 11
Računske čvrstoće tr
Marka betona (MB) |
15 |
20 |
30 |
40 |
50 |
tr, u MPa |
0,6 |
0,8 |
1,1 |
1,3 |
1,5 |
Ako je ispunjen uslov
tn (T) ≤tr
nije potrebno računsko određivanje armature za prihvatanje transverzalnih sila.
Ako je tn (T) > tr, potrebno je proračunati armaturu za prihvatanje transverzalnih sila unutar područja, gde je tn (T) > tr.
Za proračun armature unutar područja u kome je tn (T) > tr primenjuje se model rešetke sa promenljivim nagibom pritisnutih dijagonala lakoagregatnog betona.
U području gde je tr < tn (T) ≤ 3 tr (slika 9a) potrebna armatura može se izračunati na osnovu redukovane računske transverzalne sile
TRu = Tmu - Tbu
gde se sila Tbu određuje iz izraza:
Tbu = 0,5 [3tr - tn (T)] • bz.
U području u kome je ispunjen uslov: 3tr < tn (T) ≤ 5 tr (slika 9b) koristi se računska transverzalna sila
TRu = Tmu
Nominalan smičući napon tn nikada ne sme biti veći od vrednosti 5 tr.

Slika 9
Armatura potrebna za prijem transverzalnih sila, u vidu uzengija ili koso povijenih šipki, određuje se na osnovu obrasca
![]()
gde je:

Hvu - ukupna horizontalna sila veze na dužini nosača λ = b - a, tj. na delu nosača na kome je tn (T) > tr, (slika 9);
σv - granica razvlačenja čelika;
α - ugao nagiba armature za prijem transverzalnih sila (uzengije i koso povijene šipke), s tim da je αmin = 45°;
θ - ugao nagiba pritisnutih betonskih dijagonala (slika 10), koji se bira u granicama 30° ≤ θ≤ 60°.
Ako dijagram napona tn (T) u oblasti oslonca po karakteru odgovara slučaju prikazanom na slici 11a, sila veze Hvu se izračunava za celokupnu dužinu λ.
Na delu C-C2 gde je tr < tn (T)max≤ 3 tr redukciju napona treba izvršiti prema izrazu određenom u članu 90. ovog pravilnika, dok je na delu C-C1 smanjenje računskog smičućeg napona od maksimalne vrednosti do vrednosti tr - linearno (slika 11a).
U slučaju 3tr (T) < tn (T) ≤ 5tr redukcija smičujućeg napona vrši se, prema članu 90. ovog pravilnika, samo na delu nosača C1-C2 (slika 11b).

Slika 10

Slika 11
Pri odabiranju armature za prijem transverzalnih sila prednost se daje vertikalnim i kosim uzengijama, a koso povijene šipke predviđaju se samo izuzetno.
Površina dodatne zategnute armature DAa usled delovanja transverzalnih sila, koja se sabira sa površinom postojeće podužne armature sračunatom za momente savijanja, izračunava se pomoću izraza:
![]()
Minimalna površina preseka poprečne armature (Aau u vidu dvosečnih (m = 2) ili višesečnih (m > 2) uzengija, koja se mora usvojiti na dužini λ kad je tn (T) > tr, određuje se izrazom:
Aau,min = µu,min • b • eu
gde je:
µu,min - minimalni procent uzengija za µu,min ≥0,2%;
eu - razmak uzengija.
Maksimalni razmak uzengija tada ne sme biti veći od:
- polovine visine preseka, odnosno
- manje strane preseka, odnosno
- 25 cm.
Ublažavanje uticaja transverzalnih sila Tu iz člana 87. ovog pravilnika može se uzeti u proračun raspoređivanjem reakcija oslonca na širini λ = b + 1,5 d, prema slici 12.

Slika 12
Provera granične nosivosti prema transverzalnim silama i dimenzionisanje preseka iz čl. 87. do 94. ovog pravilnika mogu se vršiti i na način koji odgovara nosećim elementima od lakoagregatnog betona odgovarajućih mehaničkih svojstava ako se to dokaže eksperimentalnim ispitivanjima.
Za dimenzionisanje preseka izloženih torziji merodavan je nominalni smičući napon:
![]()
koji se izračunava na osnovu teorije tankozidnih štapova zatvorenih profila, gde je:
MTu - torzioni moment izračunat za granična opterećenja;
Abo - površina oivičena srednjom linijom profila, odnosno površina omeđena podužnom torzionom armaturom;
δo - zamišljena debljina zida ekvivalentnog tankozidnog preseka (slika 13).
Za slučaj punih poprečnih preseka |
δo = |
dm |
. |
8 |
Za slučaj šupljih preseka δo = δ, pod uslovom da je δ≤ |
dm |
. |
8 |

Slika 13
Vrednost nazivnog smičućeg napona tn(MT) iz člana 96. ovog pravilnika ne sme biti veća od 5tr, gde za tr važe vrednosti u tabeli 11 iz člana 88. ovog pravilnika.
Za slučaj kad je tn≤tr nije potrebna nikakva računska armatura za prijem momenta torzije MT.
Za slučaj kad je tn > tr, proračun se vrši sa redukovanim računskim torzionim momentom
MTRu = MTu - MTbu
s tim da se veličina MTbu određuje na sledeći način:
- za tr < tn≤ 3tr je MTbu = 0,5 (3tr - tn) - Abo • δ0;
- za 3tr, < tn≤ 5tr je MTbu = 0.
Površina preseka vertikalnih uzengija izračunava se iz izraza:
![]()
Za θ - ugao nagiba pritisnutih betonskih dijagonala, koje odgovaraju modelu prostorne rešetke, kod lakoagregatnih betona uzima se
θ = 45°
Površina i razmak uzengija propisani su članom 93. ovog pravilnika.
Površina preseka svih podužnih šipki za prihvatanje torzionog momenta MTRu određuje se iz izraza:
![]()
gde je:
Os - obim srednje linije zamišljenog tankozidnog preseka.
U slučaju kombinovanog delovanja transverzalne sile Tmu i torzionog momenta MTRu mora biti ispunjen uslov da je:
tn = tn (T + MT) = tn(T) + tn(MT) ≤ 5tr
Kad je tn≤tr, nije potrebna nikakva računska armatura. Pri naponima tr < tn≤ 3tr računske vrednosti sile Tmu i momenta MTRu dobijaju se uzimanjem u obzir veličine Tbu i i MTbu kojima se umanjuju veličine Tu i MTu.
Za slučaj 3tr < tn≤ 5tr mora se računati sa vrednostima Tbu = MTbu = 0.
Podužna armatura DAa za prijem transverzalne sile izračunata prema članu 92. ovog pravilnika računa se nezavisno od podužne armature izračunate za momente savijanja. Ukupna podužna armatura u slučaju simultanog delovanja tih uticaja dobija se superpozicijom dobijenih vrednosti.
U slučaju simultanog delovanja torzije i savijanja, podužna armatura određuje se posebno za torziju, a posebno za moment savijanja, pri čemu se vodi računa i o armaturi DAa koja je određena prema članu 92. ovog pravilnika.
Pri kombinovanom delovanju torzije i savijanja mora se izvršiti kontrola glavnog napona pritiska u pritisnutoj zoni preseka. U takvim slučajevima glavni naponi pritiska izračunavaju se iz srednjeg normalnog napona u kritičnoj zoni i smičućeg napona
![]()
određenog za istu zonu. Tako izračunata vrednost glavnog napona pritiska ne sme biti veća od 0,6 MB.
Armiranobetonski elementi i konstrukcije, zavisno od vitkosti, moraju biti provereni na izvijanje, tj. mora se dokazati stabilan ravnotežni položaj spoljašnjih i unutrašnjih sila kad se uzmu u obzir i deformacije elemenata (efekti teorije II reda).
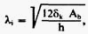
Za elemente armiranobetonskih konstrukcija, vitkost λi, se određuje prema izrazu:
λi = |
hi |
|
|
ib |
|
gde je:
hi - efektivna dužina izvijanja;
ib - poluprečnik inercije betonskog dela poprečnog preseka za osu oko koje se presek obrće prilikom izvijanja ili savijanja. On se određuje prema izrazu:
![]()
gde su Ib, i Ab odgovarajući momenti inercije i površina betonskog dela poprečnog preseka (ne uzimajući u obzir prsline).
Provera stabilnosti od uticaja izvijanja ne vrši se ako je:
λi ≤ 25
e/d ³ 3,5 za λi ≤ 75
λi ≤ 50 - 25 • M1/M2
gde je:
e - ekscentricitet normalne sile, izračunat po teoriji I reda za elastični sistem;
d - odgovarajuća visina poprečnog preseka;
M1, M2 - momenti savijanja na krajevima elementa izračunati po teoriji I reda, pri čemu je IM2I > IM1I.
U slučajevima koji nisu obuhvaćeni članom 105. ovog pravilnika mora se vršiti kontrola stabilnosti od uticaja izvijanja (efekti teorije II reda), za najnepovoljnije mogućne kombinacije spoljnih opterećenja, uzimajući u obzir i uticaje puzanja betona, kao i geometrijske netačnosti, dok se efekti skupljanja mogu zanemariti.
Za vitkosti 25 < λi ≤ 75 provera stabilnosti može se vršiti po približnim postupcima (metoda zamenjujućeg štapa ili metoda zamenjujuće ekscentričnosti). Efekti puzanja betona mogu se zanemariti ako je
λi ≤ 40
e/d > 2,0
Ng ≤ 0,2 Nq
gde su Ng i Nq, normalne sile od stalnog, odnosno ukupnog opterećenja.
U slučajevima koji nisu obuhvaćeni stavom 2. ovog člana, efekti puzanja uzimaju se u proračun uvođenjem dodatne ekscentričnosti prema izrazu:
ej = (eg + eo) (eR - 1)
gde je:
![]()
![]()
eg - ekscentricitet normalne sile od stalnog opterećenja Ng;
e0 - ekscentricitet usled netačnosti pri izvođenju, a određen je u članu 107. ovog pravilnika.
Vitkosti λi > 75 nisu dozvoljene. Od tog uslova izuzetno se može odstupiti i dopustiti vitkosti λi≤ 100 samo za proveru stabilnosti elemenata u fazama montaže. U tom slučaju mora se izvesti dokaz stabilnosti, ne uzimajući u obzir efekte puzanja lakoagregatnog betona.
Netačnosti pri izvođenju (odstupanja od vertikale) moraju se uzeti u obzir u tačnom, kao i u približnom proračunu.
Uticaj netačnosti izvođenja uvodi se preko početnog ekscentriciteta
e0 = 1i/300,
s tim da ta veličina ne može biti manja od 2 cm, ni veća od 10 cm.
Za okvire sa pomerljivim čvorovima, umesto dodatnog ekscentriciteta e0 uzima se dodatni nagib α, za koji je:
tgα = 1/150 - za jednospratne okvire opterećene uglavnom vertikalnim opterećenjem;
tgα = 1 /200 - za sve ostale slučajeve.
Efektivna dužina izvijanja je rastojanje između prevojnih tačaka deformacione linije pritisnutog armiranobetonskog elementa, koje se određuju metodama elastične analize konstrukcijskog sistema.

Slika 14
Za višespratne okvire sa pomerljivim čvorovima (slika 14) vitkost se može odrediti i prema približnom obrascu:
![]()
gde je:
δk - relativno horizontalno pomeranje posmatranog sprata u odnosu na donji sprat usled dejstva horizontalne sile H = 1, koja deluje na vrhu konstrukcije, računato sa modulom elastičnosti lakoagregatnog betona Eb = 1;
Aa - zbir svih poprečnih preseka stubova posmatranog sprata;
h - teorijska spratna visina.
Lokalni naponi pritiska pri lomu fo za elemente ležišta, prikazani na slikama 15a i 156, ne smeju preći vrednosti izračunate prema izrazu:
![]()
gde je:
fB - računska čvrstoća betona, određena članom 82. ovog pravilnika;
Abo - lokalno opterećena površina (Abo = bodo) za slučaj linijskog opterećenja (slika 15a), a za slučaj koncentrisanog opterećenja videti sliku 15b;
Ab1 - površina Ab1 = b1d1 je geometrijski slična lokalno opterećenoj površini, sa istim težištem kao ta površina Abo (slika 15b);
fBk - marka betona.
Zbog lokalnog dejstva opterećenja javljaju se sile cepanja upravno na ravan sile. Te sile cepanja prihvataju se armaturom, koja se izračunava iz sile zatezanja Zu.
U slučaju linijskog lokalnog oslanjanja (slika 15a), sila zatezanja pri lomu Zu ne može biti manja od vrednosti:
![]()
gde se sila Pu određuje kao granični uticaj prema članu 80. ovog pravilnika.

Slika 15
Proračun preseka prema graničnim stanjima upotrebljivosti
Proračun prema graničnim stanjima upotrebljivosti obuhvata proračun prema graničnim stanjima prslina i proračun prema graničnim stanjima deformacija.
Proračuni prema graničnim stanjima prslina i deformacija zasnivaju se na dokazima da širina prslina i deformacije armiranobetonskih elemenata u toku eksploatacije nisu veće od graničnih vrednosti određenih zavisno od potrebne trajnosti i funkcionalnosti konstrukcije.
Armiranobetonski elementi proračunavaju se prema graničnim stanjima prslina radi obezbeđenja potrebne trajnosti i funkcionalnosti konstrukcije objekta u toku eksploatacije, posebno radi zaštite armature i betona od korozije, obezbeđenja eventualno potrebne nepropustljivosti elementa za tečnosti i gasove, radi izbegavanja nepovoljnih psiholoških ili estetskih utisaka i drugo.
Proračun prema graničnim stanjima prslina zasniva se na dokazu da karakteristične širine prslina ak armiranobetonskih elemenata u toku eksploatacije, uzimajući u obzir uticaje skupljanja i puzanja lakoagregatnog betona u toku vremena, nisu veće od graničnih širina prslina au
ak≤ au
Za karakterističnu širinu prslina ak usvaja se za 70% veća vrednost od srednje širine prslina as.
ak = 1,7 • as
Srednja širina prslina as određuje se zavisno od srednjeg rastojanja između prslina Ip i srednje dilatacije zategnute armature εas:
as = Ip • εas
pri čemu se uzima u obzir sadejstvo zategnutog lakoagregatnog betona između prslina.
Proračun veličine ak može se sprovesti korišćenjem izraza:
![]()
gde je:
Ca koeficijent, zavisan od vrste (oblika) armature;
Ca = 1,3 za glatku armaturu;
Ca = 1,1 za rebrastu armaturu;
h2 - udaljenost zatezne ivice betonskog preseka do neutralne linije;
h1 - udaljenost težišta zatezne armature do neutralne linije;
σa - faktični napon u zateznoj armaturi, u MPa;
![]()
n - broj šipki;
b - širina betonskog preseka u zateznoj zoni;
c - udaljenost težišta zatezne armature do zatezne ivice betonskog preseka;
d' - udaljenost zatezne ivice preseka do najbližeg reda zatezne armature.

