PRAVILNIK O METROLOŠKIM USLOVIMA ZA INSTRUMENTE ZA MERENJE OTPORNOSTI PETLJE("Sl. list SFRJ", br. 31/84) |
Ovim pravilnikom propisuju se metrološki uslovi za instrumente za merenje otpornosti petlje između faznog provodnika i zaštitnog provodnika, ili između faznog provodnika i neutralnog provodnika, ili između dva fazna provodnika, uz upotrebu mrežnog napona u električnim mrežama sa nazivnim naponima do 1000 V (u daljem tekstu: instrumenti).
Metrološki uslovi koje moraju da ispunjavaju instrumenti iz stava 1. ovog člana označavaju se skraćeno oznakom MUS. E-7/3.
Niže navedeni izrazi, u smislu ovog pravilnika, imaju sledeća značenja:
1) nazivni napon je napon za koji je instrument predviđen i koji je označen na instrumentu;
2) nazivna frekvencija je frekvencija za koju je instrument predviđen i koja je označena na instrumentu;
3) otpornost petlje je zbir otpornosti strujne petlje, koji se sastoji od otpornosti izvora struje, otpornosti faznog provodnika, od jednog pola izvora do mernog mesta, i otpornosti povratnog voda (npr. zaštitnog voda, uzemljivača i zemlje, ili drugog faznog provodnika) od mernog mesta do drugog pola izvora struje;
4) ispitni (opteretni) otpornik instrumenta je otpornik kojim se opterećuje električna mreža pri merenju instrumentom;
5) apsolutna greška je razlika koja se dobija kad se od izmerene vrednosti neke veličine oduzme njena prava vrednost, odnosno vrednost utvrđena odgovarajućim etalonima i postupcima;
6) dogovorna vrednost je vrednost na koju se svode greške instrumenta da bi se odredila njegova tačnost i predstavlja merenu vrednost, odnosno vrednost koju pokazuje instrument pri merenju;
7) greška u procentima dogovorne vrednosti je količnik apsolutne greške i dogovorne vrednosti definisane u tački 6. ovog člana, pomnožen sa 100;
8) osnovna greška je greška određena na instrumentu pod referentnim uslovima i izražava se u procentima dogovorne vrednosti;
9) varijacija je razlika između dve izmerene vrednosti iste merene veličine, kad jedna od uticajnih veličina dobija uzastopno dve različite i utvrđene vrednosti;
10) varijacija u procentima dogovorne vrednosti je količnik varijacije i dogovorne vrednosti definisane u tački 6. ovog člana, pomnožen sa 100;
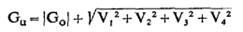
11) upotrebna greška je proračunata procentualna greška u uslovima nazivne upotrebe, odnosno u uslovima koji odgovaraju nazivnim opsezima upotrebe za uticajne veličine i izračunava se pomoću obrasca:
![]()
gde je:
Gu - upotrebna greška, u procentima dogovorne vrednosti;
Go - osnovna greška, u procentima dogovorne vrednosti;
V1 - varijacija usled položaja instrumenta, u procentima dogovorne vrednosti;
V2 - varijacija usled temperature okoline, u procentima dogovorne vrednosti;
V3 - varijacija usled napona, u procentima dogovorne vrednosti;
V4 - varijacija usled faznog ugla impedanse petlje, u procentima dogovorne vrednosti.
U instrumentima kojima se meri otpornost petlje posredstvom određivanja pada napona na ispitnom otporniku kojim se opterećuje električna mreža može se, kao ispitni otpornik upotrebiti otpornik sa aktivnom, reaktivnom ili kompleksnom otpornošću. Kad je ispitni otpornik kompleksne otpornosti, mora biti poznat i označen fazni ugao.
Ako rezultat merenja zavisi od kolebanja napona električne mreže, mora se naznačiti njegov uticaj. Pokazivanje kolebanja napona električne mreže pomoću ugrađenog instrumenta smatra se dovoljnim ako taj instrument jasno pokazuje kolebanja napona električne mreže u odnosu na smanjenje napona usled opterećivanja električne mreže ispitnim otpornikom.
Ako ne postoji mogućnost da se ukaže na uticaj kolebanja napona električne mreže, potrebno je da se u uputstvu uz instrument ukaže na tu pojavu i na način njenog otklanjanja.
Pri rukovanju instrumentom i pri naponu na koji se priključuje instrument čija vrednost nije veća od 120% vrednosti nazivnog napona instrumenta, ne smeju se ugroziti korisnici instrumenta, niti oštetiti instrument.
Ako se instrument ošteti usled nestručnog priključenja u električnu mrežu za koju je predviđen, na primer usled preopterećenja ili pogrešnog priključenja provodnika, ne smeju biti ugroženi korisnici i okolina instrumenta.
Ako instrument postane privremeno neupotrebljiv, odnosno prestane da funkcioniše (npr. usled aktiviranja zaštitne sklopke instrumenta), onda to mora biti signalizirano na uočljiv način.
Priključna mesta instrumenta moraju biti tako izvedena da se provodnici koji služe za merenje mogu pouzdano povezati sa instrumentom i da se isključuje bilo koje dodirivanje delova pod naponom. Zaštitni provodnik električne mreže koja se ispituje smatra se aktivnim provodnikom, odnosno isto je što i provodnik pod naponom.