Slika 16
Granične širine prslina au armiranobetonskih elemenata određuju se na osnovu ovog pravilnika, odnosno na osnovu posebnih zahteva iz projektnog zadataka ili tehnoloških, hidrotehničkih, arhitektonskih i drugih uslova projekta objekta. Najveće vrednosti graničnih širina prslina au date su u tabeli 12.
Tabela 12
Najveće vrednosti graničnih širina prslina au, u mm
|
Trajanje uticaja |
|
Agresivnost sredine |
stalno i dugotrajno promenljivo |
stalno, dugotrajno i kratkotrajno promenljivo |
slaba |
0,2 |
0,4 |
srednja |
0,1 |
0,2 |
jaka |
0,05 |
0,1 |
Pod agresivnošću sredine, u smislu ovog pravilnika, podrazumeva se:
1) slaba - za elemente u unutrašnjosti objekta, koji nisu izloženi vlazi, atmosferskim i korozivnim uticajima;
2) srednja - za elemente koji su izloženi vlazi, atmosferskim i slabijim korozivnim uticajima;
3) jaka - za elemente koji su izloženi jačim korozivnim uticajima, tečnim ili gasovitim, uključujući neposredno uticaj morske vode i vazduha u blizini mora.
Najveće vrednosti graničnih širina prslina au iz tabele 12 odnose se na armiranobetonske elemente s najmanjim zaštitnim slojevima betona propisanim u članu 121. ovog pravilnika. Za armiranobetonske elemente sa većim zaštitnim slojevima lakoagregatnog betona, najveće vrednosti graničnih širina prslina au mogu se srazmerno povećati, i to najviše do 50% od vrednosti iz tabele 12, ali ne manje od 0,4 mm.
Najveće vrednosti graničnih širina prslina au armiranobetonskih elemenata u kojima se skladište tečnosti i gasovi iznose 0,1 mm.
Proračun prema graničnim stanjima prslina nije neophodan za armiranobetonske elemente sa glatkom armaturom GA 240/360 i 220/340 ili sa rebrastom armaturom PA 400/500, koji se nalaze u sredini slabe ili srednje agresivnosti, ako primenjeni prečnik šipki Ø i koeficijent armiranja zategnute površine betona µz (u %) ispunjavaju uslov:
![]()
gde je:
au - granična širina prslina iz tabele 12, ali sa dozvoljenim odstupanjem + 0,2 mm;
µz (%) - koeficijent armiranja, koji se određuje zavisno od površine zategnute armature i zategnute površine betona:
![]()
s tim da se površina Abz određuje prema slici 16 ili, za složenije slučajeve, prema slici 16A, tako da:
kp - iznosi 35 za glatku armaturu;
30 za rebrastu armaturu;
K2 se razlikuje za sledeće slučajeve:
K2 = 0,125 savijanje niskog preseka;
K2 = 0,25 centrično zatezanje;
|
- ekscentrično zatezanje. |

Slika 16A
Armiranobetonski elementi proračunavaju se prema graničnim stanjima deformacija radi obezbeđenja funkcionalnosti konstrukcije, posebno radi obezbeđenja kompatibilnosti deformacija sa opremom, uređajima, pregradnim zidovima, ispunama, oblogama, izolacijama i sl., obezbeđenja potrebnih nagiba za odvodnjavanje, izbegavanja nepovoljnih psiholoških i estetskih utisaka i drugo.
Proračun prema graničnim stanjima deformacija zasniva se na dokazu da najveće deformacije armiranobetonskih elemenata u toku eksploatacije, uzimajući u obzir uticaje skupljanja i puzanja lakoagregatnog betona, nisu veće od graničnih deformacija.
Najveći ugibi elemenata Vmaks u toku eksploatacije ne smeju biti veći od graničnih ugiba Vu.
Vmaks≤ Vu
Ugibi armiranobetonskih elemenata V određuju se dvostrukom integracijom krivine K po dužini elementa I
V = H(dI)2
vodeći računa o graničnim uslovima.
Krivina armiranobetonskih elemenata zavisi od stanja prslina.
Za deo elementa bez prslina, krivina k1 u preseku određuje se iz ivičnih dilatacija u betonu k1b1 i ε1b2 za proračunski model preseka bez prislina visine d.
H' = |
ε'b1 ε'b2 |
|
|
d |
|
Za isprskali deo elementa, krivina H'' u preseku određuje se iz dilatacije u betonu na pritisnutoj ivici εIIb i iz dilatacije u zategnutoj armaturi (εIIa) za proračunski model preseka sa prslinom, statičke visine h, pri čemu se uzima u obzir sadejstvo zategnutog betona između prslina. Krivina H" u tom slučaju određuje se iz srednje dilatacije betona na pritisnutoj ivici εbs, po dužini elementa i iz srednje dilatacije zategnute armature εas po dužini elementa, pa je:
H'' = |
εbs + εas |
|
|
h |
|
Za izračunavanje ugiba armiranobetonskih elemenata, umesto sprovođenja dvostruke integracije, kao što je izloženo u prethodnom članu, može se - pogotovu u slučaju armiranobetonskog elementa konstantnog preseka betona i armature - ugib V računati iz izraza:
|
za element bez prslina, odnosno |
![]()
gde su:
H' H'' - izrazi za proračunavanje krivine, kao što je izloženo u članu 117. ovog pravilnika;
k1 - koeficijent koji zavisi od statičkog sistema i opterećenja, prikazan u tabeli 13.
Vrednosti koeficijenata k1 |
Tabela 13 |
|
|
Granični ugibi armiranobetonskih elemenata određuju se tako da bude obezbeđena funkcionalnost konstrukcije objekata, imajući na umu posebne zahteve iz projektnog zadatka objekta mašinskog ili tehnološkog, arhitektonskog i drugog projekta.
U nedostatku podataka iz stava 1. ovog člana, granični ugibi Vu armiranobetonskih elemenata mogu se odrediti u funkciji raspona 1
Vu = |
I |
|
|
ku |
|
pri čemu se za koeficijent ku mogu orijentaciono usvojiti vrednosti:
ku = 200 - za linijske elemente (uključujući ploče koje se proračunavaju kao linijski elementi), raspona 1 ≤ 7,0 m;
ku = 300 - za linijske elemente, raspona 1 ≤ 7,0 m;
ku = 150 - za konzolne elemente;
ku = 750 - za nosače kranskih staza.
Proračun prema graničnim stanjima deformacija nije neophodan za armiranobetonske elemente raspona 1 ≤ 5,0 m, ako nije reč o konzolnim elementima i nosačima kranskih staza kod kojih je ispunjen uslov:
![]()
gde je:
ku - koeficijent, čije su vrednosti date u članu 119. ovog pravilnika;
k1 - koeficijent, čije su vrednosti date u tabeli 13 člana 118. ovog pravilnika;
km - koeficijent zavisan od oblika poprečnog preseka, vrste armature i koeficijenta armiranja µ, čije su vrednosti za jednostruko armirani pravougaoni presek date u tabeli 14.
Tabela 14
Koeficijent km za jednostruko armirani pravougaoni presek
Koeficijent armiranja µ/%/ |
|
Vrsta armature |
|
|
GA |
RA |
MAG I MAR 500/560 |
B i A |
|
0,50 |
850 |
510 |
410 |
300 |
0,75 |
790 |
475 |
380 |
280 |
1,00 |
745 |
450 |
355 |
265 |
1,25 |
705 |
425 |
340 |
250 |
1,50 |
670 |
405 |
325 |
235 |
1,75 |
645 |
390 |
310 |
230 |
2,00 |
620 |
370 |
295 |
220 |
2,25 |
595 |
355 |
290 |
210 |
2,50 |
575 |
345 |
275 |
205 |
2,75 |
555 |
335 |
270 |
195 |
3,00 |
540 |
325 |
260 |
190 |
Vrednosti koeficijenata km iz tabele 14 koriste se i kod ploča koje se proračunavaju kao linijski elementi. Primena koeficijenta km za dvostruko armirane pravougaone preseke ili za T preseke je na strani veće sigurnosti.
Koeficijent uticaja skupljanja i puzanja lakoagregatnog betona α∞ , koji zavisi od odnosa pritisnute i zategnute armature A'a/Aa za prirodno vlažnu sredinu, iznosi:
αω = 2 - 1,2 |
A'a |
|
|
Aa |
|
Najmanji zaštitni sloj betona do bilo koje armature, uključujući i uzengije, određuje se zavisno od vrste elementa, odnosno konstrukcije, stepena agresivnosti sredine u kojoj se element nalazi, marke betona, prečnika armature i načina izvođenja, odnosno ugrađivanja betona.
Najmanji zaštitni slojevi betona do armature za elemente i konstrukcije u slabo agresivnim sredinama, izvedene betoniranjem na licu mesta, jesu:
- ao = 2,0 cm - za ploče, zidove i ljuske, kao i za rebraste i olakšane međuspratne konstrukcije;
- ao = 2,5 cm - za grede, stubove i ostale elemente konstrukcije koji nisu obuhvaćeni alinejom prvom ovog stava.
Najmanji zaštitni slojevi betona do armature iz stava 2. ovog člana povećavaju se:
za 1,0 cm - za elemente i konstrukcije u srednje agresivnim sredinama;
za 2,5 cm - za elemente i konstrukcije u jako agresivnim sredinama.
Agresivnost sredina određena je u članu 113. ovog pravilnika.
Najmanji zaštitni slojevi betona ao iz st. 2. i 3. ovog člana koriguju se, i to:
a) + 0,5 cm - ako površine elementa, odnosno konstrukcije posle betoniranja više nisu ili su veoma teško dostupne kontroli;
b) + 0,5 cm - za betone marke manje od MB 20;
v) + 1,0 cm - ako se površina lakoagregatnog betona naknadno obrađuje postupcima koji izazivaju oštećenja zaštitnog sloja betona;
g) + 1,0 cm - za konstrukcije koje se izvode klizajućom oplatom;
d) - 0,5 cm - za montažne elemente i konstrukcije proizvedene u fabričkim uslovima.
Korekcije najmanjeg zaštitnog sloja vrše se simultano.
Zaštitni sloj betona do bilo koje armature ne sme biti manji od prečnika tog profila armature. U slučaju grupisanja profila armature u svežanj, zaštitni sloj ao ne sme biti manji od prečnika zamenjujućeg profila svežnja armature, a uzima se od stvarnih površina profila armature grupisanih u svežanj. Zamenjujući profil svežnja armature određen je u članu 124. ovog pravilnika.
Najmanji zaštitni slojevi betona mogu biti uslovljeni i zahtevima otpornosti pri dejstvu požara ili drugim posebnim zahtevima u slučaju specijalnih konstrukcija ili elemenata i konstrukcija u sredinama neuobičajenog stepena ili karakteristika agresivnosti. Tada se mora voditi računa o svojstvima odabrane vrste lakoagregatnog betona, s obzirom na navedene specijalne uslove iz ovog člana.
Ako je potreban zaštitni sloj betona do armature, određen prema odredbama člana 121. ovog pravilnika, veći od 5,0 cm, zaštitni sloj se mora armirati posebnom tankom armaturnom mrežom.
Rastojanje te armature u zaštitnom sloju od spoljne površine betona ne može biti manje od 2,5 cm.
Armatura zaštitnog sloja ne uzima se pri dokazivanju napona, odnosno graničnih stanja.
Raspoređivanje armature u presecima elemenata
Razmak armature mora biti dovoljan da se obezbede uslovi za efikasno ugrađivanje lakoagregatnog betona, postizanje dobrog kvaliteta zaštitnog sloja betona do armature i efikasnog prianjanja lakoagregatnog betona i armature.
Čist horizontalan kao i čist vertikalan razmak između paralelnih pojedinačnih profila armature ne sme biti manji od 3,0 cm. Taj razmak mora biti najmanje jednak prečniku armature, a ne sme biti manji od 0,8 nazivnog prečnika najvećeg zrna agregata. Za profile armatura različitih prečnika koristi se profil većeg prečnika.
Odredbe ovog člana odnose se na mesto nastavljanja armature.
Čisto horizontalno rastojanje pojedinačnih profila armature mora biti takvo da omogućava prolazak pervibratora pri betoniranju u sve delove elementa gde je to neophodno radi efikasnog ugrađivanja lakoagregatnog betona.
Izuzetno, radi omogućavanja smeštanja podužne armature u poprečni presek jače armiranih elemenata, pojedinačni profili armature mogu se grupisati jedan uz drugi u svežnjeve, bez međusobnog razmaka u horizontalnoj, odnosno vertikalnoj ravni, vodeći računa o obezbeđenju uslova za efikasno ugrađivanje lakoagregatnog betona.
Najveći broj tako grupisanih profila armature u svežanj može biti 4. Pri tom se najviše dva profila mogu postaviti jedan uz drugi u istoj horizontalnoj ili vertikalnoj ravni bez međusobnog razmaka.
U svežanj se mogu grupisati i profili armature različitih prečnika.
Najviše dva profila BiA čelika mogu se postaviti jedan uz drugi u paralelnim ravnima bez međusobnog razmaka.
Za određivanje najmanjeg zaštitnog sloja betona do armature u svežnju, kao i za određivanje najmanjeg čistog razmaka između svežnjeva armature, merodavan je zamenjujući profil svežnja, pod kojim se podrazumeva fiktivan profil površine poprečnog preseka jednak površini preseka armature grupisane u svežanj. Tako određen minimalni čist razmak između svežnjeva meri se od stvarnih površina profila u susednim svežnjevima.
Najveći dozvoljeni zamenjujući prečnik svežnja armature je 44 mm. U elementima masivnih betonskih konstrukcija, ako se ne primenjuje armatura prečnika većeg od 20 mm, mogu se koristiti i svežnjevi sa većim zamenjujućim prečnicima, uz posebno dokazivanje da su obezbeđeni uslovi efikasnog prianjanja i usidrenja armature.
Dve uzengije mogu se postaviti jedna uz drugu bez međusobnog razmaka.
Podužna armatura od pojedinačnih profila glatkog, rebrastog ili Bi-čelika može biti prava ili povijena.
Armatura se povija ako je racionalno da se ona pri promeni uticaja duž raspona elementa koristi u različitim zonama preseka, ako se ista armatura duž raspona elementa koristi za prihvatanje različitih uticaja ili ako se na taj način postiže povoljnije usidrenje armature.
Prednost se mora davati ravnim, nepovijenim šipkama, a učešće armature u nosivosti prema transverzalnim silama poverava se kosim ili vertikalnim uzengijama.
Zavarene armaturne mreže se ne povijaju.
Podužna armatura od pojedinačnih profila glatkog ili rebrastog čelika može na krajevima imati kuke ili može biti prava bez kuka na krajevima.
Armatura od zavarenih mreža i armatura od Bi-čelika ugrađuju se bez kuka na krajevima, osim kad se koriste za izradu uzengija.
Uzengije se u linijskim elementima, po pravilu, oblikuju kao zatvorene, a samo izuzetno kao otvorene, kad je nekom drugom armaturom obezbeđeno poprečno opasivanje preseka armaturom. Uzengije se, po pravilu, zatvaraju na uglovima poprečnog preseka. Zatvaranje uzengija obezbeđuje se kukama na mestu zatvaranja, bez preklapanja. Kad su uzengije po celom obimu zategnute (dejstvo torzije i dr.), zatvaraju se sa potrebnim preklopom, prema čl. 129. do 132. ovog pravilnika.
Najveći prečnici profila armature koji se koriste za izradu uzengija u uobičajenim elementima konstrukcija su:
- Ø 16 - za uzengije od glatke armature;
- Ø 12 - za uzengije od rebraste armature;
- Ø 10 - za uzengije od zavarenih armaturnih mreža sa jednostrukim žicama;
- Ø 8 - za uzengije od zavarenih armaturnih mreža sa dvostrukim žicama;
- Ø 6 - za uzengije od Bi-čelika.
Najmanji prečnici povijanja podužne armature i uzengija, mereni na unutrašnjoj konturi povijenih profila, za različite vrste betonskih čelika, dati su u tabeli 15.
Tabela 15
Najmanji prečnici povijanja podužne armature i uzengija za različite vrste betonskih čelika
|
Vrste čelika |
||||
Najmanji prečnici povijanja |
|
GA 240/360 |
RA 400/500 |
MAG i MAR |
Bi 680/800 |
Podužna armatura (osim kuka) |
D1 |
15 Ø |
15 Ø |
ne povija se |
20 Ø |
Kuke na krajevima podužne armature |
D2 |
8 Ø za Ø ≤ 20 |
13 Ø |
bez kuka |
bez kuka |
Savijanje i kuke na krajevima uzengija |
D3 |
5 Øu (za Øu ≤ 16) |
7 Øu (za Øu ≤ 12) |
4 Øu |
6 Ø |
Prečnici podužnih žica Bi-čelika izraženi su u desetim delovima milimetra.
Standardne kuke na krajevima glatke podužne armature su polukružne. Polukružne kuke oblikuju se povijanjem armature za 180°, sa pravim delom dužine 4 Ø, ali ne manje od 4 cm na kraju kuke u produžetku krivine. Na slici 17 prikazani su: povijanje glatke produžne armature, oblik standardne polukružne kuke i potrebne dodatne dužine DIk za ispravno oblikovane kuke.
Standardne kuke na krajevima rebraste podužne armature su pravougaone. Oblikuju se povijanjem armature, za 90°, sa pravim delom dužine 8 Ø, ali ne manje od 8 cm,

Slika 17
na kraju kuke u produžetku krivine. Na slici 18 prikazani su: povijanje rebraste podužne armature, oblik standardne pravougaone kuke i potrebne dužine DIk za ispravno oblikovane kuke.

Slika 18
Standardne kuke na krajevima uzengija od glatke armature oblikuju se kao kose kuke, povijanjem armature za 135°, sa pravim delom dužine 5 Ø, ali ne manje od (8 - 3 Øu) cm na kraju kuke, u produžetku krivine.
Na slici 19 prikazane su standardna kuka za krajeve uzengija od glatke armature, potrebne dodatne dužine DLku, i zatvorena pravougaona uzengija potrebne ukupne dužine Iu za izradu zatvorenih pravougaonih uzengija, sa merama spoljašnje konture au i bu.

Slika 19
Standardne kuke na krajevima uzengija od rebraste armature oblikuju se kao pravougaone kuke, povijanjem armature za 90°, sa pravim delom dužine 10 Ø, ali ne manje od 8 cm na kraju kuke u produžetku krivine. Na slici 20 prikazana je standardna pravougaona kuka za krajeve uzengija od rebraste armature, potrebne dodatne dužine Δlku, i zatvorena pravougaona uzengija, potrebne ukupne dužine armature Iu, za izradu zatvorenih pravougaonih uzengija sa dimenzijama spoljašnje konture au i bu.

Slika 20
Kad se zavarene armaturne mreže koriste za izradu uzengija, na krajevima moraju imati pravougaone kuke oblikovane povijanjem armature za 90°, sa prečnikom povijanja 4 Øu. Na pravom delu, dužine ne manje od 10 Øu na kraju kuke u produžetku krivine, mora biti najmanje jedna zavarena poprečna žica, udaljena najmanje 2 cm od kraja uzengije. Poprečne žice, bilo sa unutrašnje ili sa spoljašnje strane uzengija, ne smeju biti bliže od 4 Øu od početka, odnosno do kraja krivine. Na slici 21 prikazane su minimalne dodatne dužine DIku.

Slika 21
Uzengije od Bi-čelika moraju na krajevima imati pravougaone kuke, oblikovane povijanjem armature za 90°, sa određenim prečnikom povijanja od 6 Øu, sa pravim delom dužine najmanje 15 Øu ne manje od razmaka prečki (95 mm) na kraju kuke u produžetku krivine.
Na slici 22 date su i potrebne dodatne dužine profila DIku za ispravno oblikovanje kuka.

Slika 22
Sidrenje profila armature može se vršiti pravim delom, sa kukom, povijanjem profila u petlju i sa profilima sa zavarenim poprečnim šipkama. Sidrenje se može izvršiti i na drugi način, s tim da sigurnost sidrenja šipke armature u armiranobetonskim konstrukcijama mora biti najmanje 1,8, što se mora dokazati ispitivanjima.
Dužina sidrenja zavisi: od položaja profila u elementu pri betoniranju, od vrste čelika, od marke betona i prečnika profila armature.
Granični naponi prianjanja fp u uslovima dobre adhezije zavise od položaja armature pri betoniranju, a odnose se:
- na armaturu koja je pri betoniranju nagnuta za 45° do 90° prema horizontali ako je armatura rebrasta. Za glatku armaturu uzima se da se ona nalazi u prosečnim ili lošim uslovima usidrenja;
- na armaturu koja je pri betoniranju nagnuta za manje od 45° prema horizontali ili na horizontalnu armaturu ako se profili ove armature pri betoniranju nalaze u donjoj polovini poprečnog preseka elementa ili su udaljene za najmanje 30 cm od gornje slobodne površine elementa.
Ako se armatura nalazi u uslovima dobre adhezije, važe vrednosti za granični napon prianjanja iz tabele 16.
Za armaturu koja se nalazi u uslovima prosečne ili loše adhezije, za određivanje graničnog napona prianjanja, vrednosti iz tabele 16 množe se sa 0,5.
Tabela 16
Granični napon prianjanja fp u MPa, za uslove dobre adhezije
Vrsta armature |
Marka betona (MB) |
|||||||
10 |
15 |
20 |
25 |
30 |
35 |
40 |
50 |
|
Glatka armatura, GA |
1,0 |
1,1 |
1,2 |
1,3 |
1,4 |
1,5 |
1,6 |
1,7 |
Rebrasta armatura, RA |
1,6 |
2,1 |
2,5 |
2,9 |
3,3 |
3,7 |
4,0 |
4,6 |
Za uslove lošije adhezije vrednosti iz tabele 16 množe se faktorom 0,5.
Dužina sidrenja armature (Is) pravog dela bez kuke, za glatku armaturu GA i rebrastu armaturu RA, određuje se prema izrazu:
![]()
gde je:
Ø - prečnik profila koji se sidri;
σv - granica razvlačenja čelika, odnosno granica σ02;
fp - granični napon prianjanja prema tabeli 16.
Efektivna dužina sidrenja zavisi od tipa usidrenja i stvarnog (efektivnog) napona u armaturi i izračunava se prema izrazu:
![]()
gde je:
Is,ef - efektivna dužina sidrenja;
Aa,rač - potrebna površina armature, prema proračunu;
Aa,ef - efektivna površina armature;
α = 1,0 - za sidrenje pravim šipkama bez kuka, napregnutim na zatezanje ili pritisak, kao i za sidrenje pritisnutih šipki sa kukama;
α = 0,7 - za sidrenje zategnutih šipki sa kukama;
Is,min = 0,3 Is ∢ 10 Ø 10 cm - za zategnute šipke;
Is,min = 0,6 Is ∢ 10 Ø ∢ 10 cm - za pritisnute šipke.
U zoni usidrenja zategnute i pritisnute armature, za utezanje preseka mora se obezbediti poprečna armatura ili uzengije. Ako je prečnik profila koji se sidre veći od 16 mm, za zategnute, kao i za pritisnute šipke na dužini Is,ef obezbeđuje se poprečna armatura (uzengije), koja može da prihvati 20% sile u podužnoj armaturi koja se sidri.
Šipke grupisane u svežnjeve (cvasti) sidre se na način propisan za sidrenje pojedinačnih šipki, pa je za svežnjeve od 2, 3 ili 4 profila dužina sidrenja 1,2, odnosno 1,3 ili 1,4 puta veća od dužine usidrenja pojedinačne šipke.
Šipke iz svežnja, po pravilu, pri sidrenju treba tako raspletati da se iz jednog svežnja u jednom mestu mogu usidriti najviše dve šipke.
Sidrenje zategnute glatke armature pravim šipkama bez kuka ne dozvoljava se, osim kad se ne može izvesti usidrenje kukama.
Sidrenje profila zategnute rebraste armature vrši se pravim delom, ili pravim delom sa pravougaonom kukom (90°).
Sidrenje profila pritisnute armature, po pravilu, vrši se bez kuka.
Kuke zategnute armature ne postavljaju se u blizini slobodne površine betona.
Na dužini usidrenja Is,ef vrši se utezanje betona uzengijama da bi se izbegli nepovoljni uticaji sile cepanja.
Ako u zoni usidrenja postoje uticaji koji uravnotežuju sile cepanja (oslonačke zone) ili ako je prečnik podužne armature Ø ≤ 16 mm, poprečna armatura u zoni sidrenja može se izostaviti.
Pri sidrenju petljama prečnik mora unutar krivine petlje ispuniti sledeći uslov da bi se izbeglo cepanje betona u ravni sidrenja:
![]()
gde je:
Ø - prečnik armature;
e - manja od vrednosti razmaka ravni susednih petlji ili odstojanja ravni petlje do spoljne površine betona;
σa,ef - stvarni napon u armaturi na početku krivine petlje;
fk - pritisna čvrstoća betona (MB).
Usidrene šipke od glatke armature za prijem glavnih napona zatezanja moraju na krajevima imati kuke i prave delove, a usidrene šipke rebraste armature ne moraju imati kuke na krajevima.
Dužina sidrenja povijene šipke koja prima glavne napone zatezanja računa se samo na pravom delu. Dužina sidrenja tog dela iznosi 60% dužine sidrenja određene u članu 135. ovog pravilnika (slika 23a) ako se šipka sidri u pritisnutoj zoni, a 1,3 Is ako se šipka sidri u zategnutoj zoni (slika 23b).

Slika 23
Podužna glatka i rebrasta armatura za prijem sila zatezanja mogu se sidriti u betonsku masu, pravim delom, a i povijanjem pod uglom od 45°.

Slika 24
Na slici 24a - prikazano je mogućno sidrenje u zategnutoj zoni za dobre uslove adhezije.
Na slici 24b - prikazano je mogućno sidrenje u zategnutoj zoni za uslove loše adhezije.
Sidrenje iz stava 1. ovog člana izvodi se obavezno kukom na kraju šipke za glatku armaturu, a sa kukom ili bez nje - za rebrastu armaturu.
Kod veoma visokih nosača armatura za prijem sila zatezanja od glavnih napona zatezanja može se sidriti u pritisnuti deo betona samo pravim delom šipke i kukom za glatku armaturu ili samo pravim delom ili pravim delom i kukom za rebrastu armaturu, ako pravi deo šipke, mereno od sistemne linije, ima dovoljnu dužinu usidrenja (slika 25).