Konstrukcijom instrumenta mora se obezbediti da se pri merenju otpornosti petlje u ispitivanoj električnoj mreži ne jave dodirni naponi čije su vrednosti veće od dozvoljenih vrednosti prema tač. 3.1.1. i 3.1.2. jugoslovenskog standarda JUS L.G1.030 propisanog u Pravilniku o jugoslovenskom standardu za instrumente za merenje otpornosti uzemljenja ("Službeni list SFRJ", br. 37/83).
Instrumenti obuhvaćeni ovim pravilnikom moraju biti izrađeni tako da bez oštećenja izdrže ispitivanja mehaničke čvrstoće prema tački 4.4. jugoslovenskog standarda JUS L.G1.030.
Referentni uslovi instrumenta, ako nije drukčije navedeno, jesu:
1) nazivni napon ili bilo koji napon u referentnom opsegu, ako ga ima;
2) nazivna frekvencija ili bilo koja frekvencija u referentnom opsegu, ako ga ima;
3) referentni položaj, a ako on nije naveden - vodoravni položaj površina skale instrumenta;
4) temperaturna okolina 23°C ± 2°C;
5) ugao impedanse petlje koji odgovara uglu impedanse ispitnog otpornika, ili 0° kad nije dat fazni ugao ispitnog otpornika.
Granice nazivnog opsega upotrebe za uticajne veličine propisane ovim pravilnikom, ako proizvođač nije drukčije naveo, jesu:
1) 0°C i 30°C za temperaturu okoline;
2) ± 30° od referentnog položaja, ili uspravni položaj površine skale instrumenta kad nije dat referentni položaj:
3) donja i gornja granica napona mreže za koje je instrument predviđen i koje je označio proizvođač;
4) cosjm = 0,95 za ugao impedanse petlje (jm) pri neopterećenoj mreži i pri stalnom naponu mreže pri merenju instrumentom sa ispitnim otpornikom aktivne otpornosti;
5) jm = jr ± 15°, za ugao impedanse petlje (jm) pri neopterećenoj mreži i pri stalnom naponu mreže prilikom merenja instrumentom sa ispitnim otpornikom kompleksne otpornosti sa uglom jr.
Upotrebna greška instrumenta za merni opseg ili opsege koje je dao proizvođač i za nazivne opsege upotrebe propisane članom 10. ovog pravilnika mora biti u granicama ± 30%.
Natpisi i oznake na instrumentu moraju biti ispisani na jednom od jezika i pisama naroda, odnosno narodnosti Jugoslavije.
Natpisi i oznake moraju se nalaziti na vidnom mestu na instrumentu i moraju biti jasni, dobro vidljivi u radnim uslovima ispisani tako da se ne mogu izbrisati ili skinuti.
Na instrumentu se moraju nalaziti sledeći natpisi i oznake:
1) firma, odnosno naziv ili znak proizvođača;
2) oznaka tipa;
3) serijski broj;
4) jedinica merene veličine;
5) merni opseg u kome instrument ispunjava uslove u pogledu grešaka, propisane ovim pravilnikom;
6) nazivni napon;
7) nazivna frekvencija, ako odstupa od 50 Hz;
8) fazni ugao ispitnog otpornika, ako je veći od 15°;
9) referentni položaj, ako nije predviđen bilo koji položaj;
10) oznaka za odvojeno uputstvo - oznaka |
|
11) službena oznaka tipa na instrumentima za koje je izvršeno ispitivanje tipa.
U uputstvu za upotrebu instrumenta koji se tipski ispituje prema metrološkim uslovima propisanim ovim pravilnikom moraju se navesti:
1) principska šema instrumenta;
2) merna šema;
3) nazivni opseg upotrebe za napon mreže;
4) vrednost otpornosti ispitnog otpornika;
5) ispitna struja i vreme ispitivanja (merenja);
6) granice upotrebne greške, granice osnovne greške i granice varijacija, s tim što granice upotrebne greške moraju biti unutar granica te greške utvrđenih u članu 11. ovog pravilnika;
7) opseg vrednosti otpornosti petlje i ugla impedanse mreže u okviru kojih instrument ispunjava uslove u pogledu grešaka, propisane ovim pravilnikom;
8) dopunska greška kada ugao impedanse mreže nije u odgovarajućem opsegu instrumenta:
9) dijagram, tabela ili drugi vid objašnjenja iz kog se vidi u kom mernom opsegu se mogu meriti pojedine vrednosti otpornosti petlje, a da greške tih merenja, uzimajući u obzir dozvoljene greške instrumenta, budu u granicama zahtevanim za to merenje;
10) napomene o mogućim drugim dopunskim greškama, npr. usled opterećivanja mreže ispitnim otpornikom;
11) podaci o uticaju i eliminisanju uticaja kolebanja napona mreže, ako on nije uočljiv, prema članu 4. ovog pravilnika;
12) napomene o uticaju napona mreže, kad on odstupa od nazivnog napona instrumenta.
Ovaj pravilnik stupa na snagu osmog dana od dana objavljivanja u "Službenom listu SFRJ".