Slika 25
Mrežasta armatura sidri se bez kuka, osim kad se koristi za uzengije. U tabeli 17 date su dužine ankerovanja Ia za zavarene mreže u slučaju pretežno mirnog opterećenja.
Tabela 17
Dužine sidrenja za zavarene mreže za pretežno mirno opterećenje
Prečnik šipke u mm |
Položaj |
Glatki čelik MAG |
Rebrasti čelik MAR |
|
jednostruke |
dvostruke |
|||
≤ 12 |
≤ 8,5 |
A |
³ 70 cm min. 5 poprečnih šipki |
³ 70 cm min. 5 poprečnih šipki |
|
|
B |
³ 25 cm min. 3 poprečne šipke |
³ 25 cm min. 2 poprečne šipke |
8,5 < Ø ≤ 12 |
A |
³ 90 cm min. 9 poprečnih šipki |
³ 90 cm min. 7 poprečnih šipki |
|
|
|
B |
³ 35 cm min. 3 poprečne šipke |
³ 35 cm min. 3 poprečne šipke |
Položaj B - šipke
nagnute za 45° do 90° prema horizontali, kao i blaže nagnute i horizontalne
šipke, ako su u donjoj polovini poprečnog preseka nosača ili najmanje
30 cm od gornje ivice. |
||||
Pri opterećenjima koja nisu pretežno mirna, broj poprečnih šipki povećava se za jednu šipku u odnosu na vrednosti iz tabele 17.
Dužina sidrenja zategnute i pritisnute Bi-armature iznosi najmanje četiri osovinska razmaka prečki za dobre uslove adhezije i pet odstojanja prečki za loše uslove adhezije.
Zategnuta armatura, po pravilu, ne nastavlja se preklapanjem. Ako se nastavljanje ne može izbeći, ono se izvodi u područjima manjih naprezanja.
Zategnuta armatura se nastavlja preklapanjem profila sa kukama ili bez kuka, sa zavarenom poprečnom armaturom na mestu preklopa ili na bilo koji drugi način, s tim da primenjeni nastavak ima sigurnost propisanu ovim pravilnikom. Armatura nastavljena elektrootpornim zavarivanjem ne smatra se armaturom nastavljenom prema odredbama ovog pravilnika.
Dužina nastavka na preklop zategnute armature Ia mora zadovoljiti sledeće uslove:
![]()
gde je:
Io,min = 0,3 α • α1 Is∢ 15 Ø ∢ 20 cm;
Is,ef α - kao u članu 136. ovog pravilnika.
Vrednosti koeficijenta α1 date su u tabeli 18, u funkciji procenta armiranja šipkama koje se nastavljaju u istom preseku.
Tabela 18
Vrednosti koeficijenta α1
Čist razmak između dva susedna preklapanja u jednom preseku |
Čist razmak od najbliže površine betona |
Procent nastavljanja šipki preklapanjem u jednom preseku, u % |
||||
20 |
25 |
33 |
50 |
> 50 |
||
a £ 10 Æ |
b £ 5 Æ |
1,2 |
1,4 |
1,6 |
1,8 |
2,0 |
a > 10 Æ |
b > 5 Æ |
1,0 |
1,1 |
1,2 |
1,3 |
1,4 |

Slika 26
Najveći dozvoljeni procent nastavljanja zategnute armature preklapanjem u jednom preseku može da iznosi:
100% - za rebrastu armaturu profila Ø < 16 mm;
50% - za rebrastu armaturu Ø ³ 16 mm;
50% - za glatku armaturu Ø < 16 mm;
25% - za glatku armaturu Ø ³ 16 mm.
Procent nastavka pritisnute armature na preklop može iznositi do 100% ukupne armature u preseku. Dužina preklapanja ne može biti manja od dužine sidrenja određene izrazom iz člana 135. ovog pravilnika.
Dužina preklopa nosive mrežaste armature MAG i MAR određena je u tabeli 19.
Tabela 19
Dužine preklopa mrežaste armature
Armatura u nosivom pravcu |
Prečnik Ø, u mm |
Uslovi adhezije |
Dužina preklopa, u cm |
Najmanji broj poprečnih žica |
||
MAG |
MAR |
MAG |
MAR |
|||
Jednostruke žice |
£ 12 |
dobri |
40 |
35 |
4 |
3 |
loši |
40 |
35 |
5 |
3 |
||
Dvostruke žice |
< 8,5 |
dobri |
40 |
35 |
4 |
3 |
loši |
40 |
35 |
5 |
4 |
||
|
8,5 < Ø £ 12 |
dobri |
50 |
45 |
5 |
4 |
loši |
50 |
45 |
6 |
5 |
||
Dužina preklopa glatke i rebraste nenosive mrežaste armature data je u tabeli 20.
Tabela 20
Dužina preklopa nenosive mrežaste armature
Poprečne žice |
Ø, u mm |
Uslovi adhezije |
Dužina preklopa, u cm |
Broj podužnih žica |
Jednostruke i |
£ 6,5 |
dobri |
15 |
2 |
dvostruke žice |
> 6,5 |
loši |
20 |
3 |
Dužina preklopa kod Bi-armature iznosi najmanje pet osovinskih rastojanja prečki za dobre uslove adhezije, a šest osovinskih rastojanja - za lošije uslove adhezije.
U slučaju nastavljanja armature preklapanjem, ako se nastavljaju šipke Ø ³ 16 mm ili ako se u jednom preseku nastavlja više od polovine ukupne armature, poprečna armatura (uzengije) mora se proračunati. Armatura se proračunava iz poprečne sile jednake trećini ukupne sile u nastavljenoj armaturi u jednom preseku, pri čemu se uzengije postavljaju na dužini preklapanja, čiji razmak ne sme biti veći od 5 Ø, gde je Ø - prečnik nastavljene armature.
Nastavljanje armature zavarivanjem, osim elektrootpornim zavarivanjem, može se primenjivati samo kad je postupak zavarivanja propisan u projektu. Mogućnost dobrog nastavljanja armature zavarivanjem, ako odstupa od uobičajenih i poznatih proverenih postupaka, mora se dokazati prethodnim ispitivanjem.
Potrebna površina podužne armature kod nosača izloženih savijanju određuje se, po pravilu, prema liniji zatežućih sila.
Linija zatežućih sila dobija se pomeranjem linije M/Z za veličinu v1 = α1 • h u pravcu ose nosača (slika 27), gde je:
h - statička visina nosača;
α1 - koeficijent, čija veličina zavisi od efikasnosti armature za prijem glavnih napona zatezanja;
α1 = 0,5 - kad se glavni naponi zatezanja prihvataju kosim šipkama i uzengijama;
α1 = 0,75 - kad se glavni naponi zatezanja prihvataju uzengijama ili kad za glavne napone zatezanja nije potrebno osiguranje armaturom.
Dužine sidrenja Is,ef odmeravaju se od računski krajnje tačke R.
Ako je presek nosača promenljive visine, pri određivanju veličine pomeranja v 1 u račun se uzima korisna visina odgovarajućeg preseka.
|
|
Slika 27 |
Podužna armatura koja se mora prevesti preko slobodnog krajnjeg oslonca ili krajnjeg oslonca sa delimičnim ukleštenjem mora iznositi najmanje:
- jednu trećinu armature u polju za gredne nosače;
- jednu polovinu armature u polju za ploče.
Profili armature koji se provode preko tih oslonaca sidre se sa dve trećine efektivne dužine sidrenja, prema članu 136. ovog pravilnika, računajući dužinu usidrenja od kontakta nosača i oslonca - u slučaju direktnog oslanjanja, a punu dužinu Is,ef, računajući tu dužinu od trećine širine oslonca - u slučaju indirektnog oslanjanja (zona zatezanja u području sidrenja, slike 28a i 28b).
|
Slika 28 |
Pri nastavljanju vertikalne armature (ankeri stubova), predviđaju se, za seizmička područja, nastavci bez kuka. Na dužini preklopa postavljaju se uzengije na manjem razmaku nego u samom stubu, prema propisima za izgradnju objekata u seizmički aktivnim područjima.
Nastavci zategnute armature izvedeni preklopom za ekscentrično pritisnute elemente koji se računaju po fazi I mogu se izvoditi bez kuka, s tim što se dužina preklopa za glatku i rebrastu armaturu određuje prema članu 146. ovog pravilnika.
Ako se u jednom preseku nastavlja više od jedne polovine armature, nastavci armature moraju se izvoditi sučeonim zavarivanjem.
Nastavci zategnute armature na prelomima (tj. na mestu priključka dva nosača) pod uglom α ≤ 160° izvode se umetanjem pravih šipki koje se sidre u pritisnutu zonu betona potrebnom dužinom sidrenja. Svaki ugao preloma mora se utegnuti uzengijama (slika 29a).
Ako je ugao preloma a veći od 160°, zategnute šipke armature mogu da slede krivinu preloma ako svaki profil bude direktno vezan uzengijama sa armaturom u pritisnutoj zoni (slika 29b).

Slika 29
VI KONSTRUISANJE ELEMENATA I KONSTRUKCIJA
Konstrukcije i elementi od armiranog lakoagregatnog betona konstruišu se u skladu sa pretpostavkama usvojenim u statičkom proračunu.
Uticaji neminovnog odstupanja između usvojenog sistema konstrukcija u statičkom proračunu i stvarnog izvođenja moraju se uzeti u obzir pri projektovanju i konstruisanju konstrukcija.
Dilatacione razdelnice (fuge) raspoređuju se tako da se uticaji, usled skupljanja betona, temperaturnih promena ili nejednakog sleganja oslonaca svedu na meru koja će zadovoljiti postavljene zahteve.
Teorijski rasponi, oslonci i ukleštenja
Ploče i grede po pravilu se proračunavaju kao da se na osloncima mogu slobodno okretati. Ako se pri proračunu pretpostavi slobodno okretanje na osloncima, dijagram momenata iznad oslonaca ne sme se parabolično zaobliti (slika 30).
Ako rasponi slobodno oslonjenih ploča ili greda nisu tačno utvrđeni konstrukcionim merama, kao raspon se uzima u proračun svetli otvor, uvećan za 5%. Za kontinualne ploče, odnosno grede kao rasponi se uzimaju osovinska odstojanja zidova, podvlaka ili stubova.
Ako su širine oslonaca (podvlake, zidovi ili stubovi) veće od 10% svetlog otvora ploča ili greda, za raspone kontinualnih ploča, odnosno greda mogu se uzeti svetli otvori uvećani za 5%, i sa tim rasponima izraditi fiktivne šeme nosača za proračun. U takvim slučajevima oslonački preseci mogu se dimenzionisati prema redukovanim momentima savijanja nad osloncima.
|
|
Slika 30 |
Za ploče i grede u visokogradnji koje su kruto povezane sa svojim osloncima, dovoljno je da se za jednako podeljena opterećenja odrede najveći momenti na ivicama oslonaca (preseci I i II na slici 31) i prema njima izvrši dimenzionisanje preseka.
Ako se ploče ili grede na osloncima ojačavaju vutama, računska korisna visina preseka na mestu ojačanja ne sme biti veća nego što bi bila da je nagib vute 1:3 (slika 31).

Slika 31
Pozitivni momenti u poljima kontinualnih ploča ili greda ne smeju se uzeti u proračun manji nego što bi bili da se pretpostavi obostrano puno ukleštenje u srednjim poljima, odnosno jednostrano puno ukleštenje u krajnjim poljima odnosnih ploča ili greda.
Pri proračunu momenta u polju, u krajnjim rasponima ploča ili greda, ukleštenje na krajnjim osloncima može se uzeti u obzir samo ako je konstruktivnim merama obezbeđeno i računski dokazano.
U visokim stambenim i sličnim zgradama koje su ukrućene vertikalnim zidnim platnima, momenti savijanja u okvirnim konstrukcijama koji nastaju usled vertikalnih opterećenja mogu se zanemariti na unutrašnjim stubovima, dok se ivični stubovi, kruto povezani sa gredama, računaju kao stubovi okvirne konstrukcije.
U stambenim i sličnim zgradama određivanje momenata i transverzalnih sila za tavanice od ploča, sitnih rebara i greda može se određivati za puno opterećenje svih polja, pri čemu se mora voditi računa o kontinuitetu i ukleštenju. Ako su rasponi različiti, istovremeno puno opterećenje svih polja može se uzeti u proračun samo ako odnos raspona susednih polja nije manji od dve trećine.
Reakcije koje se prenose sa međuspratne konstrukcije na stubove, odnosno druge elemente građevine uzimaju se, po pravilu, sa dejstvom kontinuiteta.
Dejstvo kontinuiteta mora se obavezno uzeti u obzir ako nosači idu samo preko dva polja ili ako je odnos raspona susednih polja manji od dve trećine.
Koncentrisana opterećenja koja dejstvuju na ploče, rebraste tavanice ili tavanice sa šupljim telima mogu se uzeti u proračun kao lokalno ravnomerno podeljeno opterećenje na lokalnoj površini e1 • e2 (slika 32).
Raspodela opterećenja kroz rastresite slojeve uzima se sa nagibom 2:1, a kroz čvrste slojeve (beton i sl.) - sa nagibom 1:1.
Lokalna raspodela opterećenja u srednjoj ravni ploče je na površini b1 • b2.
Pravougaona površina opterećenja može se zameniti krugom iste površine (slika 32), ako je zadovoljila odnos
2/3 ≤ b1/b2 ≤ 1,5

Slika 32
Grede su linijski nosači proizvoljnog preseka koji su pretežno napregnuti na savijanje. Grede T preseka su linijski nosači kod kojih su ploče i grede međusobno kruto povezane i zajednički sadejstvuju u prijemu statičkih uticaja.
Najmanji razmaci između šipki armature određuju se prema čl. 123. i 124. ovog pravilnika.
Odredbe za najmanje razmake između šipki armature važe i na mestima nastavljanja armature preklapanjem. Na mestima najvećih momenata u poljima i na osloncima, odnosno na mestima uklještenja, razmak šipki podužne armature ne sme iznositi više od 15 cm.
Šipke glatke armature (GA) koje su zategnute celom dužinom ili delimično, moraju na krajevima imati kuke.
Površina preseka glavne podužne armature na mestima najvećih momenata, u poljima i na osloncima, mora iznositi najmanje 0,25% površine preseka grede. Ako se upotrebi visokovredni čelik sa σv³ 400 MPa, taj procent mora iznositi najmanje 0,2.
Za izračunavanje minimalnog procenta armiranja u armiranobetonskom preseku, zavisno od marke betona, može se koristiti izraz:
![]()
gde su:
fk - marka lakoagregatnog betona, u megapaskalima;
σv - granica razvlačenja čelika, u megapaskalima.
Na bočnim stranama greda i greda T preseka, čija visina iznosi više od 50 cm, rastojanje podužnih šipki armature može iznositi najviše 30 cm, a prečnik te armature mora biti Ø ³ 8 mm.
U seizmički aktivnim područjima, podužna armatura u gredama i kontinualnim nosačima okvirnih sistema, na mestu oslonaca, postavlja se obostrano, tako da količina pritisnute armature iznosi najmanje 50% od potrebne zategnute armature. U blizini čvorova okvira, na dužini nosača od 0,2 l gde je l teorijski raspon nosača, postavljaju se zatvorene uzengije sa preklopom na dvostruko manjem razmaku od maksimalno potrebnog razmaka.
U gredama se moraju najmanje dve šipke glavne armature produžiti pravo preko ivice slobodnih oslonaca. Te šipke moraju na krajevima imati kuke i ležati uz bočne strane preseka grede (šipke A na slici 33). Ako se proračunom dokaže da je napon prianjanja veći od dozvoljenog napona, broj šipki koje se produžuju preko ivice slobodnog oslonca određuje se proračunom. Šipke koje se produžuju moraju se tako sidriti da bar početak kuke pada unutar oslonca za najmanje 3 cm. U tom slučaju potrebno je osigurati kraj nosača pomoću U uzengija. Za svako sidrenje mora se proračunati otvor kuke (Dr).

Slika 33
Ako se primenjuje koso povijanje armature, ta armatura mora biti pravilno raspoređena na delu grede na kome treba primiti glavne napone zatezanja. Rastojanje koso povijenih šipki i uzengija određuje se tako da se kosa zatežuća sila što pravilnije raspodeli na povijene šipke i uzengije.
Na mestima na kojima ukupne glavne napone zatezanja preuzima armatura, najveći razmak koso povijene armature ili kosih uzengija iznosi ek = 3/4 • h, gde je h - ukupna visina nosača (slika 34).
Kad je tr < tn ≤ 5tr, najveći razmak kose armature iznosi najviše 0,5 h, odnosno 30 cm.
Grede moraju po celoj dužini osiguranja imati uzengije na razmaku od 2/3 • h, ali ne više od 30 cm.
Kad je tr < tn ≤ 5tr, razmak tih vertikalnih uzengija ne sme premašiti 1/3 • h, odnosno 20 cm.
Pri dvostrukom armiranju preseka uzengije moraju biti, na razmaku od 15 Ø, gde je Ø - prečnik najtanje šipke podužne pritisnute armature.
Prečnik uzengija mora iznositi najmanje 6 mm.

Slika 34
Korisna sadejstvujuća širina pritisnute ploče kod greda T preseka (slika 35) koja se koristi u proračunu pri dimenzionisanju preseka može se odrediti teorijski ili ispitivanjem. Za podeljena opterećenja uzima se kao merodavna manja vrednost iz sledećih izraza:

Slika 35
1) b = b0 + 20 d
2) b = b0 + 0,25 I0
3) b = e
gde je:
b0 - širina grede.
I0 - raspon obostrano slobodno oslonjene grede, odnosno rastojanje nultih tačaka momentne površine na delu nosača na kome je ploča pritisnuta;
d - debljina pritisnute ploče;
e - osovinski razmak grede.
Ako se pritisnuta ploča nalazi većim delom samo s jedne strane grede (slika 36), greda se sme računati kao simetrična greda T preseka, ako je uklonjena svaka mogućnost pomeranja u stranu ili mogućnost torzije. Za korisnu širinu pritisnute ploče može se za podeljena opterećenja uzeti u proračun najmanja od sledećih vrednosti:

Slika 36
1) b' = b0 + b1 + 8 • d, ili
2) b' = b0 + b1 + 0,25 • I0/3, ili
3) b' = 0,5 • e
Prikazani izrazi u st. 1. i 2. ovog člana za određivanje korisne širine pritisnute ploče T i G greda važe pod uslovom da debljina ploče na spoju sa gredom iznosi najmanje jednu desetinu ukupne visine nosača, ali ne manje od 8 cm.
Ako je odnos debljine ploče i ukupne visine nosača manji od jedne desetine (ali ne manji od 8 cm), izrazi iz st. 1. i 2. ovog člana zamenjuju se izrazima:
1) b' = b0 + 12 • d
2) b' = b0 + b1 + 5 d
3) b' = 0,5 • e
Ako pretpostavke iz stava 2. ovog člana o sprečavanju pomeranja ili uvrtanja (torzije) nisu ispunjene, grede sa jednostranom pritisnutom pločom moraju se proračunavati kao grede sa kosim glavnim osovinama preseka (koso savijanje).
Za sitno rebraste tavanice i tavanice sa šupljim telima važe odredbe člana 170. ovog pravilnika.
Sitnorebraste tavanice i tavanice sa šupljim telima
Sitnorebrastim tavanicama, odnosno tavanicama sa šupljim telima mogu se smatrati samo tavanice kod kojih osovinski razmak rebara nije veći od 75 cm.
Debljina pritisnute ploče takvih tavanica mora iznositi najmanje jednu desetinu osovinskog razmaka rebara, ali ne manje od 4 cm.
U pritisnutoj ploči tavanica iz stava 2. ovog člana kod kojih je razmak rebara e ³ 40 cm, mora se uvek staviti armatura upravno na pravac rebara, i to najmanje Ø 6 na 25 cm. Ako se koristi mrežasta armatura (MA), onda je Ø ³ 4 mm na razmaku od 25 cm. Podeona armatura mora biti najmanje od jedne šipke Ø 6 između rebara.
Uzengije u rebrima tavanica moraju biti na razmaku koji nije manji od razmaka armature u ploči upravno na rebra i izvode se s preklopima koji obezbeđuju prijem negativnih momenata u ploči (slika 37).
Tavanice sa šupljim telima, sa pritisnutom pločom ili bez nje, proračunavaju se ne uzimajući u obzir sadejstvo šupljeg tela.

Slika 37
Ako je sistematskim ispitivanjima dokazano sadejstvo šupljih tela, jedan deo sile pritiska može se preneti na šuplja tela.
Tavanice sa šupljim telima smeju se izvoditi, kad je propisima za građenje u seizmički aktivnim područjima to dozvoljeno, i ako poprečna rebra obezbeđuju zajedničko dejstvo glavnih rebara.
Sitnorebraste tavanice moraju imati dovoljan broj poprečnih rebara za ukrućenje, i to:
1) jedno rebro za ukrućenje - za raspone tavanica od 3 do 6 m;
2) dva rebra za ukrućenje - za raspone tavanica 6,0 m < 1 ≤ 9,0 m;
3) tri rebra za ukrućenje - za raspone tavanica 9,0 m < 1 ≤ 12,0 m.
Rebra za ukrućenje moraju biti istog preseka kao i glavno rebro i moraju biti armirana sa najmanje jednom šipkom u donjoj i gornjoj zoni. Presek donje i gornje armature mora biti jednak najmanje polovini površine zatezne armature glavnih rebara.
Stubovi su elementi konstrukcije izloženi pretežno pritisku, sa odnosom strana poprečnog preseka b ≤ 5 d, gde je d manja strana stuba (kad je presek stuba pravougaonik).
Zidovi su elementi konstrukcije izloženi pretežno pritisku, sa odnosom strana poprečnog preseka b > 5 d.
Stubovi čije su mere preseka manje od 20 cm, zidovi debljine < 12 cm, kao i spiralno armirani stubovi izrađuju se od betona MB ³ 20. Prečnik spiralno armiranih stubova mora iznositi najmanje 20 cm.
Minimalna debljina armiranobetonskih zidova iznosi:
- 10 cm - za zidove livene na licu mesta;
- 8 cm - za montažne zidove;
i to ako su zidovi povezani kontinuiranim međuspratnim konstrukcijama. Ako ne postoji kontinuitet u međuspratnim konstrukcijama, minimalna debljina zidova iznosi:
- 12 cm - za zidove livene na licu mesta;
- 10 cm - za montažne zidove.
Minimalna debljina zida iz stava 4. ovog člana mora se povećati ako to zahteva proračun zida na izvijanje ili ako to proizlazi iz potrebe pravilnog rasporeda armature u preseku ili kvalitetnog ugrađivanja betona.
Prečnik šipke podužne armature u stubovima iznosi najmanje 12 mm, s tim da minimalni broj tih šipki bude četiri u stubovima pravougaonog preseka, a šest u stubovima okruglog preseka.
Prečnik šipke ili žice u nosećim zidovima iznosi najmanje 8 mm.
Zidovi se mogu armirati i mrežastom armaturom (MA), sa najmanjim prečnikom podužne armature 5 mm.
Najmanji koeficijent armiranja podužnom armaturom u centrično pritisnutim stubovima, zidovima i platnima, ako granična računska sila Nu dosegne graničnu nosivost preseka, u procentima, iznosi:
![]()
gde su:
Aa i Ab - površine preseka podužne armature, odnosno betona;
λi - merodavna vitkost.
Za preseke koji su dosegli graničnu nosivost preseka, procent armiranja µ ne sme da bude manji od 0,6% niti veći od 6%.
Ako granična nosivost preseka nije dosegnuta, minimalni procent podužne armature u zidu ili stubu može se smanjiti, s tim da ne bude manji od 0,3% stvarnog betonskog preseka stuba ili nosećeg zida.
Da bi se sprečilo lokalno izbočavanje pojedinih šipki podužne armature u pritisnutim linijskim elementima, međusobni razmak uzengija ne sme da prelazi 15-struki prečnik najtanje šipke podužne armature ni manju dimenziju poprečnog preseka pritisnutog elementa, odnosno 30 cm. U spiralno armiranim pritisnutim elementima hod spirale ne sme biti veći od jedne petine prečnika betonskog jezgra niti veći od 8 cm.
U području stuba u koji se uvodi sila, na dužini jednakoj 1,5 puta kraća strana stuba, kao i u području nastavka podužne armature, postavljaju se zatvorene uzengije na preklop po kraćoj strani preseka za prijem poprečnih zatežućih sila.
Razmak tih uzengija iznosi 7,5 Ø, ali ne više od 15 cm, odnosno usvojenog razmaka uzengija u stubu.
U seizmički aktivnim područjima stubovi se armiraju tako što se podužna armatura prevodi preko čvorova za po 1 m najmanje (bez nastavljanja na preklop), s tim da se zatvorene uzengije sa zatvaranjem na preklop na kraćoj strani preseka postavljaju na najvećem razmaku od 7,5 Ø, odnosno 10 cm. Na ostaloj dužini stuba postavljaju se normalne uzengije bez preklopa na najvećem razmaku 15 Ø ili 20 cm.
U stubovima pravougaonih preseka sa više od četiri šipke armature predviđaju se, pored uzengija, i veze naspramne armature ili dvostruke uzengije, odnosno slično obezbeđenje od lokalnog izvijanja podužnih šipki. Razmak podužne armature u stubovima ne sme biti veći od 40 cm (slika 38).

Slika 38
Ako su preseci stubova razuđeni, uzengija na konkavnoj strani mora se prekinuti i usidriti u stub. Usidrenje se računa od preseka uzengija i iznosi 25 prečnika šipke uzengije. Ako nema mesta za usidrenje, izvode se dvojne uzengije u istom preseku stuba.
Ako na mestima ukrštanja krajeva uzengija (slika 39) nije potrebna statička armatura, postavljaju se montažne šipke prečnika 6, 8 ili 10 mm.

Slika 39
Ako su stubovi jako armirani, može se izvršiti grupisanje armature u uglovima stubova, sa dve, tri ili četiri šipke armature (slika 40a). U uglu stuba može se postaviti i pet šipki, ali u takvom slučaju se te šipke raspoređuju kao na slici 40b. Pri takvom grupisanju podužne armature, ona se mora nastavljati zavarivanjem.

Slika 40
Kad se izvodi nastavak spiralne armature, preklapanje se vrši po obimu stuba od najmanje 30 prečnika spirale, a krajevi preklopa završe se uvlačenjem u betonsko jezgro oko šipki podužne armature, i to za 20 prečnika spirale, bez kuke (slika 41).
Broj šipki podužne armature u poligonalnim i okruglim stubovima, obično ili spiralno armiranim, ne sme biti manji od 6.
Za obično armiranje stubova prečnik šipki uzengija po pravilu iznosi:
- 6 mm - ako je prečnik glavne armature ≤ 20 mm;
- 8 mm - ako je prečnik glavne armature > 20 mm.

Slika 41
Radi održavanja glavne vertikalne armature u određenom položaju u nosećim zidovima i platnima, upotrebljavaju se horizontalna montažna armatura i međusobne veze obe ravni armature. Broj veza po kvadratnom metru zida ne sme biti manji od četiri. Te veze se ne moraju izvoditi ako prečnik podužne armature iznosi najmanje 12 mm, ili ako je zaštitni sloj betona najmanje jednak dvostrukoj debljini šipki podužne armature, ili ako glavna armatura leži unutar podeone armature.
Na slobodnim ivicama zida ili platna, ugaone šipke podužne armature obezbeđuju se uzengijama prema slici 42.

Slika 42
Potrebna površina podužne armature na kraju zida određuje se statičkim proračunom, a minimalne površine te armature u seizmički aktivnim područjima utvrđene su propisima za građenje u seizmički aktivnim područjima.
Površina potrebne horizontalne armature (Aap) sme da iznosi najmanje 20% površine vertikalne armature, ali ne manje od 0,1% površine betonskog preseka, sa svake strane zida. Za zavarene armaturne mreže (MA) ta vrednost može se smanjiti na 0,075% betonskog preseka.
Najveće rastojanje horizontalne armature ne sme biti veće od 30 cm, a minimalni prečnik te armature iznosi četvrtinu maksimalnog prečnika vertikalne armature.
Ako su poprečni preseci stubova u dve susedne etaže različitih dimenzija, armatura se može nastavljati povijanjem iz većeg stuba u manji stub u visini tavanice. Nagib povijanja ne sme biti veći od 1 : 6. Ako su razlike u dimenzijama stubova veće, nastavak se može izvoditi umetanjem naročite armature koja služi za povezivanje šipke gornjeg i donjeg stuba (slika 43).
U seizmički aktivnim područjima nastavci podužne armature izvode se preklapanjem u zoni manjih zatezanja (van plastičnih zglobova), tj. van područja za koje je propisano pogušćenje uzengija (³ 1 m prema slici 43). Nastavci preklapanjem po spratu izvode se samo za polovinu armature stuba, dok je druga polovina bez nastavka ili sa zavarenim nastavcima. Nastavci armature u stubovima obavezno se izvode bez kuka.
Ako je podužna armatura od šipki Ø ³ 20 mm, nastavci se izvode samo zavarivanjem.
|
|
Slika 43 |
|
Za jako napregnute stubove, kao što su stubovi donjih etaža višespratnih građevina, stubovi jednoetažnih konstrukcija koje nose veliko opterećenje (npr. od kranova), stubovi temelja sa mašinama i stubovi drugih jako napregnutih konstrukcija izvode se u betonu marke MB ³ 30.
Kratki elementi su elementi konstrukcija kod kojih je visina h veća ili jednaka kraku dejstva spoljne sile, tj. a ≤ h (slika 44).
Momenti savijanja i transverzalne sile koje nastaju u takvim elementima primaju se sistemom horizontalne, odnosno koso povijene armature, a na osnovu teorijskih dokaza ili ispitivanja.
Uticaji momenta i transverzalnih sila mogu se uvek primiti samo horizontalnom armaturom, ali ako je krak sile veoma mali u odnosu na visinu h, obavezna je primena samo horizontalne armature.
Horizontalna, odnosno koso povijena armatura u kratkim elementima ne sme se prekinuti na ivici konzole ili nosača.
Vertikalna armatura se predviđa u obliku zatvorenih uzengija.
|
|
Zidni nosači su ravni površinski nosači opterećeni u srednjoj ravni, čija je visina jednaka ili veća od polovine raspona za nosače na dva slobodna oslonca, a jednaka ili veća od 0,4 raspona za kontinualne nosače.
Za zidne nosače ne može se pretpostaviti pravolinijska raspodela napona i deformacija po visini preseka, pa se zbog toga oni tretiraju kao površinski nosači napregnuti u srednjoj ravni.
Kod kontinualnih zidnih nosača nejednako sleganje oslonaca znatno više utiče na naponsko i deformacijsko stanje nego kod statički neodređenih linijskih nosača, pa se pri projektovanju i izvođenju mora obezbediti da ne dođe do nejednakog sleganja oslonaca.
Minimalna debljina zidnog nosača uslovljena je pravilnim smeštanjem armature, efikasnim ugrađivanjem betona i obezbeđenjem bočne stabilnosti. Debljina tih nosača ne može biti manja od 10 cm.
Armatura zidnih nosača sastoji se od glavne podužne armature i sistema horizontalne i vertikalne armature koji se postavlja uz oba lica zida, pri čemu se vertikalna armatura izvodi u vidu zatvorenih uzengija, koje obuhvataju glavnu armaturu (slika 45).

Slika 45
Glavna armatura u polju raspoređuje se po visini zategnute zone preseka na minimalnoj visini od 0,15 h, mereno od zategnute ivice nosača. Minimalna visina nosača kod kojih je visina h veća od raspona l iznosi 0,15 l (slika 45).
Glavna podužna armatura iz polja vodi se po čitavoj dužini odgovarajućeg raspona, a u području krajnjih oslonaca mora se usidriti. Pri tom, ako se sidrenje vrši pomoću kuka, po pravilu, treba primenjivati horizontalne kuke, jer vertikalne kuke mogu prouzrokovati cepanje betona (slika 45a).
Sile koje nastaju od glavnih napona zatezanja primaju se sistemom horizontalne i vertikalne armature, odnosno takvim sistemom i koso položenom armaturom, što zavisi od veličine glavnih napona zatezanja u zidnom nosaču (slike 45a i 45b).
Razmak okana mreže horizontalne i vertikalne armature ne sme da bude veći od dvostruke debljine zida niti veći od 30 cm. Najmanja površina armature svake mreže i za svaki pravac armiranja iznosi:
- 0,125% betonskog preseka - za GA 240/360 i GA 220/240;
- 0,10% betonskog preseka - za RA 400/500;
- 0,075% betonskog preseka - za MA 500/560.
U gornjoj ivici zidnog nosača treba predvideti podužnu armaturu radi povećanja sigurnosti protiv izbočavanja gornje ivice.
Zidni nosači se proveravaju na preturanje i na eventualno izbočavanje pritisnute zone betona, ako ta zona nije posebnim elementima ukrućena u poprečnom pravcu.
Zone u oblasti oslonca zidnih nosača konstruišu se i izvode tako da se nosač obezbedi od gnječenja betona ili otkidanja uglova na oslonačkim ležištima.
Ako se zidni nosač, čitavom visinom ili delom svoje visine, oslanja na čvrst oslonac, kao što su poprečni zid, poprečni zidni nosač, stub jačih dimenzija i slično, mora se proveriti prijem kosih zatežućih sila u oblasti zidnog nosača preko kojih se prenosi opterećenje sa zidnog nosača na oslonačku konstrukciju. U tim oblastima, pri znatnim opterećenjima je potrebna provera vrednosti i glavnih napona pritisaka.
Ako je zidni nosač opterećen po donjoj ivici, mora se predvideti posebna armatura za potpuno osiguranje prenošenja obešenog opterećenja između mesta delovanja tog opterećenja i gornjeg dela zidnog nosača. Za prenošenje raspodeljenog opterećenja predviđaju se vertikalne uzengije, dovoljne dužine i preseka. Te uzengije obuhvataju glavnu armaturu polja i dopiru do gornje ivice nosača, odnosno do visine jednake rasponu I za h > 1. U blizini oslonaca, dužine uzengija se mogu smanjiti, ali one ne smeju biti kraće od 0,8 h, odnosno 0,8 l za h > I.
Za prijem obešenog koncentrisanog opterećenja ili opterećenja koje se na zidni nosač prenosi linijski (poprečnim zidom, rebrom ili stubom) po celoj visini ili delimično do neke visine zidnog nosača, predviđa se armatura sposobna za prihvatanje i prenošenje tog opterećenja na zidni nosač.
Ako se konstrukcija zidnih nosača ili platna izvodi u klizećoj ili prenosnoj oplati, upotrebljava se beton MB ³ 20.
Ploče su ravni površinski nosači male debljine u odnosu na ostale dve mere, kod kojih opterećenje dejstvuje upravno na srednju ravan ploče.
Ploče mogu biti oslonjene linijski (duž ivice) ili lokalno u pojedinim tačkama.
Pravougaone i poligonalne ploče mogu biti oslonjene linijski, lokalno u tačkama ili potpuno slobodne na nekim od ivica.
Statički uticaji (momenti savijanja, transverzalne sile i reakcije oslonaca) mogu se računati po teoriji elastičnosti, po teoriji plastičnosti i po nelinearnoj teoriji.
Proračun uticaja po teoriji elastičnosti može se zasnivati na homogenom betonskom preseku, usvajajući za Poasonov koeficijent vrednosti između 0 i 0,2. Za kontinualne ploče može se sprovesti ograničena preraspodela uticaja tako što se momenti jedne trake, određene po linearnoj teoriji, mogu povećati ili smanjiti do 25%, ali tako da odgovarajuće srednje vrednosti momenata u polju iste trake budu tako podešene da zadovoljavaju uslove ravnoteže.
Proračun statičkih uticaja po teoriji plastičnosti važi za granična stanja loma, a obavezan je za proračun usled incidentnih dejstava (eksplozije, udari i dr.) i primenjuje se za zaštitne konstrukcije. Za proračun se mogu primeniti statičke i kinematičke metode. Odnosi momenata loma, kako između onih istog znaka a različitih pravaca tako i onih različitog znaka i istog pravca, moraju se nalaziti u granicama koje obezbeđuju punu trajnost i funkcionalnost ploča i pod najnepovoljnijim kombinacijama dejstava i opterećenja u eksploataciji.
Ploče oslonjene duž jedne ivice ili duž dve suprotne ivice nose opterećenje uglavnom u pravcu raspona. Naprezanja koja nastaju upravno na pravac raspona zbog onemogućenog poprečnog širenja, poprečne raspodele koncentrisanih opterećenja i linijskih opterećenja ili zbog zanemarenja oslanjanja paralelno pravcu raspona, ne moraju se uzimati u obzir. Takva naprezanja preuzimaju se poprečnom (podeonom) armaturom.
Pri proračunu ploča koje prenose opterećenja u jednom pravcu ili u dva ortogonalna pravca, uzimaju se u obzir odgovarajuće teorije ili ispitivanja. Približni proračun po metodi traka dopušten je samo kad su ploče opterećene podeljenim opterećenjima.
Debljina ploče iznosi najmanje 7 cm, za statička podeljena opterećenja, a izuzetno debljina krovnih ploča može biti 5 cm.
Debljina ploča po kojima se kreću vozila treba da iznosi najmanje:
- 10 cm - za putnička vozila;
- 12 cm - za teretna vozila.
Najmanja debljina ploča koje se proračunavaju u jednom ili dva pravca iznosi najmanje 1/35 manjeg raspona, odnosno odstojanja nultih tačaka momenata savijanja kod kontinualnih ili uklještenih ploča. Ako odstojanje nultih tačaka nije posebno određeno, može se uzeti da iznosi 0,8 l. Taj stav o ograničenju debljine ploče mora se primenjivati kad se posebno ne dokazuje stanje deformacija.
Debljina ploča po kojima se samo povremeno hoda (radi čišćenja i opravki) iznosi najmanje 1/40 manjeg raspona, odnosno jednaka je rastojanju nultih tačaka momenata, ali ne sme biti manja od 5 cm.
Razmaci između šipki glavne armature, u zonama najvećih naprezanja, ne smeju biti veći od 2 d za jednako podeljena opterećenja, odnosno 1,5 d za koncentrisana opterećenja, gde je d ukupna debljina ploče, niti veći od 20 cm. Na mestima na kojima se armatura smanjuje usled smanjenja momenata, razmak šipki armature ne sme iznositi više od 40 cm.
Čisti razmak između šipki armature ne sme iznositi manje od 4 cm. Gornja armatura u ploči postavlja se na međusobnom najmanjem razmaku, kojim se obezbeđuje pravilno razastiranje i ugrađivanje betona.
Na krajnjim slobodnim osloncima ploča povije se jedna trećina do jedna polovina glavne armature i prevede se preko oslonca u gornju zonu. Na krajevima šipki se izrade kuke. Povijanje potrebne armature nad slobodnim osloncem može se zameniti armaturom koja je prevedena preko oslonca i tako da povijena može prihvatiti eventualne negativne momente (slika 46a alternativa).
Ako glavni naponi zatezanja dozvoljavaju, na srednjim osloncima ploča može se izostaviti povijanje armature iz polja. U tom slučaju se momenti nad osloncima pokrivaju dodavanjem pravih šipki armature (slika 46b).
Šipke donje glavne armature, koje se završavaju na slobodnim osloncima, moraju imati kuke i dužinu usidrenja prema odredbama člana 133. ovog pravilnika (slika 46).

Slika 46
Duž slobodne ivice ploče (bez oslonca), pored potrebne armature za momente savijanja, iz konstrukcionih razloga mora se dati podužna armatura, koja se sastoji od najmanje po jednog profila u gornjem i jednog profila u donjem uglu ivice. Za deblje ploče podužne šipke uz ivicu raspoređuju se i po visini ploče. Poprečna armatura duž slobodne ivice koja obuhvata podužnu armaturu sastoji se od uzengija "ukosnica", zatvorenih uzengija ili armature ploče upravne na slobodnu ivicu ploče (slika 46c).
Na način iz stava 1. ovog člana vrši se i "opšivanje" armaturom otvora u ploči. Pri tom se još u ravni ploče oko otvora dodaje i koso položena armatura radi obezbeđenja uticaja skretnih sila oko otvora ploče.
Ploče koje prenose opterećenje samo u jednom pravcu
Ploče koje prenose opterećenje samo u jednom pravcu, u zoni najvećeg naprezanja moraju imati presek glavne armature najmanje 0,15% od betonskog preseka za glatku armaturu (GA), 0,1% za rebrastu armaturu (RA) i 0,075% za mrežastu armaturu (MA). Podeona armatura tih ploča ne sme biti manja od 20% preseka glavne armature, ni manja od:
- 0,1% od betonskog preseka - za GA;
- 0,085% od betonskog preseka - za RA;
- 0,075% od betonskog preseka - za MA.
Razmak podeone armature ne sme biti veći od 4 d, gde je d ukupna visina ploče, ako je ploča opterećena podeljenim opterećenjem, odnosno veći od 3 d ako je ploča opterećena koncentrisanim opterećenjem. Taj razmak ne sme iznositi više od 30 cm na mestima najvećih naprezanja, odnosno više od 40 cm u područjima uz slobodne oslonce.
Koncentrisano opterećenje P1 na ploči koja prenosi opterećenja samo u jednom pravcu sme se u proračunu raspodeliti upravno na pravac glavne armature na širini b3, koja se izračunava prema sledećem izrazu:
![]()
gde je:
b2 - širina rasprostiranja koncentrisanog opterećenja u srednjoj ravni ploče, upravna na pravac glavne armature;
Aap/Aa - odnos površina preseka podeone i glavne armature, koji ne sme biti veći od 0,65.
Ploče koje prenose opterećenja u dva ortogonalna pravca
Ploče čiji je odnos strana naleganja 0,5 ≤ Ix/Iy≤ 2,0 proračunavaju se kao ploče koje prenose opterećenja u dva ortogonalna pravca.
Armatura ploče računa se prema odgovarajućim momentima, ali u zonama najvećih naprezanja ne sme biti manja od:
- 0,15% od betonskog preseka za GA;
- 0,10% od betonskog preseka za RA;
- 0,075% od betonskog preseka za MA.
Za ploče koje prenose opterećenja u dva ortogonalna pravca mora se predvideti dodatna armatura za prijem momenata torzije, kao i za prijem momenata usled dejstva nepredviđenih uklještenja na ležajima.
Ivični pojasevi ploče koja prenosi opterećenja u dva ortogonalna pravca mogu se za jednako podeljena opterećenja armirati polovinom odgovarajuće armature jednog pravca koja je potrebna u sredini ploče. Širina tih pojaseva jednaka je četvrtini manjeg raspona ploče (slika 47).
Za druge vrste podeljenih ili koncentrisanih opterećenja armatura se raspoređuje prema proračunskom vrednostima momenata savijanja.

Slika 47
Kružne ploče, prosto oslonjene ili uklještene, armiraju se, po pravilu, prstenastom i radijalnom armaturom za prijem tangencijalnih, odnosno radijalnih momenata savijanja.
Armatura kružnih ploča u sredini ploče izvodi se na način prikazan na slici 48.
Kružne ploče manjeg raspona mogu se proračunavati i armirati kao kvadratne ploče koje prenose opterećenja u dva ortogonalna pravca, pri čemu se za proračun i raspored armature u ploči uzima da je stranica kvadratne ploče a = 0,9 D, gde je D - prečnik kružne ploče.
|
Slika 48 |
Pečurkaste ploče su ploče koje su neposredno oslonjene na stubove sa ojačanom glavom stuba (kapitelom) ili bez ojačanja glave stuba i koje su sa stubovima kruto ili zglobno povezane.
U proračunu pečurkastih ploča može se usvojiti da je Poasonov koeficijent n = 0.
Pečurkaste ploče sa pravougaonim rasporedom stubova i jednako podeljenim opterećenjem mogu se proračunavati približnim postupkom, metodom zamenjujućih kontinualnih okvira (kruta veza između ploče i stubova) ili pomoću metode zamenjujućih kontinualnih grednih nosača (zglobna veza između ploče i stubova), ako odnos Ix = Iy, međusobno upravnih osovinskih razmaka stubova zadovoljava uslov:
0,75 ≤ Ix/Iy≤ 1,33
Za širinu rigle zamenjujućeg okvira, odnosno zamenjujućeg grednog nosača uzima se osovinski razmak stubova odgovarajućeg pravca, a za visinu rigle - debljina ploče.
Pri određivanju statičkih uticaja u zamenjujućem kontinualnom okviru, odnosno grednom nosaču, uzima se, za svaki pravac, ukupno odgovarajuće opterećenje, pri čemu se vodi računa i o najnepovoljnijem položaju pokretnog (korisnog) opterećenja.
Raspodela statičkih uticaja sa zamenjujućeg kontinualnog okvira, odnosno grednog nosača na pojedine delove (trake) ploče računa se po teoriji ploča.
Ako je prečnik (strana) kapitela stuba na spoju sa pločom veći od 0,3 Imin, gde je Imin kraći osovinski razmak stubova, i ako je nagib konusa ili piramide upisane u kapitel u odnosu na ravan ploče najmanje 1:3, pri primeni približnog postupka proračun statičkih uticaja mora se sprovesti metodom zamenjujućih okvira, tj. mora se uzeti u obzir kruta veza između rigle i stubova (slika 49). Kruta veza između ploča i stubova pretpostaviće se u proračunu i kada krutost stubova nije mala u odnosu na krutost rigle, bez obzira na veličinu kapitela.

Slika 49
Ako nisu ispunjeni uslovi iz stava 5. ovog člana, proračun se sprovodi metodom zamenjujućih grednih nosača.
Ako kapitel ima nagib najmanje 1:3 (slika 49b), pri dimenzionisanju preseka ploče u oblasti kapitela prema momentima savijanja u račun se sme uvesti samo ona statička visina koja odgovara nagibu 1:3.
Najmanje 50% armature iz polja mora se voditi pravo, bez povijanja duž raspona Ix, odnosno Iy.
Odredbe iz čl. 197. i 199. ovog pravilnika o razmaku šipki armature i najmanjem procentu armiranja primenjuju se i na pečurkaste ploče.
Kod ploča neposredno oslonjenih na stubove bez kapitela i kod ploča opterećenih koncentrisanim opterećenjem, ploča u kritičnom preseku mora se obezbediti od probijanja. Kritični presek, kružnog oblika u osnovi, nalazi se na udaljenosti hs/2 od ivice cilindričnog kružnog stuba prečnika ds (slika 50).
Napon smicanja t u kritičnom preseku računa se prema izrazu:
![]()
gde je:
Tu - najveća transverzalna sila u kritičnom preseku;
Okp = dkp • p- obim kritičnog kružnog preseka ploča (za unutrašnji stub);
hs - srednja (prosečna) statička visina ploče za dva usvojena pravca armature u kritičnom preseku.

Slika 50
Za obim kritičnog preseka ploče kod stuba na ivici ploče uzima se 60%, a kod stuba na uglu ploče - 30% od obima 0kp kritičnog preseka ploče za unutrašnji stub.
Unutrašnjim stubom smatra se, u smislu ovog pravilnika, i svaki krajnji stub čija je osa od ivice ploče udaljena najmanje za 0,5 Ix, odnosno 0,5 Iy. Ako je odstojanje ose stubova od ivice ploče manje od 0,5 Ix, odnosno 0,5 fy, za obim kritičnog preseka može se uzeti međuvrednost kao linearna interpolacija vrednosti kritičnog obima za unutrašnji i ivični stub.
U proračun napona smicanja t uzima se uticaj otvora u ploči koji se nalaze u blizini oslonca. Ako poprečni presek oslonca (stuba) ima pravougaoni oblik, sa stranicama b i d, pri određivanju napona smicanja t u račun se uvodi zamenjujući kružni presek prečnika ds = 1,13Öbd. Ako je duža strana pravougaonika veća za više od 1,5 puta od kraće strane, u račun se sme uvesti da je duža strana najviše 1,5 puta veća od kraće strane.
Pri opterećenju koje deluje upravno na ploču, uticaj nesimetričnog naprezanja ploče usled savijanja u oblasti oko unutrašnjih stubova (ekscentrično oslanjanje ploče na stubove) može se zanemariti. Uticaj ekscentričnog oslanjanja ploče na veličinu napona smicanja na mestu ivičnih i ugaonih oslonaca (stubova) usled dejstva opterećenja upravnog na ploču ne mora se posebno određivati ako se napon smicanja t, izračunat prema izrazu u ovom članu, poveća za najmanje 40%.
Ako napon smicanja, određen prema članu 205. ovog pravilnika, u kritičnom preseku zadovoljava uslov:
t≤ 2 • g1 • tr
nije potrebna posebna računska armatura za prijem zatežućih sila usled dejstva transverzalne sile Tu.
Ako se napon smicanja t nalazi unutar granica
2 • g1 • tr < t ≤ 3 g2 • tr
mora se, za prihvatanje zatežućih sila usled dejstva transverzalne sile Tu, dati posebna poprečna armatura, raspoređena prema slici 50b.
Nije dozvoljeno stanje pri kome je
t > 3 • g2 • tr
gde je:
tr - računska čvrstoća pri zatezanju (tabela 11) u članu 87. ovog pravilnika;
g1 • g2 - koeficijenti, koji se određuju iz izraza:
g1 = 1,3 αa Öµ; g2 = 0,45 αa Öµ
µ - srednja vrednost procenta (%) armiranja preseka ploče gornjom (negativnom) armaturom iz dva upravna pravca na širini oslonačke trake 0,4 Ix i 0,4 Iy;
αa - koeficijent, koji iznosi:
- αa = 1,0... za GA 240/360 i GA 220/240;
- αa = 1,3... za RA 400/500;
- αa = 1,4... za MA 500/560.
Srednja vrednost procenta armiranja µ, koja se unosi u izraze za g1 i g2, mora zadovoljavati uslove:
0,5% ≤ µ ≤ 25 • fk/σv ≤ 1,5%
bez obzira na to što stvarna njegova vrednost, izračunata prema momentima savijanja, može biti ispod ili iznad naznačenih granica.
Potrebna površina preseka poprečne armature Aak, koja se postavlja pod uglom 45° ≤ α ≤ 90° u odnosu na srednju ravan ploče (slika 50b), izračunava se iz izraza:
![]()
gde je:
fk - marka betona;
σv - granica razvlačenja čelika (odnosno σ02);
Tu - definisano članom 204. ovog pravilnika.
Dimenzije i oblik kapitela stuba su proizvoljni. Ako strana (prečnik) s kapitela, na spoju sa pločom, iznosi bar 0,4 l, nisu potrebni kontrola i osiguranje od probijanja armaturom preseka ploče izvan kapitela. Pri tome l predstavlja osovinski razmak stubova u posmatranom pravcu.
Minimalna debljina pečurkastih ploča, sa kapitelom ili bez kapitela, ne sme biti manja od 15 cm, odnosno ne sme biti manja ni od 1/35 većeg odstojanja susednih stubova, ako se proračunom ne dokazuje stanje deformacija (ugib).

Slika 51
Strana (prečnik) stuba ne sme biti manja od 1/20 manjeg razmaka stubova, niti manja od 1/15 spratne visine, kao ni manja od 30 cm.
Ljuske i poliedarski površinski nosači
Ljuske su jednostruko ili dvostruko (u prostoru) zakrivljeni nosači male debljine, sa ivičnim ukrućenjima ili bez njih.
Poliedarski površinski nosači su prostorni površinski nosači sastavljeni od ravnih međusobno kruto povezanih ploča.
Za određivanje veličine uticaja u presecima i deformacijskih veličina, kao osnova proračuna može se uzeti elastično ponašanje konstrukcije - faza I.
Za određivanje veličina uticaja, iz stava 1. ovog člana, može se primeniti i uprošćeni način proračuna prema teoriji membrana s obzirom na oblik, krutost, zanemarenje sekundarnih napona i deformacija, ali naročito vodeći računa o ivičnim smetnjama.
Ljuske se mogu računati i po teoriji loma (teorija plastičnosti) kad se dokazuje samo kapacitet nosivosti, odnosno sigurnost na lom.
Stabilnost ljuski i poliedarskih nosača usled mogućih uticaja (opterećenja, skupljanja i puzanja betona, promena temperature, spuštanje oslonca) ispituje se na deformisanom sistemu (teorija II reda).
Moguća odstupanja pri izvođenju projektovane krivine procenjuju se i unose u proračun.
Za konstrukcije i elemente konstrukcija, iz člana 208. ovog pravilnika, mora se proveriti mogućnost izbočavanja, koje nastaje usled elastičnih deformacija i promene oblika, usled skupljanja i puzanja betona, kao i usled mogućih odstupanja pri izvođenju.
Pri dimenzionisanju nosača ljuske proračunavaju se zatežući naponi u lakoagregatnom betonu, koji, pod pretpostavkom punog sadejstva betona u zategnutoj zoni, nastaju od opterećenja u srednjoj površini ljuske ili poliedarskog površinskog nosača usled dejstva normalnih sila, smičućih sila i eventualnih momenata savijanja.
U elementima koji su pretežno napregnuti na savijanje (ivični elementi ljuski) armatura se određuje na način predviđen za grede.
Armatura ljuski i poliedarskih površinskih nosača u veoma napregnutim područjima mora što bolje da sledi trajektorije napona zatezanja. U ostalim područjima može se armiranje prema trajektorijama napona zameniti mrežom odgovarajućeg oblika.
Armatura se postavlja u srednjoj površini ljuske u oblasti membranskog stanja, a u oblasti ivičnih poremećaja armatura sledi zone zatezanja od momenata i normalnih sila.
Razmak šipki armature u ljuskama i poliedarskim površinskim nosačima ne sme biti veći od dvostruke debljine ljuske niti može iznositi više od 20 cm.
Ako se za armiranje upotrebi glatki čelik prečnika šipke najviše 10 mm, kuke se ne moraju izvoditi, s tim što se predvidi dovoljna dužina usidrenja ili preklapanja armature.
Montažni armiranobetonski elementi
Montažni armiranobetonski elementi izrađuju se od betona, najmanje marke MB 15. Svi detalji spojeva uklapanja, usidrenja i drugi moraju biti prikazani na detaljnim crtežima u projektu.
Užad za dizanje, petlje na tim užadima i drugi elementi sistema za dizanje elemenata moraju se proračunavati na mogućnost stoprocentnog povećanja mase betonskog elementa koji se diže.
Beton za zalivanje spojeva montažnih armiranobetonskih elemenata mora da ima najmanje onaj kvalitet koji ima beton elemenata koji se međusobno spajaju.
Na svakom montažnom armiranobetonskom elementu mora biti označena gornja strana elementa, položaj i orijentacija u konstrukciji, na način određen u detaljnim crtežima.
Montažni armiranobetonski elementi moraju biti tako uskladišteni, transportovani i postavljeni da se spreči njihovo prekomerno naprezanje ili oštećenje.
Projektom montaže određuje se način povezivanja i podupiranja montažnih armiranobetonskih elemenata u toku montaže.
Betonski radovi se izvode prema projektu konstrukcije i projektu betona. Pre početka izvođenja konstrukcije i elemenata od betona i armiranog betona mora se izraditi projekt betona, koji sadrži:
1) sastav betonskih mešavina, količinu i tehničke uslove za projektovane klase betona;
2) plan betoniranja, organizaciju i opremu;
3) način transporta i ugrađivanja betonske mešavine;
4) način negovanja ugrađenog betona;
5) program kontrolnih ispitivanja sastojaka betona;
6) program kontrole betona, uzimanja uzoraka i ispitivanja betonske mešavine i betona po partijama;
7) plan montaže elemenata, projekt skele, za složene konstrukcije i elemente od betona i armiranog betona, ako nije dat u projektu konstrukcije, kao i projekt oplate za specijalne vrste oplata.
Projekt betona ne izrađuje se za individualnu izgradnju prizemnih zgrada, baraka, šupa i sličnih objekata.
Za proizvodnju betona (grupe II do IV) koriste se uređaji koji ispunjavaju uslove utvrđene jugoslovenskim standardom JUS U.M1.050.
Transport agregata obuhvata sve radne operacije - od uskladištenja agregata na mestu proizvodnje do uređaja za doziranje i mešanje betona.
Frakcije agregata transportuju se odvojeno i skladište da se ne bi zaprljale, da bi ostale nepromenjenog granulometrijskog sastava i da ne bi došlo do drobljenja zrna. Deponija frakcija agregata smešta se na podlogu sa dovoljnim nagibom za odvodnjavanje.
Nije dopušteno na istom mestu deponovanje agregata istih nazivnih frakcija, a različitog porekla i separacija.
Cement u rasutom stanju mora se transportovati sredstvima koja se hermetički zatvaraju, tako da je zaštićen od vlaženja i drugih štetnih uticaja za vreme transporta.
Cement u vrećama transportuje se u pokrivenim transportnim sredstvima. Vreće se utovaruju i istovaruju tako da je isključena mogućnost vlaženja.
Pošiljka cementa mora biti snabdevena podacima o:
1) vrsti i klasi cementa;
2) poreklu, odnosno firmi, odnosno nazivu i sedištu ili registrovanom znaku proizvođača;
3) datumu pakovanja;
4) datumu isporuke;
5) količini.
Cement se na gradilištu čuva na način i pod uslovima koji ne utiču nepovoljno na njegov kvalitet. Cement se čuva posebno po vrstama i upotrebljava za pripremanje betona prema redosledu prijema na gradilištu. Ne sme se upotrebljavati cement koji je na gradilištu uskladišten duže od tri meseca ako prethodnim ispitivanjem nije utvrđeno da u pogledu kvaliteta odgovara uslovima iz jugoslovenskog standarda JUS B.C1.012.
U istom silosu smeju se uskladištiti cementi iste vrste i klase iz iste fabrike cementa. Cementi iste vrste i klase različitih proizvođača smeju se uskladištiti u istom silosu samo ako se prethodno dokaže da su međusobno kompatibilni, odnosno da njihovo mešanje nema štetnih uticaja na svojstva i ujednačenost proizvedenog betona, što se dokazuje uporednim ispitivanjima.
Dodaci betonu moraju biti označeni prema jugoslovenskom standardu JUS U.M1.034 i uskladišteni prema uputstvu proizvođača.
Dodaci betonu skloni sedimentaciji ili segregaciji pre upotrebe se homogenizuju, a za vreme upotrebe mora se stalno održavati homogenost dodataka.
Homogenost betonske mešavine mora ispunjavati uslove prema jugoslovenskom standardu JUS U.M1.028.
Podaci o projektovanim količinama sastojaka koji se doziraju na mešalici moraju biti istaknuti na vidnom mestu u betonskom pogonu.
Za proizvodnju temperiranih betona betonski pogon mora biti opremljen na tehnološki odgovarajući način, prema članu 252. ovog pravilnika.
Betonski pogon mora posedovati izveštaj o podobnosti proizvodnje betonskog pogona i izveštaj o jednomesečnom ispitivanju uređaja za doziranje, prema jugoslovenskom standardu JUS U.M1.050.
Oprema i projekti za izvođenje betonskih radova
Oprema i projekti za izvođenje betonskih radova na gradilištu moraju biti usklađeni sa projektom konstrukcije i projektom betona.
Betoniranje se može početi posle pregleda podloge, skela, oplate i armature.
Skele i oplate moraju biti tako konstruisane i izvedene da mogu preuzeti opterećenja i uticaje koji nastaju u toku izvođenja radova, bez štetnih sleganja i deformacija, i osigurati tačnost predviđenu projektom konstrukcije.
Nadvišenja skele i oplate određuju se zavisno od objekta i njegove namene i estetskog izgleda.
Za specijalne i naročito složene objekte nadvišenje skele određuje se proračunom.
Skele i oplate moraju biti tako izvedene da odgovaraju načinu ugrađivanja, vibriranja, negovanja i termičke obrade betona prema projektu betona.
Oplata mora biti takva da nema gubitaka sastojaka betona za vreme betoniranja.
Kad oplata i delovi oplate ostaju ugrađeni u konstrukciju, njihova trajnost se proverava ako je oplata sastavni deo konstrukcije ili njenog elementa.
Ako je takva oplata ili deo oplate bez uticaja na nosivost konstrukcije, proverava se da li je njen uticaj na konstrukciju štetan.
Ako sredstva za učvršćivanje oplate prolaze kroz beton, ona ne smeju štetno delovati na beton.
Oplata se mora izvoditi tako da je mogućno lako skidanje, bez oštećenja betona.
Unutrašnje stranice moraju biti čiste i, prema potrebi, premazane zaštitnim sredstvom.
Premaz oplate iz stava 1. ovog člana ne sme biti štetan za beton, ne sme delovati na promenu boje vidnih površina betona i na vezu između armature i betona i ne sme štetno delovati na materijale koji se naknadno nanose na beton.
Oplata se skida po fazama, bez potresa i udara, kad je beton dovoljno čvrst.
Ako projektom konstrukcije nije drugačije određeno, za vreme skidanja oplate čvrstoća betona ne sme biti manja od:
- 30% propisane marke betona - za stubove, zidove i vertikalne delove oplate greda;
- 70% propisane marke betona - za ploče i donje delove oplate greda.
Ako je betonski element za vreme skidanja oplate opterećen, čvrstoća betona mora odgovarati uslovima za marku betona određenu projektom konstrukcije. Kad tehnologija građenja zahteva podupiranje konstrukcije i posle skidanja oplate, raspored i način podupiranja moraju se predvideti projektom betona.
Specijalni načini ugrađivanja i specijalni betoni mogu zahtevati posebne uslove za oplatu (podvodni beton, pumpani beton i sl.).
Za nosive elemente čija je slobodna dužina veća od 6 m oplata se postavlja tako da posle njenog opterećenja ostane nadvišenje veličine 1/1.000, gde je 1 raspon elemenata.
Pre početka ugrađivanja betona proveravaju se mere skele i oplate i kvalitet njihove izrade.
Prilikom transporta i uskladištenja čelika ne sme doći do mehaničkih oštećenja, lomova na mestu zavarivanja i prljavštine koja može smanjiti adheziju, kao i do gubitka oznaka i smanjenja preseka zbog korozije.
Transport i uskladištenje prefabrikovanih armaturnih sklopova i mreža obavljaju se tako da se pored navedenog izbegnu deformacije i nedozvoljena razmicanja šipki armature.
Armatura se savija u hladnom stanju i nastavlja na način određen projektom konstrukcije.
Pre postavljanja, armatura se mora očistiti od prljavštine, masnoća, ljuski, korozije i slično.
Zavarivanje nosive armature obavlja se u armiračkom pogonu, radionici ili na gradilištu.
Šipke armature mogu se zavarivati ako su zavarljive, prema jugoslovenskom standardu JUS C.K6.020.
Zavarivanje armature gorionikom i kovanjem nije dozvoljeno.
Provera zavarljivosti vrši se zatezanjem i savijanjem epruveta zavarenih spojeva.
Nastavljanje armaturnih šipki zavarivanjem dozvoljava se samo na pravim delovima. Udaljenost vara od početka krivine mora iznositi najmanje 10 Ø.
Kad su armaturne šipke zavarene na druge čelične elemente, proračun, izvođenje i kontrola takvih varova izvode se prema jugoslovenskim standardima za proračun, izvođenje i kontrolu zavarenih spojeva, pošto se ispitivanjem prethodno proveri zavarljivost armature i čeličnih elemenata.
Nosivost zavarenih šipki ispituje se prema jugoslovenskom standardu JUS C.K6.020.
Dužina i položaj nastavka armaturnih šipki s preklapanjem određuju se projektom konstrukcije. Nosivost i deformabilnost spojnica za mehaničko nastavljanje proveravaju se prethodnim ispitivanjem.
Mesta nastavljanja armature označavaju se planovima armature.
Radi osiguranja projektovanog položaja u toku ugrađivanja betona, armatura se čvrsto vezuje potrebnim brojem graničnika i podmetača odgovarajućeg tipa.
Ako se armatura postavlja na tlo, postavlja se izravnavajući sloj betona debljine najmanje 5 cm.
Pri ugrađivanju pocinkovanih čeličnih elemenata ne sme doći do kontakta tih elemenata sa armaturom.
Pre početka betoniranja mora se zapisnički utvrditi da li montirana armatura zadovoljava uslove u pogledu:
1) prečnika, broja šipki i geometrije ugrađene armature predviđene projektom konstrukcije;
2) učvršćenja armature u oplati;
3) mehaničkih karakteristika: granice razvlačenja i granice kidanja.
Armaturu koja je uprljana betonom, cementnim malterom i slično, potrebno je očistiti pre betoniranja.
Beton se ugrađuje prema projektu betona.
Ako se ugrađivanje betona prekida zbog nepredviđenih prilika, moraju se preduzeti mere da takav prekid ugrađivanja betona ne utiče štetno na nosivost i ostala svojstva konstrukcije, odnosno elementa.
Ako prekid ugrađivanja nije izveden na način predviđen u projektu, izvođač radova mora na mestu prekida da očisti površinu betona, a po potrebi, i da ukloni beton kako bi se dobila površina pogodna za nastavljanje daljeg ugrađivanja betona.
Početna temperatura svežeg betona u fazi ugrađivanja ne sme biti niža od + 5°C.
Najviša temperatura svežeg betona koji se ne ugrađuje posebnim postupcima predviđenim za temperirane betone ne sme biti viša od + 30°C.
Ako je srednja dnevna temperatura vazduha niža od + 5°C ili viša od + 30°C, potrebno je preduzeti posebne mere za normalno očvršćavanje betona propisane ovim pravilnikom.
Beton se mora transportovati i ubacivati u oplatu na način i pod uslovima koji sprečavaju segregaciju betona i promene u sastavu i svojstvima betona.
U konstrukciju se mora ugrađivati beton takve konzistencije da se može kvalitetno ugraditi do zahtevane zapreminske mase i zbijati predviđenim mehaničkim sredstvima za ugrađivanje. Svežem betonu ne sme se naknadno dodavati voda.
Visina slobodnog pada betona ne sme biti veća od 1,5 m, ako nisu preduzete potrebne mere za sprečavanje segregacije betona.
Beton se ugrađuje mehanički, osim ako je tečne (žitke) konzistencije. Razastiranje betona vibratorom u oplati nije dozvoljeno. Najveća udaljenost mesta ugrađivanja od mesta konačnog položaja u zbijenom stanju ne sme biti veća od 1,5 m.
Beton se unosi u slojevima ne višim od 70 cm. Naredni sloj mora se ugraditi u vremenu koje osigurava spajanje betona s prethodnim slojem. Ugrađivanje betona u više slojeve izvodi se tako da gornji sloj vibrira, a donji delom revibrira.
Neposredno posle betoniranja, beton mora biti zaštićen od:
1) prebrzog isušivanja;
2) brze izmene toplote između betona i vazduha;
3) padavina i tekuće vode;
4) visokih i niskih temperatura;
5) vibracija koje mogu promeniti unutrašnju strukturu i prionljivost betona i armature, kao i drugih mehaničkih oštećenja u vreme vezivanja i početnog očvršćavanja.
Posle ugrađivanja beton se mora zaštititi da bi se osigurala zadovoljavajuća hidratacija na njegovoj površini i izbegla oštećenja zbog ranog i brzog skupljanja.
Ako projektom betona nije drugačije određeno, negovanje betona mora trajati najmanje sedam dana od dana kad je betoniranje završeno ili ne manje od vremena koje je potrebno da beton postigne 60% od predviđene marke betona.
Proizvodnja i ugrađivanje betona u posebnim uslovima
Ugrađivanje betona u kalupe ili oplatu pri spoljnim temperaturama nižim od + 5°C ili višim od + 30°C smatra se betoniranjem u posebnim uslovima. Za betoniranje u posebnim uslovima moraju se osigurati posebne mere zaštite betona.
U pogonima u kojima se predviđaju proizvodnja i ugrađivanje betona pri spoljnim temperaturama nižim od + 5°C, pre prvih mrazeva mora se osposobiti i proveriti oprema koja će se koristiti za proizvodnju i ugrađivanje betona pri niskim temperaturama.
Agregat mora biti otporan prema mrazu, naročito pri višeciklusnom smrzavanju i odmrzavanju. Agregat ne sme sadržati organske primese koje usporavaju hidrataciju cementa. Upotreba smrznutog agregata nije dozvoljena.
Pri izboru cementa prednost se daje visokoaktivnim cementima s nižom standardnom konzistencijom i bržim oslobađanjem hidratacione toplote. Cement sa dodatkom pucolana do 15%, po pravilu, ne koristi se, a ne sme se koristiti ni pri hidrotermalnim obradama.
Dodaci ne smeju usporavati proces hidratacije na niskim temperaturama i povećavati vodopropusnost betona i koroziju čelika u betonu. Delovanje dodatka na beton proverava se na temperaturi + 5°C do 20°C i, po potrebi, za datu armaturu u posebnim uslovima, prema članu 53. ovog pravilnika, sa predviđenom i dvostrukom količinom doziranja.
Pre prvog smrzavanja, beton mora imati najmanje 50% zahtevane čvrstoće. Beton koji će u eksploataciji biti izložen smrzavanju mora, pre prvog smrzavanja, imati zahtevanu čvrstoću, a beton koji će biti istovremeno izložen i delovanju soli za odmrzavanje mora imati i zahtevanu otpornost prema mrazu i prema soli za odmrzavanje.
Kad se u vrlo hladne dane skida oplata ili uklanja toplotna zaštita, ne sme doći do naglog hlađenja betona, pa se njegove spoljne površine moraju zaštititi.
Pri betoniranju na visokim temperaturama, početna obradljivost se određuje prema prethodno utvrđenom gubitku obradljivosti zbog transporta i uslovima gradnje.
Ako se koriste usporivači vezivanja, i dodaci za povećanje obradivosti, njihovo delovanje prethodno se dokazuje na uzorcima sa odabranim cementom i očekivanom temperaturom betona.
Cement i sastav betona koji se ugrađuju u masivne elemente moraju biti takvi da ni u kom slučaju temperatura betona ugrađenog u masu elementa ne bude viša od + 65°C. U protivnom, preduzimaju se mere za hlađenje komponenata betona ili hlađenja betona u samom elementu.
Ispitivanje probnim opterećenjem vrši se za armiranobetonske konstrukcije, i to:
1) mostove raspona većeg od 15 m;
2) tribine na sportskim građevinama i tribine u dvoranama;
3) krovne konstrukcije raspona većeg od 30 m;
4) sisteme međuspratnih konstrukcija od prefabrikovanih montažnih elemenata koji se prvi put primenjuju;
5) konstrukcije koje se prvi put izvode novim tehnološkim postupcima;
6) sve ostale konstrukcije za koje je to projektom predviđeno.
Probnom opterećenju konstrukcije može se pristupiti pošto se pribave dokazi o kvalitetu ugrađenih komponenata betona ili armiranog betona, ili montažnih armiranih betonskih elemenata, prema odgovarajućim jugoslovenskim standardima.
Probno opterećenje mostova sprovodi se prema jugoslovenskom standardu JUS U.M1.046, a probno opterećenje konstrukcija u visokogradnji - prema jugoslovenskom standardu JUS U.M1.047.
Položaj i veličina opterećenja pri probnom opterećenju određuju se projektom konstrukcije. Način opterećenja, po pravilu, odgovara načinu opterećenja u eksploataciji (statičko opterećenje, dinamičko opterećenje).
Nosivost prefabrikovanih montažnih armiranih betonskih elemenata izloženih savijanju ispitivanjem do loma ispituje se prema jugoslovenskom standardu JUS U.E3.050.
Ispitivanje konstrukcionih elemenata do loma, izloženih pretežno savijanju, obavezno je i za konstrukcione elemente ako se oni izvode novim tehnološkim postupcima ili u serijama većim od 500 komada. Takva ispitivanja sprovode se na prototipovima ili modelima pre početka serijske izrade konstrukcionih elemenata.
Ako su rezultati probnog opterećenja negativni, obavezna je sanacija konstrukcije. Posle izvršenja sanacije, obavezno se ponavlja probno opterećenje.
Projektom konstrukcije određuje se učestalost kontrolnih pregleda.
Rokovi kontrolnih pregleda ne smeju biti duži od:
1) 10 godina za javne i stambene zgrade;
2) pet godina za industrijske objekte;
3) dve godine za mostove.
Projektom se predviđaju kontrolni pregledi, koji se sastoje od:
1) vizuelnog pregleda, u koji je uključeno snimanje položaja i veličina prslina i pukotina, kao i oštećenja bitna za sigurnost konstrukcije;
2) kontrole ugiba glavnih nosivih elemenata konstrukcija pod stalnim opterećenjem.
Ako se na osnovu pregleda iz tačke 1. stava 3. ovog člana utvrdi da je sigurnost konstrukcije smanjena u odnosu na projektovanu sigurnost, radovi će se obaviti prema odredbi tačke 2. stava 3. ovog člana.
U uslovima srednje i jake agresivnosti sredine, obavezno se kontroliše stanje zaštitnog sloja armature.
Danom stupanja na snagu ovog pravilnika prestaje da važi Pravilnik o tehničkim merama i uslovima za lako agregatni beton ("Službeni list SFRJ", br. 1/72).
Ovaj pravilnik stupa na snagu po isteku tri meseca od dana objavljivanja u "Službenom listu SFRJ".


















